购买
下载掌阅APP,畅读海量书库
立即打开
畅读海量书库
扫码下载掌阅APP

第一章
二十世纪数学史

1940年以来的美国数学

[美]J·H·尤因,W·H·古斯塔夫森,
P·R·哈尔莫斯,S·H·穆尔加夫卡,W·H·惠勒,
W·P·齐默程其襄 张奠宙 应制夷译校

提要: 本文精心选择并介绍了1940年以来美国在纯粹数学方面的10大成就,从一个侧面反映了美国最近30多年中数学研究的情况。30年代的美国,还处于大量派遣留学生到西欧各国学习数学的阶段,某些基础理论研究并不强。二次大战后,美国在纯粹数学方面迅速地赶了上来,作出了自己的贡献。本文结合10大成就产生的经过,叙述了新概念的运用,新方法的引入,新事例的发现,新事物的揭示,描绘了现代数学发展的某些重要倾向,对数学基础理论研究有一定的参考价值。

文章中所列举的10大成就说明:数学上著名难题的突破特别受到人们的重视。1900年希尔伯特提出的23个问题,至今还是数学工作者注意的焦点之一。10大成就中就包括了希尔伯特的1、5、10三个问题的解决。另外象韦伊猜想、庞加莱猜想,也都是世界著名的难题。这类问题的解决往往标志着一个国家数学理论研究的水平。数学理论固然会不断地受到外界影响而产生一系列边缘科学,但也由于内部逻辑的需要而发展。世界著名数学难题正反映了数学学科本身存在的矛盾。解决这些难题必须引入新概念、新方法,从而也就直接间接地给其他数学分支提供了工具,推动了整个数学的前进。例如,代数几何原是一个很老的数学分支,但在10大成就中却占有不小的比重,近年来颇为引人注意。数学基础理论的提出和解决,对于人类认识世界和改造世界是不可缺少的。

本文原载《美国数学月刊》第83卷第7期(1976年8~9月号)。为了便于非专业工作的读者阅读,每一项成就前面由译者加了简要的说明。

序言

怎样才能最好地介绍1940年以来美国数学的这段历史?这篇报告的主要内容应当介绍《数学评论》统计数字的增长,还是数学家们的活动?是介绍书籍和论文的目录,还是追溯从Königsberg桥问题导致拓扑学然后再引出同调代数及其所产生的影响和涵义?我们决定不这样做,而是尽可能地多讲一点数学,多讲一点今天充满活力的数学。为了在有限的时间和篇幅内做到这一点,我们以历史上“胜者为王”的传统方式选择主题。我们力图描述1940年以来美国数学的一些重大成就,并提出得胜者的名字,我们还希望以充分而简略的说明指出他们主攻的对象是什么。陈述通常只限于命题,略去全部证明,但有时也简要说明一下证明的思路。说明可能只是一句话或者二三段文字;目的主要是为了启发,而不是为了说服。

数学的进步意味着新概念、新事例、新方法或新事实的发现。施瓦尔茨广义函数概念、米尔诺怪球的例子、科恩的强迫法以及费特汤普森关于单纯群的定理,不论用什么标准衡量都肯定是重大的。将这些成就包括在我们所列举的项目中是毫无问题的。困难在于应当排除什么。我们拟定了几条粗略的规则(如只限于定理,不考虑理论)。应用数学的某些方面已有介绍,所以我们把注意力限定在纯粹数学方面。我们也排除了在美国既没有扎根,更没有分支、没有开花的工作。在决定两个候选者之中保留哪一个时,我们倾向于保留人们较普遍关心的那一个(所谓“普遍关心的”与“著名的”不完全一样,但又是接近的)。

我们最后选定了十项重大的成就。我们认为10大成就对这一历史阶段曾发生的事情描绘了一幅清晰的图画。这并不是说我们选定的10个比任何别的成就更重大,也不是说它们必须是数学意义上的极大(即不小于任何别的成就),我们只是说:在任何一部关于我们时代和我们国家的负责的历史中,它们都会出现,都会受到尊重的讨论。这一类“不可省略的”成就,总数当然不止10个,可能是20个甚至40个。我们对10大成就的选择受到能力的局限和个人偏好的影响;这是没有办法的。别的人很可能会选另一组不同的10个。然而,我们希望并且相信,每个人所拟的项目会与我们的10个会有一大部分重复,而部分不同也不至于从根本上改变整个画面。

在历史上,每一时刻都影响着以后,因而常常有必要把注意力限于一段时期。但这是很不自然的。同样,每一地区都影响着其他地区。我们地球表面的拓扑要比时间直线的拓扑复杂得多,要把注意力限于一个国家几乎是不可能的。数学的历史也不例外:要描述这里发生了什么,我们常常由于受到远处影响的压力而讨论那里发生了什么。尽管如此,我们还是能够相当接近我们原定的任务;若用一个数来表示,下面所描述的10项成就中,大概有8.25项可以称得上是美国的。

