购买
下载掌阅APP,畅读海量书库
立即打开
畅读海量书库
扫码下载掌阅APP

CHAPTER 3
第3章
需求的认知

愉悦和痛苦不是绝对的状态而是转换的过程。愉悦是人从一个相对不完美状态转换到一个更加完美状态的过程,如果一个人生来就拥有完美,那么他将无法体会愉悦的感觉。相反,痛苦则是人从比较完美的状态转至不那么完美状态时所经历的情感体验。

——巴鲁赫·斯宾诺莎(Baruch de Spinoza)
荷兰哲学家

现代营销以顾客为导向,以顾客需求为中心,营销自洞悉顾客需求开始,至满足顾客需求结束。尽管所有营销活动都建立在洞悉顾客群体需求的基础上,但显然,个体需求的产生及在此驱动下的行为研究是洞悉群体需求的基础。

需求在其简单的表象下有着极其丰富的内涵与表现形式,个体需求扩散为群体需求也有一定的规律可循。营销者只有了解需求产生的原因,清楚需求的类型及划分,才能从各种因素的变化中洞见需求的萌芽,从顾客表述及行为中准确识别其真实含义。当然,需求是动态发展的,营销者需要运用科学方法预测需求的未来变化并进行需求量的测算。

3.1 需求及传递

需求是顾客希望改善目前状态的一种心理愿望,但这种愿望源于何处、强度如何、表现方式是什么?个体需求是如何扩散为群体需求的?接下来将一一解答。

3.1.1 需求产生

当个体在相关刺激的作用下,因当前实际状态与原来期望或理想状态不一致时,就会在心理上产生紧张、不安等不适感觉。当个体期望消除、排解这种不适时,需求就会产生。简单来说,需求就是对实际状态的不满意,如图3-1所示。

需求可以由内部刺激——由人体生理机能引发,如饥饿、口渴,也可以受社交、营销等外部刺激的激发,抑或在内外部刺激的共同作用下产生,如路过餐厅看到美食与促销活动而食指大动。需求产生的关键在于个体能否感知到实际状态与期望状态不一致,而这种不一致取决于个体的阈限水准(threshold level)。若超过阈限水准,个体就会确认需求,进而驱动行为;若未超过,则意味着个体未认识到这种特定需求。阈限是引起个体感觉到某个刺激物存在或发生变化的最小刺激量。不同个体在不同情境下的阈限水准是不一样的,这也就意味着个体对有些需求的认识是瞬间的,而对有些需求的认识则需要长时间才能形成。

图3-1 需求的产生

概括起来,导致个体需求产生的内外部刺激包括自然驱动、功能驱动、自身经验总结、人际交往和营销刺激等5个方面,如图3-2所示。自然驱动和功能驱动是最基本的需求产生力量,其他驱动因素都要通过它们才能发挥作用。

图3-2 需求产生的内外部刺激

1.自然驱动

自然驱动是未经意识控制,由人的器官功能自然作用而引发的,如肠胃器官的过快蠕动使人产生饥肠辘辘的饥饿感,进而导致对食物的渴求。自然驱动产生的需求是基于个体生理的,是人类与生俱来的一种本能,因而最为可靠和持久。这种驱动下的需求基本上不受外界干扰,对不同的个体来说,也是基本一致的,营销刺激只能发挥短暂的、有限的作用。

2.功能驱动

功能驱动是经由大脑反应,因产品的功能属性而引发的,如为了御寒保暖添置衣物,为了拓宽视野、探索未知而购买书籍。功能驱动的需求往往是顾客购买产品的根本原因,也是产品存在和发展的基础。

功能驱动的需求既可以是衣食住行这种基本的日常生活需求,也可以是休闲、娱乐、探索、审美等追求精神愉悦与生活质量的需求。只不过,前者驱动的产品需求规模相对稳定,营销的刺激可能会使这种需求提前释放或扩散转移,但很难改变需求的整体规模与发展趋势;后者驱动的产品需求无论在多样性、扩展性还是可塑性上,都存在较大的弹性空间,营销刺激对这种需求的影响、改变较大。例如,当我们身处美食街时,在食物选择、服务要求、营销刺激等方面,吃饱与吃开心的标准显然不同。

3.自身经验总结

自身经验总结是指个体将曾经购买、消费的经历、感受、认识形成记忆,在一定刺激或提示下产生需求。显然,记忆内容及强度影响自身经验总结所形成的需求,美好体验会让人再次产生对这种产品的需求,美好程度越高,需求被唤醒的可能性就越大,而使用缺陷或教训则会使人抵触这种需求或形成纠正行为。

4.人际交往

人们在交往过程中总是难免要谈到购物、消费及其他生活问题,在此过程中,人们会从多个角度自觉或不自觉地向他人学习购物、消费和生活经验,并且把这种学习来的经验应用于指导自己未来的购物、消费与生活,效仿与攀比是这种需求最为直接的行为体现。和自身经验来自自身经历不同,人际交往是一种来自外部的经验。

人际交往的营销作用包括两个方面,一是改进自身的购物、消费及生活方式;二是效仿,并由此产生新的需求,追求新的产品和生活方式。

5.营销刺激

营销活动是机构有意识地、主动影响顾客需求及行为的行为。因此,在组织或营销者的营销活动刺激下,个体也会产生需求,但这种需求受到诸多因素的影响,且与营销刺激的强度、频率、持久性等密切相关,需求波动性较大。例如,营销刺激催生的需求会因经济形势不好、收入水平下降而被放弃,也会随着促销力度的加大而增加。

材料3-1

冷热不均的奢侈品消费

贝恩咨询公司(Bain & Company)发布的最新数据显示,2023年除了美洲市场受美国宏观经济的不确定性影响致市场萎缩8%以外,全球其他市场的奢侈品销售均实现增长,但备受期待的中国内地市场仅增长了9%,远低于业内预期。

作为全球奢侈品消费第一大国,中国市场的复苏与发展直接决定全球奢侈品市场的走向。虽然新冠疫情后的整体消费市场已然复苏,但面对行业震荡、收入不稳定等现实问题,不同人群的消费行为差异正在显现。高净值人群并未在冲击中受到太大影响,其奢侈品消费依旧频繁,其购买决策仍由身份象征、独特性和认同感驱动,但不少中产阶级已减少或推迟奢侈品购买,以往的高端消费开始转向必要性支出,消费趋于保守、谨慎与克制,而年轻的仰慕型消费者因不断上升的民族自豪感也在逐渐消解“奢侈品崇拜”,更倾向于带来情感与自我表达的本土或小众品牌。有趣的是,即使消费者在持续压抑他们的奢侈品消费欲望,但很多品牌却选择在此时上调价格。

资料来源:精致商业观察.“冷热不均”的奢侈品消费复苏下,品牌如何直面消费模式差异[EB/OL]. (2023-08-25)[2025-03-27]. https://www.163.com/dy/article/ID0RGN4O0552U2HZ.html.

上述5种需求产生的因素是从个体角度展开的,但从营销者角度来看,需求只有指向所营销的产品才有直接的商业意义。自然驱动与功能驱动的需求决定了问题的解决方向,面向的是所有产品或品类,而后3种刺激所形成的需求指向了具体、特定的品牌或组织,从这个角度来看,自身经验总结、人际交往、营销刺激所形成的需求对营销者而言更具决定性。

因此,营销者应注意识别引起顾客某种需求的环境,并充分认识到两个方面的问题:一是那些与本组织产品有实际或潜在关联的需求驱动力;二是顾客需求强度会随着时间的推移而变动,并且会被一些诱因触发或屏蔽。在此基础上,营销者要善于挖掘情境、动机等诱因,既要触发顾客需求,又要将顾客需求指向对本组织产品的需求及购买上。

5种因素引发的需求强度及稳定性是依次减弱的,这也说明需求是变化的、具有社会性的,是可以由“学习”而产生的,是可以被创造与传递的。当然,对于组织市场的需求而言,其需求的产生与自然驱动、人际交往无关,通常只是从效益或效率出发,确定是否需要更新设备、购买原材料等。

3.1.2 需求类型

既然需求受到诸多因素的影响且是变化发展的,因此,在现实生活中需求就存在多种表现形式、层级、结构等。营销者应尽可能地从不同角度对需求进行解构,进而划分并厘清需求的类型,掌握不同类型需求的特征,以符合其特征的方式去创造、传递并满足它。常见的需求类型划分及内容如表3-1所示。