介绍的次序,我们决定按照它们所属范畴的复杂程度来安排,换言之,非常粗略地说,是以与数学基础的距离为次序来安排。

一 连续统假设

这是数学基础理论的一个著名命题,涉及对“无限”的比较。有限实数可比较大小,如2<3。但“无限”之间能不能比较?答案是也可以,办法是一一对应。自然数全体1,2,3,… n ,…和正偶数全体2,4,6,…2 n ,…是一一对应的(令 n 对应2 n )。但可以证明,全体实数和自然数不一一对应。通俗地说就是:实数比自然数多。数学上称全体实数构成的集具有连续统的势,而自然数集合具有“可数”的势,连续统的势大于可数的势。康托尔猜测,在“可数”和“连续统”之间没有别的势,这就是著名的连续统假设。希尔伯特把它列为著名的23个问题中的第1个。这个问题在本世纪有两次重大突破:1940年侨居美国的奥地利人哥德尔证明这假设和其他公理不矛盾,1964年,科恩又证明该假设不能由别的公理推出,即这个假设本身也是一条公理。

一切数学都是从集合论推导出来的(无论如何我们之中许多人都相信是这样),而集合的运算是一个简单的自然操作(至少,学生们对把握这种运算没有什么困难)。任何一位从事研究的数学家所需要知道有关集合的一切东西(还包括他没有想到他需要知道的少数几件额外的事情),能够被概括在1页纸上(如果还要形式地加以推导,那也只要3、4页就够了)。这样的一页就能表达出如何从给定的集合构成新集合的基本方式(例如,由特定元素组成的集,并集的构成,以及一个集的幂集,即该集的一切子集所构成的集合);描述集合的基本性质(例如,两集合相等当且仅当一个是另一个的子集,以及没有这样的集,它的元素本身是一些集,这些集具有元素,元素本身又是集等等直到无穷);并且断言,无限集的存在(不论是作为一个假设或者作为一个结论提出,都是作为集合所在宇宙的一种描述)。这些基本的集论命题可以当作明显的确实的观察结果,也可作为ZF(Zermelo-Fraenkel)结构的一种公理性描述。在随便哪一种情况下,把它们编进一台合适的(不是非常复杂的)计算机的语言中那是简单的事。这种计算机能够容易地学会数学家曾使用过的一切推理规则。此外,若在它的基本资料中再增加两个命题,那末,在原则上,它就能够容易地打印出全部已知的数学(以及许多尚未知道的数学)。

这两个在历史上曾受到特殊审查的命题是AC(选择公理)和GCH(一般连续统假设)。AC:对每一集合 X ,有一个从 X 的幂集到 X 本身的函数 f ,使得 f A )∈ A 对每一个 X 的非空子集 A 成立;GCH:一个无限集 X 的幂集的每一个子集或是一一对应于 X 的某个子集或是一一对应于整个幂集——没有居于两者之间的情况。

AC是真的吗?这个问题常常被比拟成类似于欧几里得几何中的平行公理。在这两者中间,都各有一套或多或少令人满意的公理系统,又有一条不大令人满意的,比较复杂的,不甚显然的附加公理。若这条附加公理是那些基本公理的推论,则这条公理是真的,一切都很好;若这条公理的否定是那些基本公理的推论,这条公理则是假的,无论是真是假,这个问题就有了确定的答案。当然,关于GCH也可提出同样的问题。早已知道,GCH可导出AC;由于这一点,两个问题的答案之间有着明显的联系。

这两个答案是微妙的和深奥的智力结果。1940年哥德尔证明了AC和GCH都不假(即它们与ZF公理系统无矛盾)而保尔·科恩证明(1964)它们都不真(即它们独立于ZF公理系统)。

哥德尔以建造一个适当的模型来论证。他说:若ZF是无矛盾的,则存在一个满足ZF基本公理的集合所组成的宇宙 V ,他证明:那么也就存在一个满足这些基本公理的“子宇宙”,而在其中AC和GCH都是真的。哥德尔所构造的子宇宙是“可构造”集所组成的类 L (“可构造”这个词被赋予非常广泛但又十分精确的意义,粗略地说,可构造集就是那些能够从空集通过基本集论的构造的超限序列来得到的集合)。类 L V 的子结构,在这个词熟知的数学意义下: L 的对象是 V 的某些对象,它们之间的关系∈是将 V 中的集合论∈关系限制于 L 的对象上。如 L 那样的模型的存在性(由假设无矛盾的模型 V 构造出来的)证明AC与GCH的相容性正如欧几里得平面的存在性证明平行公理的相容性一样。

科恩的论证是相似的,但更难一些。它令人回想起费利克斯·克莱因给欧几里得圆以一种新的度量来构造出罗巴切夫斯基平面。科恩从一个适当的ZF模型出发,然后添加上新的对象。这个新的对象在原先模型中是“类”(而不是集)。这种添加是以一种新的称之为“强迫”的方法来进行的,这个方法一旦发现,人们就认识到在集合论的许多部门可资应用。科恩的证明是构造一个无限序列,它愈来愈好地有限逼近于新的对象。粗略地说,新模型的每一个性质是受到原先模型和一个逼近模型的性质所“强迫”。依赖于细节的调整,最后的结果能够是一个AC为假的模型,或者是一个AC为真,但即使古典未推广的连续统假设CH也为假的ZF模型(CH是对一个可列无限集的GCH)。结论:AC和CH独立于ZF。

参考文献

[1]P.J. Cohen, The independence of the continuum hypothesis, Proc.N., A.S., 50(1963)1143 1148 and 51(1964)105—110.

[2]P.J. Cohen, Set theory and the continuum hypothesis, Benjamin, New York, 1966(MR 38#999).

[3]J.B. Rosser, Simplified independence proofs, Academic Press, New York, 1969(MR 40#2536).

[4]T.J. Jech, Lectures in set theory, with particular emphasis on the method of forcing, Springer, Berlin, 1971(MR 48#105).

二 丢番图方程

从勾股定理可知,方程 x 2 + y 2 = z 2 ,有一组解 x =3, y =4, z =5。这个二次方程的系数都是整数,其解也是整数。任何以整数为系数的方程都有整数解吗?当然不是。方程 x 2 —2=0就没有整数解。希尔伯特在1900年提出的第10个问题是:是不是可以设计一种计算步骤,以判定一个整系数方程能不能得到整数解?用数理逻辑中的递归函数概念可以定出这种计算步骤,并已得到公认。但经1952年到1970年几个美国数学家证明,按这种算法不能判定整系数多项式的方程有没有整数解。

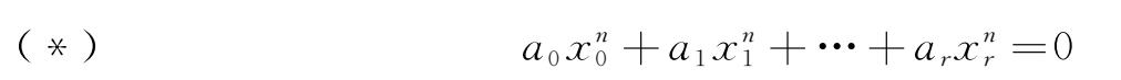
连续统假设是希尔伯特在1900年提出著名的23个问题中的第一个问题。希尔伯特的第十个问题是关于丢番图方程的可解性。这个问题是要设计一种算法、一种计算的步骤,以决定一个任意指定的整系数的多项式方程是否具有整数解。讨论正整数系数的多项式方程的正整数解(解在 Z + 中)在某些方面更为自然,有时在技巧上也较为容易。注意:这并不意味只讨论例如 p x )=0的方程。这问题包括了寻找 x 使得 p x )= q x );更一般地,它也包括了寻找 n 元数组( x 1 ,…, x n )使得 p x 1 ,…, x n )= q x 1 ,…, x n );最一般地说,它意味着寻找 n 元数组( x 1 ,…, x n ),对这个数组,存在有 m 元数组( y 1 ,…, y m )使得

在后者的意义下,对每一组 p q n + m 个变量),其解集称之为 中的一个“丢番图集”。说存在一个决定可解性的算法,究竟意味着什么呢?回答这个问题的合理途径,是提出集合和函数的可算性的意义,然后再以可计算性来定义算法。

一个从 Z + Z + 的函数,或者更一般地,一个从 Z + 的函数什么时候才称得上是“可计算的”呢?目前,关于这个定义已有普遍一致的意见:可计算的函数(也叫做“递归”函数)是由几个容易的函数(常数,后继,坐标)通过三种手续(复合,极小化,初级递归)得到的一些函数。在这里,细节是无关紧要的(至少它们不会被用到),人们可以很轻松地搞懂它,不会有什么困难。如果(在 Z + 中或者更一般地在 中)一个集合的特征函数是可计算的,则称这个集为可计算的。结果:当且仅当一个集合的余集是可计算的,则这个集合是可计算的。

现在考虑(在上述意义下)一切多项式方程,并把它们整列为( E 1 , E 2 …, E n …)。(为了使下面所讲到的与算法的直观概念相符合,整列应当在某种意义下是“有效的”。这点能够做到,而且相当容易。) E 1 有一个解(在上述意义下)的下标 K 形成 Z + 一个子集 S ,希尔伯特(是否有一种算法?)的问题可以表达如下: S 是不是一个可算集?回答是否定的,这个答案经过很长一段时间才出现;它是累积了J·罗宾逊(1952)、M·戴维斯(1953)、H·普特南(1961)和Y·马季亚谢维奇(1970)等人努力的结果。

整个证明的中心概念是丢番图集的概念,主要的一步是证明每一个可算集为丢番图集,在技巧上巧妙地使用了初等数论(例如,中国剩余定理、斐波那契数或佩尔方程的一些理论)。证明显示了某些有趣的丢番图集,它们的丢番图特性根本就不是显然的(例如2的幂阶乘和素数)。

证明 S (可解方程的下标集)是不可计算的,一种方法是用归谬法。若 S 是可计算的,则(稍为用一点附加的论证)就会得出每一个特殊的丢番图集(即每一特殊丢番图方程的解集)是可计算的,因之(由前节的“主要一步”),每一个丢番图集的余集是丢番图的集。由于显示了有一个丢番图集,它的余集不是丢番图集,这就导出了矛盾。

最后一步使用了熟知的康托尔对角线论证法。其思想是“有效地”排列 Z + 的全部丢番图子集,比如说,{ D 1 , D 2 , D 3 ,…},是丢番图集(用了某种论证),最后证明其余集 Z t D *={ n : n D n }不是丢番图集(这就是康托尔出场的地方)。

参考文献

[1]J. Robinson, Existential definability in arithmetic, Trans.A.M.S., 72(1952)437—449(MR14-4).