表3-1 需求的类型

1.按照起源划分

按照起源划分,需求可以分为自然需求与社会需求。自然需求是因生物性或生理性而产生的需求,包括衣食住行、健康、安全等。这些需求是个体与生俱来的,是基于生存与生活延续而产生的。社会需求是在社会互动与合作中,因社会角色、社会行为和社会关系而产生的需求,如社会交往、荣誉感、自我表现等。这种需求是个体作为社会成员在后天的社会生活中习得的,与其心理特征紧密关联。

2.按照发展层次划分

美国心理学家亚伯拉罕·马斯洛(Abraham Maslow)在1943年提出需求层次理论,将人类需求从低到高分为5个层次,即生理需求、安全需求、社交需求、尊重需求和自我实现需求,如图3-3所示。

生理需求是指人类最基本的身体需求,包括食物、睡眠、栖身之地等。安全需求是指保护自己免受身体和情感伤害,摆脱生存及生活威胁的需求,如人身及财产安全、病有所医、避免失业。社交需求是指与他人建立感情的需求,包括爱情、归属、接纳、友谊等。尊重需求是指自尊和希望受到别人尊重,如独立、威望。自我实现需求是指追求实现自己的能力或潜能,并使之完善的需求。

马斯洛认为需求是由低到高逐级形成并得到满足的,但今天大多数学者认为,任何人都同时存在上述5个方面的需求,只是由于受教育程度、收入水平、宗教信仰和成长历程等因素的影响,对各个层次需求的重要性与强度存在差异。简单地说,一个乞丐未必没有自尊的需求,更不会没有安全的需求。

图3-3 需求层次模型

3.按照需求量划分

饱和需求 饱和需求又称充分需求,是指市场对某产品的需求量或某需求的顾客总量在当前条件下已经趋于上限。如2022年江苏省有线电视数字化率已达到99.6%,传统有线电视的装机需求已近饱和,难再增长。需求受到诸多因素的影响,任一因素的变化都会引起需求变动,因此饱和需求并非稳定不变。

过度需求 过度需求又称超饱和需求,是指市场对某产品的需求量超过了当时该产品的市场供应量,也指需求量超过了资源承载量。前者会呈现短暂的供不应求,后者则会导致长期的环境恶化,需要通过社会能力、企业克制及正确消费观与营销观的传播,将需求量限制在资源可持续的条件下。

衰退需求 衰退需求是指市场当前对某种产品的需求量在减少。替代产品的出现、经济形势的恶化、消费观念的变化等都会导致需求的衰退。根据其产生的原因与结果,衰退需求也被称为无益需求或否定需求。

波动需求 波动需求又称不均衡需求,是指市场对某产品的需求在数量和时间上呈不均衡的波动状态,如时令性产品、节假日的交通出行等。需求波动往往导致价格的起伏,若波动较大或过于频繁,则会对生产及销售计划产生较大影响,加大运营成本及风险。

讨论3-1

集中式休假的喜与忧

根据文化和旅游部的数据,2024年国庆黄金周国内出游7.65亿人次,较2019年同期增长10.2%,总消费达到7008.19亿元,较2019年同期增长7.9%。交通运输部的数据显示,国庆期间,全国跨区域人员流动量累计20.03亿人次,日均28618.7万人次,较2023年日均增长3.9%,相当于全球1/4人口乘坐交通工具出去旅行了一次。其中,自驾出行达158541万人次,占交通出行人数的80%左右。

黄金周继续见证了假日经济的巨大能量,但“拆前借后”的集中式休假及“翻过人山看人海”的景象也再次引发讨论。赞同者认为,除了宏观层面上的促进消费、带动经济考虑以外,集中式休假方便亲友在一个时间点团聚、远游;反对者则认为集中式休假打乱了正常的生活节奏,降低了休假质量。你怎么看待集中式休假?要不要改革,怎么改革?

4.按照显现状态划分

现实需求 现实需求是指顾客已经清晰显现并准备寻求满足的需求,同时顾客还具备相应的货币支付能力、购买资格等相关条件。只要市场上有相应的产品供应,顾客需求随时可以转化为对具体产品的购买和消费行为。

潜在需求 潜在需求是指目前尚未清晰显现或明确提出,但未来可能形成的需求。潜在需求通常是某种消费条件不具备所致,如市场上缺乏能满足需求的产品,不具备产品使用条件,顾客不愿意改变消费习惯或消费意识不明确。

5.按照利益指向划分

实用性需求 实用性需求是指能产生客观的、功能性的应用价值的需求,如打印、理财。实用性需求通常因一项功能性或实用性的任务而产生,顾客对产品的购买与使用具有明确的工具性需求,注重产品的使用效果,对产品的选择、评价标准侧重于属性,较为客观。

享乐性需求 享乐性需求是指能带来主观的、情感上的心理及精神价值的需求,如游戏、看展。享乐性需求通常以追求愉悦、享受过程的情感体验为目的,注重过程,对产品的选择、评价标准偏向情感,主观性强,差异明显。当然,从产品角度来看,产品可以同时满足顾客的实用性需求与享乐性需求,因竞争的加剧,实用性产品已经越来越注重对享乐性需求的创造与满足。

6.按照结构划分

日本学者狩野纪昭(Noriaki Kano)根据企业所提供的产品对顾客需求的满足程度,提出KANO模型,将顾客需求从结构上分为基本型需求、期望型需求和兴奋型需求,如图3-4所示。

基本型需求 基本型需求是顾客认为产品“必须有”的属性或功能,是对产品最基本、最低限度的要求。顾客一般认为这种需求是一种当然的需求,不需要表述出来。当产品满足顾客的基本型需求时,顾客只会认为是理所当然的,不见得就满意;但当产品不能满足这些需求时,顾客一定会不满意。

图3-4 KANO模型

期望型需求 期望型需求是与顾客满意度成正向关系的需求,是顾客希望获得的一些优质的产品内容及属性。这些内容及属性并不是产品“必须有”的,而是顾客“期望有”的,期望型需求被实现得越多,顾客就越满意。在需求调查中,期望型需求往往是顾客表述的重点,但受到知识结构、表达能力等个体差异和外部环境的制约,顾客有时虽然意识到或希望得到某些需求,但可能很难直接、明确地表达出来。

兴奋型需求 兴奋型需求是很少被顾客意识到或意想到的需求。兴奋型需求往往不在顾客的预期框架中,也很少会被顾客表述出来,但当产品满足了这些需求时,顾客就会产生强烈的惊喜感,顾客的满意度会大幅增加;如果产品不提供这些需求,顾客的满意度也不会因此降低。

7.按照表述划分

显性需求 显性需求是指顾客已经意识到的,并且能够主动、清楚表达出来的需求。显性需求具有一定的共性化特征,企业可以通过提高研发水平、规模化生产去满足。

隐性需求 隐性需求则是指顾客尚未意识到的,没有直接提出、不能清楚描述的需求。隐性需求通常隐藏在显性需求背后,与某些显性需求存在千丝万缕的关联。尽管顾客也不清楚自身的隐性需求是什么,但当营销者借助显性需求对顾客进行启发、引导时,这种模糊不清的需求会逐渐清晰、明确。例如,在知识创新型产业中,企业往往会先确定一种与顾客隐性需求有关、具有潜在商业价值的创意和构思,然后研发、生产出新产品,通过试用、优化及改良,使新产品趋于完善。

材料3-2

隐形眼镜:从医疗器械到彩妆神器

隐形眼镜最初主要用于角膜或眼前节疾病的治疗,后广泛应用于生活中的近视、远视、散光等屈光不正的视力矫正。作为医疗用品,耐用性与舒适性是用户主要的显性需求,多年来各大品牌一直在使用周期、材质、含水量、透氧性等方面下功夫。随着颜值经济与悦己思潮的兴起,具有美化、装饰眼睛功能的彩色隐形眼镜(以下称为“彩瞳”)在国内快速增长,MOODY、4iNLOOK、可啦啦等国产品牌相继获得多轮融资,深受资本与市场的青睐,彩瞳色彩、图案形状与妆容的搭配,潮流元素的融入成为产品的主要卖点。国金证券发布的研究报告显示,2016—2021年,彩瞳在中国的市场规模从42亿元增长至282亿元,年化复合增长率达46%,到2025年底,其市场规模预计可达479亿元。

按照《医疗器械分类目录》,隐形眼镜属于风险级别最高、监管最严格的第三类医疗器械。尽管爱美是人的天性,但对视力矫正者来说,若没有品牌商的教育、引导,恐怕没人会在选购隐形眼镜时将颜值提升与视力矫正联系在一起,隐形眼镜市场也不会由非活性眼科类医疗市场扩大到时尚快消品市场。

需求类型的划分标准及方式反映了需求的具体属性,对需求类型的多角度划分有助于营销者从不同的角度审视需求的内涵。首先,需求类型的划分有助于组织与顾客明确各自对需求的认知。顾客对自身需求的认知程度决定其能否准确描述其需求,组织也只有在多角度、全面了解顾客需求类型的基础上才能把握顾客需求是否显性、现实,是否为组织目前的产品或服务所覆盖,是否需要组织进行市场教育与引导……供求双方只有在完成对需求的各自认知和相互认知的基础上,才能逐渐靠拢、形成交换。其次,需求类型的划分提供了需求创造的方式与途径。需求类型的多角度划分充分说明了需求是有层次结构的,也是发展变化的,顾客对产品的需求从来都不是一个单维、静止的状态。因此,需求的创造不仅仅体现在对一种全新需求的识别与挖掘上,还体现在对现有需求的迭代与升级上,且无论哪种方式,创新生活方式或经营方式都是创造需求的重要途径。

3.1.3 需求扩散

从营销者角度来看,需求只有指向所营销的产品才有直接的商业意义。但一种具体的产品需求不可能同时存在于所有人中,它总是出于某些特定的原因在某些群体的某些人中首先产生,然后再在群体内、群体间及时空范围内传播、被接受,这个过程就是需求扩散或需求传播。从过程上来看,需求扩散包含信息流与影响流两个环节;从形式上来看,需求扩散具有群体内扩散、群体间扩散、空间扩散、时间扩散等形式。

1.群体与需求扩散

尽管需求的产生与发展具有足够的个人色彩,且随着社会经济的发展与自我意识的崛起,需求的差异化、个性化越发明显,但在现实生活中,因年龄、性别、职业、收入水平、社会地位、宗教信仰、社会认同等方面的相同或接近,部分个体会在消费观念、习惯、需求及消费能力等方面表现出某种一致性或相似性,形成一定的消费群体。也就说,同一消费群体内部的个体在消费心理、需求和行为等方面拥有许多共同之处,不同消费群体之间则存在诸多差异,这就为需求扩散奠定了现实基础。

需求扩散的过程包括信息流与影响流两个环节,信息流呈现信息传递的过程,影响流则体现效果形成及发散过程,如图3-5所示。 营销者利用电视、互联网等媒介直接面向各类受众传递信息(即信息流),信息虽然可以直接到达受众,但信息的影响需要经过人际传播的多重中介过滤(即影响流),形成多级传播才能最终影响一般受众。这也意味着,在需求扩散的过程中存在影响其他群体或群体其他成员的中间角色,即意见领袖,意见领袖及其影响力的存在促进了需求扩散的速度与范围。

图3-5 需求扩散过程

意见领袖存在于各个社会群体与阶层中,因具有特殊技能、知识、人格或其他特质而对其他群体或群体其他成员产生影响力。这种影响力包括提供媒介信息并对其进行过滤、解释及评价,左右群体及成员的态度倾向,其行为对群体及成员行为具有示范导向性。意见领袖并不集中于特定群体或阶层,并不是正式组织中的正式领袖,通常与被影响者处于平等关系,可以是身边的技术“发烧友”、社交平台上的“UP主”、因共同兴趣而结识的同好者……

消费群体的形成为规模生产、规模经济提供了市场基础,毕竟只有一定规模的需求才能构成有经济意义的市场。任何组织都不可能将其经济活动或社会管理活动建立在个体需求上,必须把个体需求转变为群体需求,将个体不满足转变为群体不满足,通过需求的扩散来创造、扩大市场,并扩大需求规模。从这个角度来看,需求扩散理论解释了创造需求、传递需求、扩大需求的内在机理。

当然,竞争的加剧及个性化需求迫使组织必须向顾客提供差异化的产品,差异化产品及价值的提供又反向鼓励了顾客的与众不同与个性化追逐。因此,组织必须在个性化和共性化之间寻求平衡,既要鼓励顾客的一致性以形成群体,形成一定的市场规模与规模效应,又要防止群体规模过大导致无法满足顾客的个性化需求。

2.群体内扩散

群体内扩散是指需求在一个消费群体内部的传播、发散与接受。尽管同一消费群体中的个体大都具有相同或类似的消费需求,但对满足这一需求的具体产品的接受速度是不尽一致的。群体内扩散的一般规律是:群体内的意见领袖先接受了一种新的产品需求,在其示范带动下,群体内其他个体开始效仿、接受,使需求在群体内扩散开来。

案例3-1

Keep 7年:注册用户从0到3亿

2015年2月4日,Keep app正式上线,但在此之前,Keep的“埋雷计划”已经启动。Keep团队在微博、豆瓣、百度贴吧等社交媒体上锁定了近百个健身社群,通过发布高质量的健身贴,吸引健身爱好者的关注,并从中招募了大约4000人的内测团队。这4000人在帮助完善产品功能的同时,也成为Keep第一批种子用户。凭借通俗易懂的免费课程及种子用户的示范影响,Keep仅用了289天就获得了1000万注册用户,用了467天就使月活跃用户达到1100万,在健身工具类app市场上一鸣惊人、站稳脚跟。

2019年,Keep注册用户突破2亿人,但app自制课程仅有1200套,Keep团队意识到若不增添平台内容的丰富性,将无法吸引更多的新用户,老用户也会被抖音、B站等平台分流。为此,Keep引入健身达人、开启直播,开展“万人伸展计划”。健身界顶流帕梅拉、周六野Zoey、韩小四AprilHan等达人纷纷进驻Keep。优质的达人课程和运动陪伴打破了用户增长的瓶颈,截至2021年底,Keep已积累超过100位拥有50万以上粉丝的达人,月度百万跟练达人14位,意见领袖级健身达人超过1000位,注册用户3亿人。此后几年间,Keep更是与虚拟团体A-SOUL、马拉松赛事、肯德基等合作,旨在通过场景、圈层与内容的多维出圈,吸引更多群体。

2024年8月,Keep发布营收公告:报告期内营收10.37亿元,同比增长5.4%,平均月活跃用户和平均月度订阅会员分别为2966万和328万,会员渗透率提升至11.1%;自有品牌运动产品贡献5.01亿元营收,占比48.3%,线上会员及付费内容贡献4.37亿元营收,占比42.1%;截至2024年6月30日,Keep持有现金及现金等价物14亿元。

资料来源:私域流量观察.坐拥数据驱动的3亿私域流量池,刘畊宏们打不败Keep[EB/OL].(2022-05-09)[2025-03-27]. https://mp.weixin.qq.com/s/UszSi1vyKyMBwzx_5I6irQ.