[2]M. Davis, Arithmetical problems and recursively enumerable predicates, J.Symb.Logic, 18(1953)33—41(MR14-1052).

[3]M. Davis, H.Putnam, and J.Robinson, The decision problem for exponential Diophantine equations, Ann.Math., 74(1961)425—436(MR24# A3061).

[4]Y. Matijasevic, The Diophantineness of enumerable sets(Russian), Dokl.Akad.Nauk S.S.S.R., 191(1970)279—282; improved English translation, Soviet Math.Doklady, 11(1970)354—358(MR41#3390).

[5]M. Davis, Hilbert's tenth problem is unsolvable, this MONTHLY,80(1973)233—269(MR47#6465).

三 单群

群是一个集合,其中定义了一种乘法。群中元素可以是数,也可以是矩阵,集合或别的什么。乘法 a · b 可以是数 a b 相乘,也可以是先进行变换 b 接着进行变换 a ,以及其他等等。这就使近代数学概念大为拓广。一个群 G 可以有子群 N ,即 G 中一部分元素{ N }按乘法也构成群。一个群如除自己和单位之外不能再有“正规”子群,叫作单群。数的乘法可以交换,如2×3=3×2,但群的乘法不一定能交换。对于可交换的单群已弄清楚了,但非交换的单群还不清楚。伯恩赛德曾猜测:每一个非交换的单群是偶数阶的,经过50多年后,两个美国数学家证明它是对的。

数学基础方面到此为止。阶梯上的第二个题目是代数,在目前的场合,是群论。

每一个群有两个显然的正规子群,即 G 本身和另一极端子群1。若一个群只具有这两个正规子群,则称它为单群。

单群在两个方面与素数相似:它们都没有真因子,而每一个有限群总能够由它们构造出来(依照一般的约定,平凡的正整数1不叫作一个素数,但平凡群1却叫作单群。这很不协调,但只能如此)。

G 为有限的,令 G 1 G 的一个极大正规子群(说 G 1 是极大就意味着 G 1 G 的一个真正规子群,且 G 1 不包含在 G 的任何别的真正规子群之中),若 G 是单一的,则 G 1 =1;无论如何, G 1 的极大性意味着商群 G / G 1 是单纯的。 G G 1 G / G 1 (群,正规子群,商群)之间的关系有时用下面的话来表示: G G / G 1 通过 G 1 的一个扩展。用这一术语,每一个有限群(除了平凡群1)是一个单群通过一个严格低阶群的扩展。它是“每一个正整数(除1而外)是一个素数与一个较小的正整数之积”这一数论命题在群论中的类比。

G 1 是非平凡的,上述议论可以继续应用;使得 G 1 是单群 G 1 / G 2 通过 G 2 的一个扩展,其中 G 2 G 1 的一个极大正规子群,这种手续能够重复进行,直到产生平凡子群为止;最终产物是一个链,一个组合列

每个 G i / G i+1 是单纯的( i =0,…, n —1)。要想了解一切有限群的大部分问题是以这种方法化成决定一切的单群。(著名的Jordan-Hölder-Schreier定理保证:在同构的意义下,组合因子 G 1 / G i+1 除了所出现的次序外,是由 G 所唯一决定的。)

可交换的有限单群是容易决定的:它们恰巧就是素数阶的循环群。困难的是要找出一切非交换的。某些单群的例子容易获得:例如,在置换群中,最著名的是5次或5次以上的交替群。已知的单群没有显示出任何模式,关于它们甚至最简单的问题也难于攻破。例如,伯恩赛德曾猜测:每一个非交换的单群具有偶数阶,但这个猜测曾作为未解决的问题经历了50多年。

费特和汤普森(1963)解决了伯恩赛德猜想(它是真的),大大显示了群论的力量。证明占据了《太平洋数学杂志》整整一期(280多页)。这是技巧性的群论和特征标理论。自从它发表以来,已有人对它作了一些简化,但尚未发现简短或容易的证明。这个结果有许多推论,这种方法也被用以进攻有限群论中的许多其他问题;曾被许多人宣布为死亡的一个课题表现出它仍然具有朝气蓬勃的生命。

参考文献

[1]W. Feit and J.G. Thompson, Solvability of groups of odd order, Pac.J.Math., 13(1963)775—1029(MR29#3538).