3.群体间扩散

群体间扩散是指需求由一个消费群体向另一个消费群体的转移与接受,流行是需求在群体间扩散的最典型现象。按照需求扩散的方向,群体间扩散可以分为滴流、横流和逆流3种形式。

滴流是需求自上而下引发的需求扩散,即需求先在较高的社会阶层中产生,后逐渐扩散到较低的社会阶层中。例如,奢侈品多被收入较高、经济稳定的人士购买使用,但因其高价、稀缺所形成的象征性,也被初入职场的年轻人追捧。

横流是需求在社会同一阶层中的不同群体之间的扩散,即需求在社会同一阶层的某一群体中率先产生,而后在其引领下向同属同一阶层的其他群体蔓延、渗透,进而扩散。例如,格纹衬衫因穿着舒适、搭配简单,除了成为程序员的日常标配穿搭外,也逐渐被商务人士喜欢。

逆流是需求自下而上引发的需求扩散,即需求先在较低的社会阶层中产生,后逐渐扩散到较高的社会阶层中。例如,牛仔服原是美国西部牧牛人的工装,现已成为从平民百姓到国家总统的风行服装。

4.空间扩散

空间扩散也称区域扩散,是指需求由一个区域扩散至另一个区域。本质上,需求的空间扩散属于群体间扩散,是按照地理区域对消费群体进行了区分后形成的扩散。通常,不同区域的消费群体在购买力、消费意识、社会文化等方面存在差别。

需求的空间扩散一般只有滴流和横流,即由发达地区向发展中地区、欠发达地区扩散,或在发展程度相同或相近的区域间扩散。逆流现象即使有,也往往是发达地区意见领袖发现、追逐和推动的结果,这也是营销者往往将新品的发布与推广选择在发达地区、一线城市的原因。

5.时间扩散

任何扩散都存在时间性,需求扩散也不例外,衡量需求扩散的时间指标包括速度和周期性。需求的本质是一种愿望,因此其扩散速度可以很快,现实生活中也常有“引爆需求”的说法。但从产品角度来看,无论是产品的供应还是购买都不可能在较短时间内实现规模化,当然,观念产品、可数字化产品的供应速度另当别论。营销者需要在需求(或产品)扩散速度和产品供应保障间寻求平衡,供不应求容易使竞争者或替代品乘虚而入,甚至可能导致假冒伪劣泛滥,供过于求又会明显延缓资本回收周期、增加运营风险。

需求扩散的另一个时间维度是周期性。周期性是时尚性需求及产品的典型特征,当然,这种周期性并不一定呈现出规律性,不同周期的需求与产品也并不完全一样,一定存在结构、形式等方面的变化。时尚的周期性受到社会文化、经济状况等多种因素的影响,但很多时候是营销的结果,因此,在某种意义上,前卫与复古并无本质区别,都是市场审美观念与购买需求的体现。

需求扩散并不是单一的线性发展,往往多种扩散形式交叉重叠在一起,互相影响、互相渗透,即需求在一个消费群体内部扩散的同时,可能也在另一个消费群体扩散,这种扩散既体现区域上的跨度,也存在时间上的间隔。

讨论3-2

翻红的军大衣能否持久

军大衣曾是军队保暖服装,独特的军事气息和突出的御寒功能使其在20世纪70年代成为满街蓝灰色年代的一抹时尚,一件难求。到了20世纪80年代,军大衣已经在老百姓中普及,成为寒冬中的“国民外套”,但随着羽绒服的兴起,军大衣在20世纪90年代逐渐退出大众视野,仅在冷库劳保用品销售点、冬季景点的游客中心等小众场合可见。

2023年11月10日,8名大学生身穿军大衣走进教室的视频引发全网近1000万人的围观,“军大衣平替羽绒服”“军大衣走进校园”成为热门话题,引发抢购热潮,军大衣也因此轻松入围“淘宝2023年度十大商品”的候选名单。没人会想到在2023年冬天,军大衣会在大学生群体中重获新生,引发购买风潮,更让人难以置信的是,军大衣还火到海外,被誉为“东方的时尚战袍”,100美元的售价供不应求。对于军大衣的翻红,有社会观察家认为这是“00后”在整顿羽绒服市场,是对“炫耀式消费”的回应,反映了年轻群体抵制高价、理性务实的消费观念;有网络评论者指出军大衣只是年轻人玩梗的手段,“显眼包”的社交红利难以支撑军大衣的持续热销;时尚人士则强调这是时尚的循环,是交领、斜襟、肩章等军事元素与时尚风潮的再次融合,是消费者审美多元化的表现,是历史沉淀与实用主义的结合……那么,你怎么看待军大衣的翻红?其是否具有持久性?存在怎样的需求扩散?

3.2 需求识别及方法

需求无所不在,但要准确识别顾客的需求并非易事,毕竟需求受到诸多因素的影响,是动态的,且很多时候是潜在的、模糊的。需求识别就是对顾客需求进行清晰、可衡量的描述,通常包括状态识别与因素识别两个环节,如图3-6所示。

图3-6 顾客需求识别

状态识别是通过对顾客表述与顾客行为的识别与深入解读,探求顾客真实诉求与期望;因素识别则是通过顾客所处环境、所在场景、所担角色的分析,预测顾客需求状态的未来变化,或通过对外在因素的改变、重建来创造需求。状态识别基于当下,因素识别则更多着眼于未来。

3.2.1 需求状态识别

需求状态是对顾客需求内容及结构、利益、变化、起源等属性、特征的统称,需求状态识别就是营销者理解和描述顾客需求,挖掘并洞悉顾客真实需求的过程,这个过程可以从表述识别与行为识别两个层面展开。

1.表述识别

顾客在购前、购中、购后的各个阶段会通过问询、评价、问卷调查等多个途径进行需求描述与反馈,告诉营销者需要什么、关注什么、不满什么……显然,顾客的表述呈现了其需求“是什么”,对顾客需求表述的分析也就成为营销者发现顾客需求、解决顾客痛点的最基础、最直接的手段。但顾客表述的需求并不一定是清晰、真实、全面的,很多时候是模糊、虚假、片面的,需要营销者的识别、判断。

首先,顾客需求并非都是显性的,有些需求是潜在、隐形的,顾客自己也不知道需要什么,自然难以清晰表述;其次,出于心理防御、情境压力等方面的考虑,顾客会避免真实表达自己的需求,甚至会给出虚假、错误的感受与想法;最后,受制于知识经验、认知表达、购买偏好等自我能力的约束及营销刺激的影响,顾客很难全面、客观地表述需求,即使所表述的需求看上去较为清晰、明确,但仍可能存在确定性、结构性等问题。

材料3-3

“不贵”的背后

表述的需求:我想买一辆不贵的新能源汽车。

真正的需求:练手、代步,小剐小蹭不心疼。

未表明的需求:维修保养成本低,养车无压力。

令人愉悦的需求:电池终身免费更换,车贷可享受三年免息优惠政策。

秘密的需求:毕业一年多就能买车的“显摆”心态。

2.行为识别

需求与行为之间存在紧密关系,需求是行为的基础与驱动力,行为是需求的表达与满足方式。顾客表述出来的需求并不一定是真实需求,但顾客行为往往反映其真实需求与偏好,是需求“怎么实现”的呈现。因此,顾客行为识别就是营销者通过对顾客购前、购中、购后各阶段的行为观察,去挖掘、验证顾客真实需求的过程。简单来说,顾客的表述只是提供给营销者一个识别顾客需求的机会,能否识别出真实需求需要借助顾客行为来验证。因此,营销者既要听顾客说什么,也要看他们做什么。对顾客行为的观察、描述框架及相关理论参见第5和第6两章内容。

3.2.2 影响因素识别

顾客需求及行为不是在真空中形成的,环境、场景 、角色等外在因素都会对顾客需求状态产生影响。营销者只有识别出影响顾客需求状态的外在因素,清楚其发展走向,才能有效预测顾客需求状态的未来变化,进而支撑并指导营销决策,在竞争中赢得先机。

影响因素识别包含两层含义。一是对影响因素本身的识别。环境、场景、角色等因素本身就具有复杂性,包含众多内容,有些内容是显性的,已经影响或正在影响顾客需求状态,如环境中的文化因素、角色中的职业因素,营销者只需要确认即可;有些内容则是隐性的、潜在的,过去或当前并未对顾客需求状态产生影响或影响甚微,但未来会对顾客需求状态产生较大的、明显的影响,营销者需要识别、描绘出这种新的“形成中”的影响因素,通过这些因素的干预、引导来影响顾客需求状态,进而寻求市场机会。二是对各因素影响程度的识别。环境、场景、角色本身包含众多内容,且不断动态变化,这些内容对顾客需求状态的影响并不相同。无论这些内容是显性的还是隐性的,营销者都需要评估、判断各需求因素及其内容变化对需求状态的影响性,如影响强度、范围、正面性、持久性、可控程度,在此基础上,识别出影响顾客需求状态的关键因素,并通过对这些影响因素进行优先级排序与资源配置,确定未来需求状态的变化走向,做好应变准备。

1.环境识别

环境识别是指营销者针对影响顾客需求状态的环境因素进行甄别、判断与描述。环境因素包括宏观环境与微观环境两部分内容,其影响具有复杂而多变、广泛且长期等特征,具体内容详见第4章。

2.场景识别

顾客需求与行为总是在特定的时间、空间、氛围中产生和完成的,这些围绕具体顾客存在的各种“背景”因素就构成场景,即场景是在特定时间、空间内发生的,作用于特定主体当下需求及行为的外在因素。因此,不同于环境影响的复杂而多变、广泛且长期,场景更为具体、特定,具有应时、应景的高感知、短时效的特性。

需求与场景相伴而生,需求需要通过场景呈现、表达并实现,即场景是顾客需求依托的场所与“界面”;另外,场景也可以唤醒、激发需求并推动行为达成,即需求可以被场景“生产”出来。尤其是随着大数据、云计算、人工智能、物联网等新兴数字技术的兴起,数据可以将传统意义上难以衡量的场景要素具象化、可视化,有助于产品卖点同顾客需求的对接,实现需求、消费的升级迭代。

需求决定行为,顾客需求又无法脱离场景存在,因此,具有共性需求或行为的顾客可以用场景进行标签化、聚类化。营销者可以通过对场景的细分、识别来洞悉或创造顾客需求,如盒马鲜生的“堂食”、亚朵的“睡音乐”。被细分、识别的场景与顾客的需求、行为细节越匹配,就越有助于营销者发现市场机会,创造更多、更大的顾客价值。

场景识别通常是对以下4类场景要素进行甄别、描述:①与时间相关的因素,如季节、节庆、某个重要时刻等;②与空间相关的因素,如地理位置、场所、景观、布局、陈设、动线等,空间可以是现实的、现实增强甚至虚拟的,也可以是实景的、网络的;③与氛围相关的因素,既包括光影、声效、色彩、温度、道具等物理氛围因素,也包括流程、仪式、陪伴、接触服务、互动关系等心理氛围因素,物理氛围因素主要影响主体的感官体验,心理氛围因素因具有一定的社会性而会对主体的社会心理 产生影响;④与连接相关的因素,场景中的主体可以是某类消费者、组织中的某种行为人,甚至是虚拟人。从营销角度来看,对没有特定主体的场景识别与分析是没有意义的,因此连接特定主体与场景的媒介、事件(或事项)、社群、产品、品牌等因素是场景识别的重要内容,也是最容易被忽略的内容。

案例3-2

从易快报到合思:以场景驱动发展

报销是企业财务最基础的工作,看似简单,实则让各方头疼不已。员工烦恼垫付、贴票、报销周期长;财务烦恼发票稽核、合规查验;领导烦恼审批烦琐、超标严重;采购烦恼供应商匮乏、采购价高……但报销的逻辑、规则、流程稳定,适合采用标准化的软件管理。

2014年底,马春荃创建易快报,创业团队敏锐察觉到报销背后的巨大商机,认为消费场景、报销场景、审批场景之间的孤立、隔断是导致报销痛点的关键,报销只是解决了事后消费,而要真正实现企业支出管理的精细化,必须将“事后报销”延伸到“事前预算、事中管控”的消费管理中。为此,马春荃创业团队开始重塑报销的全流程场景,将仅限于企业内部的报销审核延伸到外部消费市场与支付平台,推出易快报app并使之与钉钉平台深度集成,为中小型企业提供一站式报销服务,实现消费、报销与费用管理的同步衔接。

2017年,易快报成立合思商城,包含商旅、出行、用餐、办公采购等众多企业高频消费业务,实现商城与易快报app的耦合。合思商城覆盖国内340万家酒店及880多万家餐饮商资源,方便企业线上采购、员工合规消费,不用垫资、无须报销,商城统一开票支付、自动对账,打通了企业从采购到消费再到财务的全流程管理。

2023年4月19日,易快报更名为合思,对外发布合思费控、合思付款、合思收款、合思档案、合思BI五大产品线,实现从费控报销软件到财务收支管理平台的战略升级,这也意味着,合思业务实现了从收款到付款、从业务到财务、从管控到分析的全财务场景覆盖,基于连接优势所构筑的面向企业的业财连接生态已经形成。

资料来源:甲子光年.从易快报到合思:一家SaaS独角兽的八年蜕变[EB/OL].(2023-4-23)[2025-03-28]. https://www.sohu.com/a/669169260_100016644.

3.角色识别

需求是有主体的,但在需求产生到实现的过程中并非只有一个主体,往往存在多个主体,扮演多种角色,即需求的发起者、决策者、购买者、使用者并不一定统一存在于一个主体中,存在角色的分离,这在组织市场尤为明显。这些主体因性别、年龄、职业、收入、立场、个性等方面的差异,自然使其在需求产生与实现过程中呈现出不同的偏好、取向、习惯等个人特质。

主体的多样、角色的分离、背景的差异要求营销者在需求识别过程中必须明晰需求表述者、行为达成者及场景中的人存在怎样的关系,在需求的产生与实现过程中扮演怎样的角色。概括起来,角色识别主要识别两类内容:①参与者识别,需求产生、实现的过程中存在哪些参与者?通常,参与者包括发起者、决策者、购买者、使用者、影响者,组织市场更为复杂些,还会涉及把关者、批准者等,具体内容详见第6.2.2节;②身份信息识别,无论是消费者市场还是组织市场,参与者都是自然人,因此有关参与者身份特征与社会背景的信息需要明确,如年龄、职业、受教育程度等。当然,身份信息的识别是在严格遵守《中华人民共和国个人信息保护法》《中华人民共和国网络安全法》等法律法规的前提下展开的。

3.2.3 需求识别方法

需求识别可借助调查、观察、实验、行为数据等方法展开,每种方法又存在多种方式、手段,如调查法包括问卷调查、焦点小组讨论、深度访谈等,观察法包括设计观察等,实验法包括控制实验等,行为数据法包括数据挖掘等。受限于篇幅,本书在每种方法中各选取需求识别相对准确的一种识别方式进行描述。

1.深度访谈法

深度访谈法是围绕特定主题,基于询问和受访者的记忆而开展的一种调查法。深度访谈通常是半结构式的,因为无法预知受访者对问题的回答,因此,访谈者在一对一地与受访者交谈时,仅需要围绕事先确定的主要问题与框架,根据受访者的回答随时调整问题顺序、新增访谈问题来探究其内心真实想法与态度。需要强调的是,受访者在访谈过程中的表现,如动作、表情、语气等,也需要同叙述内容一起被记录、分析。

例如,为了洞悉顾客对某产品属性的真实需求与偏好,深度访谈的内容通常由两部分构成:第一部分是要求受访者在不同场景下,识别出有别于其他产品的产品属性或描述该产品属性对其重要性;第二部分是访谈者针对受访者所指出的产品属性进行提问:“为什么这个属性对你来说很重要?”受访者通常会将这一属性跟一个利益点或者另一个属性相联系,访谈者需要接着追问“为什么这个利益点(或属性)对你来说很重要?”

在深度访谈中,为了让受访者自由表达,获取其内心真实想法,访谈者要避免使用封闭式、判断性或暗示性的问题,不预设某些因素的存在或不存在。深入、灵活是深度访谈的重要特征,因此,在需求识别中,深度访谈有助于洞悉顾客潜在、隐性需求,揭示需求与场景之间的联系,理解行为、决策背后的动因。

2.设计观察法

设计观察法是通过设立专门的体验场所或顾客实验室,创造出与现实情况相同或相近的条件与环境,观察者现场或借助影像摄录设备观察体验者行为,借以判别、洞悉顾客需求的一种观察方法。

设计观察法不需要体验者的意见反馈,而是依赖观察者对体验者行为的观察、记录,包括基础行为、交叉行为、行为顺序等,通过对原始行为数据的分析,发现影响体验质量的因素并加以改进,或探究行为与心理反应的相互关系来识别、推演需求。在需求识别中,设计观察法避免了顾客对回忆的依赖、叙述上的失真与干扰,提升了数据的真实、可靠性,但观察者也相应地难以了解顾客内在的心理、动机,因此该方法多用于产品开发、流程设计、零售陈列、营销效果评估等方面。

3.控制实验法

控制实验法是指在受控环境中,按照一定程序人为地控制和改变变量,以测试不同变量间关系及变化规律的实验方法。变量控制与因果推断是控制实验法的关键,其中,变量控制不仅是对实验变量(自变量)的控制,还包括对可能影响实验结果其他一切变量的控制,如干扰变量、控制变量。