四 奇点分解

使二元二次多项式 x 2 + y 2 a 2 等于零的点是平面上一条曲线:圆,其方程是 x 2 + y 2 = a 2 。推广这一想法,使一个或一族多项式等于零的那些点,代数学上称之为流形。圆的每个点都有切线,但流形上每个点不一定有切线。 y 2 = x 3 定义的曲线在原点就没有切线,这种点叫奇点。在一般流形 V 上,怎样判断它有奇点?如果有奇点能否排除掉(即构造另一没有奇点的流形 W ,使 W V 结构基本相同)?这问题从19世纪开始研究,1964年得到了完善的结果:这样的 W 可以构造出来。

当代数与几何混合起来并应用到几何学上时,它就变得更丰富,更困难了;最丰富的混合物之一就是称之为代数几何这个古老而又非常有生气的题目。本节报导这方面一个古老而又著名的问题的解决。

K 为一个代数意义上的闭域,象通常一样,令 K n K n 维坐标空间(下面的问题的中心对坚持以复数域作为 K 的人是看得出的)。 K n 中的一个“仿射代数流形” V 是指一族系数在 K 中的 n 变量多项式的公共零点的轨迹。因为只与零点有关,故这个族本身并不重要,它可以由产生同一轨迹的任何别的族来代替。因此,若 R 为系数在 K 中的 n 变量的一切多项式的环,又若 I R 中由指定族所产生的理想,则 I 将定义同一个流形;因此,不失一般性,开始就可假定这个族是一个理想。

对于流形,人们所关心的对象是它的“奇点”。从直观上说,这是没有正常的“切向量”的一些点,例如,考虑由

y 2 = x 3 + x 2 y 2 = x 3

所定义的曲线。(因为基本域是限于代数封闭的,故这些方程所联系的实平面曲线并不是真正要考虑的对象,但它们比复平面上的复曲线更容易考虑一些。注意!复平面有四个实维数。对代数几何学家来说,分析学中熟悉的“复平面”是复直线。)这些曲线的第一条是以斜率2从第一象限到达原点,在左半平面中具有一个回路,然后经原点以斜率—2进入第四象限;这条曲线以原点作为一个二重点。另一条曲线以斜率0从第一象限到达原点,然后以同样方式进入第四象限,它以原点作为一个尖点。

处理奇点的有效途径从它们纯代数的描述开始。为了这一目的,我们考虑 V 上多项式函数环 R V (即 R 中多项式在 V 上的限制),若 N V 为由 V 上等于0的多项式所组成的 R 的理想,则显然有 R V = R / N V V 中的每一个点 a =( a 1 ,…, a n )引导出 R 中一个极大理想 N α (由 α 处为0的多项式集所组成);显然,

(从代数上定义奇点的计划中的)第二步是要造出一个新的环,以研究 α 附近函数的局部行为。这个想法(粗略地)就是这样:(i)考虑配对( U , f ),其中 U α 的一个邻域,又 f 是在 U 中无极点的一个有理函数。(ii)当且仅当存在一个 α 的邻域 U″ 包含于 ,使得在 U″ 上有 f = f′ 时,对于配对定义一个等价关系,写作( U , f )~( U′ f′ )。(iii)等价类(“芽”)组成一个环(例如具有 称为 α U 的“局部环”。

从代数观点来看,前面的拓扑考虑只是启发式的,它们将用一个代数结构来代替。这一过程被称为“局部化”。(i)考虑配对( f , g ),其中 f g 都在 R 中,且 。(ii)当且仅当存在一个不属于 N α h 使得 h ·( fg′ gf′ )=0时,对于配对定义一个等价关系,写作( f , g )~( f′ g′ )。(iii)将( f , g )的等价类写作 f / g 。这个等价类组成环 R α (具有分数运算的通常规则)。环 R α 确实是通常代数意义下的一个“局部环”,它有唯一的极大理想,即由 α 处等于0的 R α 的元素组成的一个理想。

为了启发下一步,我们再次认为论题不是代数几何,而是解析几何。在这种情况, R α 就由在 α 近旁为收敛的 α 处的泰勒级数所组成,又 α 处等于0的芽所组成的理想 N α 就是常数项为0的 α 处的泰勒级数所组成。在某种意义下,泰勒级数的线性项是一阶微分。抓住这些项的一种方法就是要“忽略掉”高价项。更精确地说,考虑理想 ,在解析的情况,它是由常数项和线性项都为0的泰勒级数所组成,然后构成

现在就容易写出定义了。 V 的维数 d 是指一切商空间 的维数(当然是在域 K 上的)的极小值。如果 ,就是说点 α 是“奇点”。不难看出,对于上面例子中提到的二条曲线,原点确是这个定义意义下的一个奇点。

代数几何的主要问题之一是去除掉奇点。为了这一目的,将讨论限于“不可约的”流形,即 R V 为整域的流形,换句话说,也就是 N V 为一个素理想。这种情形,构造 R V 的分数域 F V 。若 F V F W 同构,则二个流形 V W 为“双有理等价”。粗略地说,这意味着: V W 除有限个位置外能用有理映射来互相参数化。奇点分解问题就是要寻找一个非奇性流形,它双有理等价于 V

这个题目已有一段很长的历史了。M·诺特在十九世纪曾处理过曲线。曲面则曾是意大利学派许多几何讨论的课题;严格的证明曾为R·J·沃尔克(1935)所发现。对于特征为0的域上的任意维数的流形,扎里斯基的工作促进了最后的胜利,它为广中平祐所赢得。

参考文献

[1]H. Hironaka, Resolution of singularities of an algebraic variety over a field of characteristic zero, Ann.Math., 79(1964)109—326(MR 33#7333).

五 韦伊猜想

在解方程之中,给定 a , b , c 三实数,则 ax 2 + bx + c =0有两个根(实根或复根)。这里 a , b , c 和根取值范围是全体实数或复数,其数目是无限多的。假若我们限制方程的系数和根的值只能在有限个数中选取。那么这种方程有没有解?这就是有限域上多变量多项式解的问题。1949年韦伊证明这种方程解的个数满足某些条件,并且猜想这些条件对于解方程组也是必需的。1974年德利涅证实了这一猜想。

当一个数学家通过类比猜测到这个情况应当与那个情况完全一样时,他的工作常常是很困难的(也是很值得的)。1949年,韦伊以这种方式来推理,提出了三个猜想,从而深深影响了过去25年来代数几何的发展。

这些猜想发表在题为《有限域中方程解的数目》的一篇论文上,这篇文章表面上是以前工作的一篇概述。计算有限域上多变量多项式方程的解的数目是一个古典的问题,曾为高斯,雅可比,勒让德尔等人研究过,但韦伊采取了一个新的观点。为了了解他的研究途径,考虑一下齐次方程的特殊情况:

其中系数 a 1 是在 p 个元素的素域 F 中。基本问题是要计算 F 中解的数目,但对数学家来说,计算在 F 的任一个有限扩张域中解的数目是一样重要的。回忆一下,对每一个正整数 k ,存在 F 的具有 p k 个元素的唯一扩张域 F k 。韦伊所做的就是计算在每一个域 F k 中解的数目,然后把这一信息编入生成函数。

为了简约地做到这一点,考察一个方程(例如*)的解集。当然,平凡解总是有的,即 x i 全都为0。若( x 0 , x 1 ,…, x r )是一个非平凡解,且若( ,则( cx 0 , cx 1 ,…, cx r )也是一个非平凡解。这样,每一个非平凡解产生 p k —1个另外的非平凡解,将它们分开来计算是没有价值的。因此,自然要考虑 r 维“射影空间” P r F k ),即 F k 的元素所组成的 r +1元的非平凡有序组,两个有序组是相等的,如果其中之一是另一个乘上一个标量(这完全类似于熟知的实和复射影空间)。用这些术语,问题就是要计算 P r F k )中是(*)的“解”的“点”的数目。

那就是韦伊所做的事情。他令 N k 为(*)在 P r F k )中的解的数目,考虑生成函数 G ,并证明了一个值得注目的命题: G 是一个有理函数的对数导数。即,存在一个有理函数 Z ,使得

Z 是有理的。函数 Z 满足一个类似于黎曼 ζ 函数所满足的函数方程,因之将 Z 看作与方程(*)相联系的 ζ 函数是适当的。由黎曼 ζ 函数所引起的经典问题的启发,韦伊研究并确定了 Z 的零点和极点的若干性质。

这就是韦伊文章所达到的最高点。韦伊想把关于(*)的结果推广到 P r F r )中的代数流形,即推广到 r 变量齐次方程组的解集。最初由黎曼所定义的 ζ 函数的概念,曾由戴德金推广到代数域上,曾由阿廷推广到函数域上,现在韦伊把它推广到代数流形上。(所考虑的流形应当是非奇异的,那个条件的一般定义在这里是无关紧要的;对绝大多数域来说,通常能够以方程组的雅可比式在每一点具有极大秩的要求来定义。)给定系数在 F 中的一组方程,象前面一样,令 N k P r F k )中解的数目,韦伊提出了下面的猜测。

1.象前面一样,由

所定义的函数 Z 是有理的。

2. Z 满足一个特殊的函数方程,如前面一样,它非常相似于黎曼 ζ 函数所满足的函数方程。

3. Z 的零点和极点的逆是代数整数,且它们的绝对值是 的幂(这叫作广义的黎曼假设)。

所有这一切似乎远远离开了通常所考虑的几何学,而且尽管有一些例子已为大家所知。似乎韦伊所作的猜测没有什么依据。猜测的背景究竟是什么?答案包含在韦伊论文的最后一节中,那里他提示说:在这些流形(对特征为 p 的域)的性质与古典流形(对复数域来说)的质之间是有类似性的。

1960年,德沃尔克建立了有理性猜测(没有假定非奇性条件)。最后的胜利是1974年来到的:使用格洛腾迪克学派20年来的结果,德利涅证实了韦伊的全部猜测,或许更重要的,他还证明了特征 p 的域上的流形理论与古典代数几何之间有着美妙的联系。柏拉图说:“上帝是几何学的化身”。雅可比说:“上帝是算术的化身。”而韦伊猜想则表明:好得很,上帝竟能够同时兼为两者。

参考文献

[1]A. Weil, Numbers of solutions of equations in finite fields, Bull.A.M.S., 55(1949)497—508(MR 10-592).