控制实验法通常包括以下步骤:①建立研究假设;②建立实验组与控制组;③明确自变量、因变量等变量;④前测,即在实验之前,对实验组与控制组进行相关指标的测量,以了解其初始状态;⑤实施实验刺激,对实验组施加自变量的影响,观察并记录其反应,控制组不接受实验刺激;⑥后测,在实验结束之后,再对实验组和控制组进行相关指标的测量,以了解自变量对因变量的影响;⑦分析和确定变量之间的关系是否成立及相应的函数表达;⑧总结实验结果,验证假设是否成立。

控制性强、因果关系可识别是控制实验法的优点,缺点是非自然性,即实验环境与现实生活存在较大差距,实验结果可能在现实生活中存在偏差。在需求识别中,控制实验法主要用于新产品试销、营销行为反应、营销策略设计等方面。

4.数据挖掘法

数据挖掘法就是通过对大规模数据的采集、处理与分析,揭示出关联规则、隐藏模式、趋势等具有潜在价值信息的行为数据方法。

在传统数据时代,数据挖掘主要围绕数据库中的采样数据展开,如购买记录、推荐历史等,数据是结构化的。随着互联网、社交媒体、移动设备和物联网等技术的普及,顾客的行为数据量呈指数级增长,云计算、机器学习、人工智能等技术的发展让这些海量数据的获取、处理也变得更加容易、快速与高效。因此,大数据时代的数据挖掘(以下简称“数据挖掘”)不再受样本规模、数据形式、时效性的限制,可以直接围绕实时的全量数据展开,数据也可以是邮件、评论、图像、音频、视频等半结构化或非结构化数据。

不受样本规模限制、时效性强、准确度高是数据挖掘法的主要优势。在需求识别中,数据挖掘法主要通过对顾客行为的抓取、分析来细分市场,洞悉其需求、偏好,开展营销信息的精准推送等。

材料3-4

课程思政

向“大数据杀熟”说不

“大数据杀熟”是互联网企业利用顾客个人信息进行自动化决策,对同样的产品进行差异化定价的不良行为。2021年11月1日,我国首部专门针对个人信息保护的综合性法律《中华人民共和国个人信息保护法》正式实施,首次从法律层面系统规定了个人信息的知情权与决定权,对“大数据杀熟”等自动化决策 进行了专门的规定。

《中华人民共和国个人信息保护法》第24条规定:“个人信息处理者利用个人信息进行自动化决策,应当保证决策的透明度和结果公平、公正,不得对个人在交易价格等交易条件上实行不合理的差别待遇。通过自动化决策方式向个人进行信息推送、商业营销,应当同时提供不针对其个人特征的选项,或者向个人提供便捷的拒绝方式。通过自动化决策方式作出对个人权益有重大影响的决定,个人有权要求个人信息处理者予以说明,并有权拒绝个人信息处理者仅通过自动化决策的方式作出决定。”

3.3 需求预测

在明确了需求如何产生、发展、扩散,营销者如何识别需求等基本问题之后,营销者需要通过科学方法推测、预判需求的发展变化,从量的角度对当前和未来的需求及其所能达到的上限进行测算,从而为营销机会评估、营销资源配置及营销控制提供依据。

3.3.1 需求预测方法

需求预测是运用科学方法及手段对顾客需求未来发展的预计与推测,包括对需求发展走向、规律的定性与定量两类预测方法。为提高预测的准确性与可靠性,在需求预测的现实操作中,营销者常将这两类方法结合起来使用。

1.定性预测方法

定性预测方法又称判断预测法,是由预测者依靠个人经验与综合分析能力对需求的变化发展做出预测判断的方法,包括购买者意向调查法、销售人员意见综合法、经理人员评判法、专家意见综合法等。定性预测方法简便易行,耗时少、费用低,但主观性强,常用于统计数据和原始资料不足的情况。其中,预测者的选取是定性预测方法的关键。

购买者意向调查法 该方法主要预测在既定条件下购买者的可能行为,因此当购买者的购买意向较为清晰、明确且愿意表达时,可采用该方法进行营销。组织市场上较常采用该方法。购买者意向调查法一般采用抽样调查,通过口头或书面询问的方式,直接了解购买者目前和未来的财务状况、可承受的价格、购买意图等内容。

销售人员意见综合法 该方法主要预测顾客需求走向与行业动向。销售人员市场洞察力敏锐、经验丰富,直接深入市场,与顾客、竞争对手、合作伙伴等群体密切接触,因此,该方法所形成的预测结果具有较高的准确性。为进一步保证预测的准确性,营销者可向销售人员提供一些必要帮助与信息资料,如产品关键技术的发展走向、企业未来的商业前景信息、竞争对手的行为与营销计划报告等。

经理人员评判法 该方法是由企业富有权威的高级主管人员根据自身经验与知识进行主观判断,通过交流与讨论,最终获得一个比较一致的意见的预测方法。但由于预测者来自不同部门,基于不同立场会形成不同的预测角度,因此较难获得一个意见比较一致的预测结果。但因预测者的知识、思维、能力、格局层级较高,对行业、企业及市场又极为熟悉,因此经理人员评判法在需求洞见、成因挖掘、因素关联、规律总结等方面具有较大优势。

专家意见综合法 该方法选取不同领域、背景的专家为预测者,借助其丰富的专业知识与经验,经过个人判断、集体讨论等形式及多次集中、反馈环节,形成最终预测结果。为了保证预测结果的客观性和准确性,可以采用匿名或盲选方式搜集和处理专家意见,避免专家之间的交流及互相影响。

2.定量预测方法

定量预测方法是借助经济理论和数理统计工具对需求发展走向、规律等内容进行预测。定量预测依托客观数据,预测结果的可比性、准确性较高,但对数据规模及统计工具、分析模型的依赖性较大,不能完全解释一些非量化因素对预测的影响。定量预测方法通常包括以下两种。

时间序列预测法 该方法利用预测对象(如人均可支配收入、销售量)的历史时间序列,通过建立数学模型和统计分析,找出其发展变化的模式,据此推测顾客需求的未来发展趋势。时间序列预测法有简单平均法、移动平均法、指数平滑法和季节指数法等多种具体方法。

相关分析预测法 该方法通过分析两个或多个变量之间的关联性,据此预测顾客需求的未来变化。 相关分析预测的可靠性与可行性主要受观察值数量、变量之间关系的复杂度、预测时对数据处理是否违背正态分布假设、预测变量对自变量的反作用、未估计到的新变量等内容的影响,具体预测方法包括聚类分析预测法、一元线性回归预测法、多元线性回归预测法、非线性回归预测法等。

3.3.2 需求量及限定条件

对需求发展变化的预测有助于营销者发现或创造市场机会,但对机会有多大、发展性如何、是否与自身资源匹配等问题的回答依赖对市场需求量的具体测算。对市场需求的量化测算是评估营销机会的必要步骤,营销者不仅需要清晰市场需求的上限在哪里(市场潜量),也要了解与营销努力相对应的当前或未来的市场需求量是多少。

市场需求量是指在特定的地理区域、特定的时间、特定的营销环境和营销努力下,某一顾客群体所购买的产品总量,以下简称“需求量”。因此,需求量不是一个固定的数字,而是一个包含一组条件的函数。

需求量= f (区域、时间、营销环境、顾客、营销努力)

区域反映了需求所在的空间层次,通常以地理方位和行政区划来界定;时间反映了需求所在的时间层次,可以是过去、现在、未来的某个具体年份、季度、月份等任意时间段;营销环境包括宏观环境与微观环境;顾客是指具体测算的消费群体,即下文所描述的市场层次;营销努力是指各种营销资源投入及行为的付出。显然,需求量的测算必须在具体的限定条件下展开,脱离特定的区域、时间、营销环境、顾客群体、营销努力等限定条件而讨论市场需求量是没有任何意义的。

作为限定条件,区域、时间最容易确定,营销环境则因包含众多动态变化因素,具有较强的复杂性与不确定性,成为需求测算中的最大变数,营销者无法限定营销环境,只能通过测算方法与手段尽量减少误差。因此,不同顾客群体所构成的市场层次与营销努力就成为营销者在测算需求量时需要特别确定的限定条件。