[2]P. Deligne, La conjecture de Weil I, Inst.Haute Etudes Sci.Publ.Math., No.43(1974)273—307(MR 49#5013).

[3]J.A. Dieudonne, The Weil conjectures, The Mathematical Intellingencer, No.10(September 1975)7—21.

六 李群

一个集合可以有两种结构:一是代数结构,如加减乘除等;一是拓扑结构,即每一元素附近存在一套邻域系统,可用来研究无限接近等问题。如果一个集合,它对乘法构成群,又有一邻域系统使这一乘法是连续运算(即 x 很靠近 a , y 很靠近 b ,则 x · y 很靠近 a · b ),这种群称为拓扑群。如果这个乘法运算不仅是连续的,而且是解析的(满足无限多次可微分等条件),则叫做李群。一个拓扑群什么时候是李群?希尔伯特提出的第5个问题说:如果一个群,它的每个元素附近都和通常欧几里得平面上的小圆有同样结构,则一定是李群。1952年几个美国数学家证明这是对的。

带几何或不带几何的代数到此为止。下一个题目指向代数与拓扑混合起来的后期解析方面的问题。象其他的极少数卓越的数学结果一样,这个结果似乎不花代价就得到了什么,至少是用很低的代价得到了许多东西。这类结果中最著名之一出现在复函数论教程的开始部分;一个在复平面的开子集上可微的函数必然是解析的。

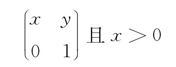
希尔伯特的第5个问题就是要求这类不花代价就得到的结果。背景是拓扑群的理论。一个拓扑群是一个点集,它既是一个豪斯多夫空间,又是一个群,而群的运算:

应该是连续的。一个典型的例子的所有型为

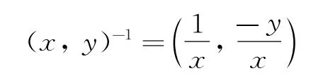
的2×2实矩阵所成的集合;其拓扑结构就是右半平面(一切具有 x >0的( x , y ))的拓扑结构,乘法结构就是通常的矩阵乘法,等价地,以

来定义右半平面的乘法;因为

所以乘法和逆运算显然都是连续的。

这个例子有一个重要的特性,即在每一点都有一个邻域同胚于(2维)欧几里得空间中一个开球,从这个意义上说是“局部欧几里得的”。(等价地:每一点有一个“局部坐标系统”。)这个例子的一个更重要的特性是:看做适当的欧氏空间上的函数的群运算,它不仅是连续的,而且甚至是解析的。若一个群是局部欧氏的,即如果群能够被坐标化,则完成的途径有许多条;倘若它们之中至少有一条能使群运算是解析的,则这个群就称为“李群”,希尔伯特第五个问题是:是否每一个局部欧氏群都是李群?

这个问题与复函数论中的一个问题十分相似。二阶可微函数是解析的,这是相当基本的;早已知道,若一个拓扑群具有充分地可微的坐标,则它一定具有解析的坐标。

在哈尔测度发现之后不久,冯·诺依曼(1933)就用它来证明希尔伯特问题的答案对紧群是肯定的。不久之后,庞特里亚金(1939)解决了交换群的情况,谢瓦莱(1941)解决了可解群情况(很遗憾,这里“可解”是一个术语,而且不可避免地要使用它)。

一般情形是在1952年由格利森,蒙哥马利和齐平联合解决的,希尔伯特问题的答案是肯定的。格利森所做的工作是把李群特征描绘出来(定义:若一个拓扑群的恒等元具有一个不包含大于1阶子群的邻域,这个拓扑群称为不具有小的子群。特征:一个不具有小的子群的有限维局部紧群是一个李群),蒙哥马利和齐平利用几何拓扑工具(以及格利森定理)达到所要的结论。

注意:上述论题不能被认为已经终结。这个问题无论在理论上还是在实际上都能够得到有价值的推广。群能够代之以“局部群”,又抽象群能代之以作用在流形上的变换群。最好的一类胜利是指出向何处去寻求新的有待征服的领域,对于希尔伯特第五个问题的胜利正属于这一类。

参考文献

[1]A. Gleason, Groups without small subgroups, Ann.Math., 56(1952)193—212(MR 14-135).

[2]D. Montgomery and L.Zippin, Small subgroups of finite-dimensional groups, Ann.Math., 56(1952)213-(MR 14-135).

[3]D. Montgomery and L.Zippin, Topological transformation groups, Interscience, New York, 1955(MR 17-383).