1.市场层次

需求是顾客的需求,但即使是狭义上的顾客,也包括准备购买和已经购买两种类型,即使是准备购买的顾客也存在不同准备状态的区别,有的还停留在需求阶段,有的已经付诸行动,正在搜索比价,有的可能已经预定……因此,由不同购买状态的顾客所构成的市场可分为潜在市场、有效市场、合格有效市场、目标市场、渗透市场5个层次,如表3-2所示。营销者在进行需求量测算时,必须明确测算的是哪个层次的市场。

表3-2 不同市场层次的区别与联系

潜在市场是那些对某一产品有某种程度兴趣的顾客集合。只凭顾客兴趣不足以形成一个有效市场,潜在顾客必须有能力支付这个感兴趣的产品,并且有一定的途径可以获得产品。有效市场是那些对某一产品有兴趣、买得起、有购买渠道的顾客的集合。有些产品的购买存在法律法规上的约束,例如任何经营场所均不得向未成年人出售烟酒,处方药需要医生处方才能在药店购买;有些产品的使用则存在空间、配套、标准等方面的要求及限制,如不同国家的铁路轨距不同,给跨境运输及高铁销售带来不便。合格有效市场就是对某一产品有兴趣,有购买能力和购买途径,并且有资格和使用能力的顾客集合。目标市场是指营销者决定要在合格有效市场上聚焦或吸引其购买本组织产品的那部分顾客群体。出于自身资源限制及竞争规避的需要,营销者通常围绕目标市场展开营销活动。同一目标市场往往存在多个竞争品牌,渗透市场是指已经购买了本组织产品的顾客集合。

图3-7 不同市场层次的需求量关系示例

图3-7从人口规模角度,以假设的数据呈现了不同市场层次的需求量关系,这种关系为营销者的营销努力及着力点提供了方向。假设某潜在市场的顾客规模占总人口的10%,有效市场、合格有效市场的顾客规模分别占潜在市场的50%与30%,目标市场为合格有效市场的2/3,渗透市场又占了目标市场的50%。以大件耐用消费品的生产企业为例,如果渗透市场只占目标市场的10%或更小,则企业应当在目标市场上继续努力;若渗透市场已经占目标市场的30%甚至更多,则企业应设法扩大目标市场。需要强调的是,在竞争性行业,企业不应把占领目标市场50%以上作为努力的目标,因为这只有在垄断性或其他特殊、偶然的情况下才可能发生。同样,当企业的目标市场已经扩大到合格有效市场的50%以上时,企业的注意力就要放到扩大合格有效市场上,让更多的有效市场成为合格有效市场,也就是让更多的顾客买得到、用得起相应的产品;当合格有效市场占据有效市场的绝大部分时,企业应努力扩大有效市场,让顾客将潜在需求转变为现实需求。

2.营销努力

在环境变量相对稳定的条件下,随着行业内所有营销者的营销努力,顾客购买状态在逐步推进,不同层次的市场需求量也随之发生变化,市场需求量与营销努力的关系如图3-8所示。

横轴代表一定环境下,行业营销努力水平,纵轴表示由此形成的市场需求量。营销努力包括各种营销活动、人员、创意等资源及行为的付出,有学者用营销费用予以衡量。需要注意的是,行业营销努力并不是对行业内所有营销者努力(费用)的简单相加,各营销者的努力既可能因叠加而放大,也可能因相互攻击而抵消。需求量的测算是在一定的行业营销努力前提下进行的,除非营销者在行业占据绝对地位,否则单个营销者的营销努力只会对自身的市场占有率及企业需求量产生影响,不会影响市场需求量。

图3-8 市场需求量与营销努力的关系

在现实生活中,即使没有任何营销活动,市场仍会对某种产品存在需求,只不过这个需求量显然是市场最低需求量。随着行业营销努力的增强,市场需求量会呈增长态势,只不过需求量增长率在开始阶段是递增的,在上升到某一拐点之后增速开始递减。当行业营销努力达到一定水平后,市场需求量无法继续增长,则意味着市场需求量达到上限,该上限被称为市场潜量。

市场潜量和市场最低需求量之间的差距表示市场灵敏度,反映了需求量受行业营销努力影响的程度。根据不同的市场灵敏度,市场可以划分为扩张型与非扩张型两类。扩张型市场的需求规模受行业营销努力的影响较大,如奢侈品市场;非扩张型市场的需求规模几乎不受行业营销努力的影响,相对固定,如食盐市场。需要强调的是,市场的扩张性是针对整个市场而言的,并非针对特定企业。

3.3.3 市场潜量测算

市场潜量是指在特定区域、时间内,一定的营销环境与行业营销努力下市场需求量所能达到的最大值。根据限定条件,市场潜量可分为总市场潜量、区域市场潜量与企业潜量。

总市场潜量测算是对整个市场潜力与发展空间的宏观评估,但受限于组织资源及营销效率的考虑,营销者需要在总市场潜量测算的基础上进一步细化到区域市场及企业层面,以此选择最佳营销区域,更好地进行营销资源的分配与控制。

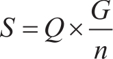
1.总市场潜量测算

总市场潜量测算是在限定市场层次的基础上对所能达到的最大市场需求量的测算,具体测算公式如下:

S = Q × p

式中 S ——总市场潜量;

Q ——购买者数量;

p ——人(单位)均购买数量(年/季度/月)。

购买者数量 Q 实际上是对具体市场层次下顾客数量的测算。通常,成熟产品或组织市场的购买者数量相对稳定、容易测算,但大多数消费者市场的购买者数量是难以准确测算的,需要针对不同的产品属性,采用不同的测算方法。

低值耐用品总市场潜量测算 低值耐用品是指那些单位价值较低、技术相对成熟但使用年限较长的日常用品,如保温瓶、锅、灯具等。低值耐用品的(年)总市场潜量可用以下公式测算:

式中 Q ——地区总人(户)数;

G ——人(户)年均需求量;

n ——平均使用年限。

高值耐用品总市场潜量测算 高值耐用品是指那些单位价值较高、存在技术更新、使用年限较长的生活用品,如家用电器、轿车等。高值耐用品的(年)总市场潜量可用以下公式测算:

S = G ×( a 1 - a 2 i 1 + P × i 2

式中 a 1 ——饱和普及率;

a 2 ——当前普及率;

G ——户数;

P ——目前拥有总量;

i 1 ——预测的购买系数;

i 2 ——更新系数。

日常消耗品总市场潜量测算 日常消耗品是指食用油、盐、饮料等一次性快消品。日常消耗品的总市场潜量测算常按照产品类别大小,以产品类别在上一级类别中的消费占比进行连比相乘,最终获得产品总市场潜量。如某种新型淡啤酒的市场潜量可由以下公式计算获得:

新型淡啤酒的需求潜量=啤酒支出中用于购买新型淡啤酒的平均百分比×含酒精饮料支出中用于购买啤酒的平均百分比×饮料支出中用于购买含酒精饮料的平均百分比×食品支出中用于购买饮料的平均百分比×可自由支配收入中用于购买食品的平均百分比×人均可自由支配的个人收入×测算范围的总人口数

上式中除了“啤酒支出中用于购买新型淡啤酒的平均百分比”需要预测外,其他参数都可以从该范围内的统计数据中获取。

2.区域市场潜量测算

区域市场潜量测算是在限定具体区域的基础上对所能达到的最大需求量的测算,通常对组织市场的测算采用市场累加法,针对消费者市场的测算多采用购买力指数法。需要强调的是,若区域市场是全新市场,没有历史数据也无类似产品相关数据参照,上述方法所测算的市场潜量准确度会大打折扣。

市场累加法就是针对具体产品先确认该区域市场上的所有潜在购买者,测算每个购买者的购买潜量,通过累加合计得出区域市场潜量。

购买力指数法就是借助与区域购买力相关的各种统计数据进行市场潜量测算,具体公式如下:

Q i = Q ×( aY i + bR i + cP i

式中 Q i —— i 区域的市场潜量;

Q ——产品的市场潜量;

Y i —— i 区域个人可支配收入占全国的百分比;

R i —— i 区域零售额占全国零售总额的百分比;

P i —— i 区域人口占全国人口的百分比;

a b c —— Y i R i P i 分别对应的权重。

营销者凭借自身经验或根据专家意见确定 a b c ,考虑到区域差异,在实际操作中,营销者需要通过附加的修正系数对测算结果进行修正。

3.企业潜量及市场份额

企业潜量是相对于竞争者的营销努力,企业的营销努力是其产品销售量(额)所能达到的极限,也是市场对企业产品需求量的最大值。

市场对某具体企业产品的需求量可用以下公式测算:

Q i = S i Q

式中 Q i ——市场对企业产品 i 的当前需求量;

S i ——企业产品 i 的市场份额;

Q ——市场总需求量。

市场对某企业具体产品的需求量测算也可以视为对某具体企业产品销售额的估算,那么在该角度下, Q i 为估算的具体企业产品 i 的销售量, Q 为行业产品的总销售量。

市场份额亦称市场占有率,是企业某一具体产品的销售量(或销售额)在市场同类产品中的占比。通常,在竞争性市场中,企业营销努力在行业营销努力中的占比越大,其市场份额也就越高。因此,如果将每一家企业的营销努力分解为若干主要因素,并分别考察每一个营销要素的有效性和弹性,则市场份额的测算公式如下:

式中 S it —— i 企业在 t 年预计的市场份额;

R it —— i 企业在 t 年的产品质量等级;

P it —— i 企业在 t 年的产品价格;

A it —— i 企业在 t 年的广告和促销费用;

D it —— i 企业在 t 年的渠道与推销人员费用;

a it —— i 企业在 t 年的广告效果指数;

d it —— i 企业在 t 年的分销效果指数;

e Ri e Pi e Ai e Di —— i 企业在 t 年的质量、价格、广告和分销弹性。

该公式反映了影响企业市场份额的4个主要因素:营销费用、营销组合、营销效果与营销弹性。市场份额反映了企业的市场地位,企业的市场份额越高,市场对企业产品的需求量越高,企业竞争力也越强。当企业的市场份额是100%,即企业独占某市场时,总市场潜量就是该企业潜量,显然,这是一种极端状况。

本章小结

1.导致个体需求产生的内外部刺激包括自然驱动、功能驱动、自身经验总结、人际交往和营销刺激等5个方面,其引发的需求强度及稳定性是依次减弱的,这也说明需求是变化的、具有社会性的,是可以通过“学习”产生的,是可以创造并传递的。

2.按照起源,需求可以分为自然需求与社会需求;按照发展层次,可以分为生理需求、安全需求、社交需求、尊重需求与自我实现需求;按照需求量,可以分为饱和需求、过度需求、衰退需求、波动需求;按照显现状态,可以分为现实需求与潜在需求;按照利益指向,可以分为实用性需求与享乐性需求;按照结构,可以分为基本型需求、期望型需求与兴奋型需求;按照表述,可以分为显性需求与隐性需求。

3.从结构上来看,顾客对产品的需求可划分为基本型、期望型与兴奋型3个层级。基本型需求是指顾客认为产品“必须有”的属性或功能,是对产品最基本、最低限度的要求;期望型需求与顾客满意度成正向关系,是顾客“期望有”的内容及属性;兴奋型需求是很少被顾客意识到或意想到的需求,当产品提供了这些需求,顾客就会产生强烈的惊喜感,满意度增加。

4.需求扩散是指一种需求在某些群体中的某些人中首先产生,然后再在群体内、群体间及时空范围内传递、接受的过程。需求扩散包括信息流与影响流两个环节,存在群体内扩散、群体间扩散、空间扩散、时间扩散等形式,意见领袖及其影响力的存在促进了需求扩散的速度与范围。

5.需求识别就是对顾客需求进行清晰、可衡量的描述,通常包括状态识别与因素识别两个环节,状态识别基于当下,因素识别则更多着眼于未来。

6.需求状态识别就是营销者理解和描述顾客需求,挖掘并洞悉顾客真实需求的过程,包括表述识别与行为识别两个层面。顾客的表述呈现其需求“是什么”,顾客的行为反映了需求是“怎么实现”的,顾客表述出的需求并不一定是真实需求,需要借助顾客行为来验证。

7.顾客需求及行为不是在真空中形成的,环境、场景、角色等外在因素都会对顾客需求状态产生影响,对这些因素及其影响程度的甄别、判断与描述就是影响因素识别。环境因素包括宏观与微观两部分,场景因素与时间、空间、氛围、连接相关,角色因素是指参与者类型及其身份信息。

8.需求识别可借助调查(如深度访谈法)、观察(如设计观察法)、实验(如控制实验法)、行为数据(如数据挖掘法)等方法展开。

9.需求预测是运用科学方法及手段对顾客需求未来发展的预计与推测,包括对需求发展走向、规律的定性与定量两类预测方法。定性预测方法有购买者意向调查法、销售人员意见综合法、经理人员评判法、专家意见综合法等,定量预测方法主要有时间序列预测法与相关分析预测法。

10.对市场需求的量化测算是评估营销机会的必要步骤。需求量是指在特定的地理区域、特定的时间、特定的营销环境和营销努力下,某一顾客群体所购买的产品总量。其中,营销努力是指各种营销活动、人员、创意等资源及行为的付出。

11.根据顾客购买状态,市场可以划分为潜在市场、有效市场、合格有效市场、目标市场、渗透市场5个层次。营销者在进行需求量测算时,必须明确测算的是哪个层次的市场。

12.市场潜量是指在特定区域、时间内,一定的营销环境与行业营销努力下市场需求量所能达到的最大值,依据限定条件,市场潜量可分为总市场潜量、区域潜量与企业潜量。市场潜量和市场最低需求量之间的差距表示市场灵敏度,根据市场灵敏度的不同,市场可以划分为扩张型与非扩张型两类。

关键术语

自然驱动 功能驱动 自然需求 社会需求 实用性需求 享乐性需求

现实需求 潜在需求 基本型需求 期望型需求 兴奋型需求 显性需求

隐性需求 需求扩散 意见领袖 需求识别 场景识别 潜在市场 有效市场

合格有效市场 目标市场 渗透市场 市场潜量 企业潜量 市场份额

简答题

1.简述需求产生的基本过程。

2.以自身的某个需求为例,从显现状态、利益指向及表述角度进行描述。

3.描述需求扩散的过程及形式。

4.为什么需求状态识别中要包括表述识别与行为识别两方面内容?

5.营销者在需求识别中需要识别哪些影响因素?

6.列举两种需求识别方法,简要描述其优缺点。

7.需求量测算时需要确定哪些限定条件?

8.不同市场层次间存在怎样的关系?

思考题

1.哪些内外部刺激导致个体产生需求,所产生的需求有何不同?

2.尝试提出一种新的需求分类并说明其应用价值。

3.为什么说意见领袖的存在促进了需求扩散的速度与范围?

4.针对生活中某个场景,试着通过创新场景要素来创造需求。

5.选取身边某一产品,测算其当年当地的需求量。

实践与探讨

选取熟悉的某一产品,通过深度访谈,对顾客需求进行识别,借助需求结构与需求识别理论探讨以下问题。

1.该产品的基本型功能与属性都能被顾客表述出来吗?若有些没有被表述出来,原因是什么?

2.该产品的期望型功能与属性是什么?企业满足了这些期望,顾客就会购买吗?

3.利用场景识别,可以挖掘出哪些兴奋型需求?若满足这些需求,对企业的资源及能力要求是什么?

互联网实践

大众点评网是全球最早建立的独立第三方消费者点评网站,至今仍是中国领先的本土生活信息及交易平台。回首20多年前,顾客餐饮、住宿消费后很少有点评、分享、推荐的需求及行为,只有在明显超出或低于消费预期后才有零星的夸赞或抱怨行为。而今,点评、分享的“打卡”行为已经常态化,点赞、转发、推荐具有社交属性。

互联网对我们生活的改变不仅在于提供了多元、高效的需求实现方式及手段,让我们的消费、使用场景更加便捷、沉浸,更在于催生了许多新的需求、业态与商业模式。打开你的点评类app,翻翻你的点评记录,回想一下,驱动你点评、分享的力量及场景是什么?你的点评表达你的真实想法了吗?什么人、什么样的点评对你影响最大? C3vrzz2rxed0L+plMl3MRiooCeQGpjPs6Sj730ZvAVgOXKOOrGX8c5Y0LPuPtWzI

点击中间区域
呼出菜单
上一章
目录
下一章
×

打开