七 庞加莱猜想

拓扑学是研究图形结构的。在平面上,一个圆和一个正方形可看成同样结构,因为它们内部都连成一片(连通性),且图形各点彼此联系很紧密(紧致性)。平面中的圆和圆环、空间中的球和环(形如车胎)虽然都有连通性和紧致性,但它们的结构显然不同。拓扑学上把平面上的圆叫单连通,圆环叫二连通,空间的球叫单连通,环叫三连通。那么高维空间的情形怎样?庞加莱猜想在 n 维空间中的一个点集若是 n —1连通的紧致流形,则必定是 n 维球。1960年斯梅尔证明当 n ≥5是对的,至于 n =3, n =4的情形,至今尚未证明。

“流形”是一种局部欧氏的拓扑空间(精确地说,是可分的豪斯道夫空间)。许多年来,流形曾经是——而且现在仍旧是——拓扑学的中心论题。希尔伯特的第五个问题是关于流形的;庞加莱猜想是关于光滑流形的连通性质。“微分流形”是赋与局部坐标系的一种流形,而且从一个坐标邻域到另一个有重迭的坐标邻域的坐标变换是光滑的。这里,“光滑”一般被理解为 C 的简写,即表示无限的可微。

欧几里得平面几何的公理指出了平面的特征。这类工作(找出一个论题的中心,把它抽象出来,并将其结果用作特征化的公理)在数学中是经常的和有用的。因为一大部分拓扑学的主要概念是球,因而很自然地要将球也纳入公理处理方法之中。有人曾做过尝试,而且大体上是成功的。

例如:1球(即圆)是一个紧致、连通的1流形(即维数为1的流形),这样就足够了,因为在同胚的意义下,每一个紧致、连通的流形是一个1球。

对2球来说,事情比较复杂:2球 S 2 与环 T 2 (= S 1 × S 1 )都是紧致连通的2流形,但它们并不互相同胚。为了区别 S 2 T 2 ,或更一般地,为了区别 S 2 和带环柄的球,就必需注意到:虽然 S 2 T 2 两者是连通的,但 S 2 更为连通。用恰当的术语来说,就是: S 2 是“单连通”的,而 T 2 则否。确切的定义可叙述如下。设 X Y 都是拓扑空间,又设 f g 是从 X Y 的两个连续函数: I 为单位区间[0,1]。若存在一个从 X × I Y 的连续函数 h ,对于一切 x , h x ,0)= f x ), h x ,1)= g x ),则函数 f g 是“同伦的”(直观地说, f 能够连续地变形到 g ),若 S 1到Y的每一个连续函数都同伦于一个常数,则空间 Y 是单连通的(直观地说,每一闭曲线能够收缩到一点)。一旦有了这个概念,2维球的特征就容易叙述了;在同胚态意义下,每一个紧致单连通的2流形是一个2球。

1维与2维的讨论尚不能对猜测一般情况提供坚实的基础,但至少使得下面的概念似乎是可取的。存在着定义 k 连通的一种途径,它拓广了“连通”( k =0)和“单连通”( k =1):即以 S j , j =0,1,…, k ,来代替单连通性定义中的 S 1 ,因之,若对0≤ j k 之间的每一个 j ,从 S j Y 的每一个连续函数都同伦于一个常数,则空间 Y k -连通的。

一般的庞加莱猜想是:一个光滑紧致( n —1)连通的 n -流形同胚于 S n 。对 n =1和 n =2,这结果是早已知道了的,对一切 n ≥5,结论成立的证明是新近的一大进步。这个证明是斯梅尔(1960)所获得的,以后不久,在听到斯梅尔的成功之后,斯托林对 n ≥7给出了另一个证明(1960),齐曼将它推广到 n =5和 n =6(1961)。对 n =3(庞加莱原来的猜测)与 n =4,还是未知的。

实际上,斯梅尔证明了一个更强的结果。他指出:某些流形能够由粘合圆盘而得到。他的结果为单连通流形的分类提供了一个出发点。

参考文献

[1]S. Smale, The generalized Poincare conjecture in higher dimensions, Bull.A.M.S., 66(1960)373—375(MR 23# A2220).

[2]J.R. Stallings, Polyhedral homotopy-spheres, Bull.A.M.S., 66(1960)485—488(MR 23#A2214).

[3]E.C. Zeeman, The generalized Poincare conjecture, Bull.A.M.S., 67(1961)270(MR 23#A2215).

[4]S. Smale, Generalized Poincare's conjecture in dimensions greater than four, Ann.Math., 74(1961)391—406(MR 25#580).

八 怪球

在拓扑学中,如果一个图形可一一对应地双方连续地变到另一图形,则称两图形同胚。例如平面上一个圆(用橡皮圈表示)慢慢绷成一个正方形,手一松又可变回到圆形,则我们说圆和正方形是同胚的。这种图形之间的变换可用连续函数来描述。如果进一步假定,描述图形变换的函数与逆函数不仅连续而且可以微分,则称微分同胚。同胚和微分同胚究竟有没有本质差别?1956年米尔诺提出两者有根本差别:在八维空间中存在一个流形和八维空间中单位球的边界 S 7 同胚,但和 S 7 不微分同胚。这就是所谓“怪球”。这个证明曾有力地推动微分拓扑的发展。

二个微分流形之间的“微分同胚”是映照和逆照都光滑的一种同胚。同胚是流形之间的一种等价关系;等价类(同胚类)由具有同样拓扑性质的流形所组成。类似地,微分同胚是微分流形之间的一种等价关系,而等价类(微分同胚类)包含了具有同样微分性质的流形。这两个概念真的不同吗?微分同胚真的比同胚要求更严格吗?答案是肯定的,即使对拓扑性质很好的流性来说也是如此,不过很不显然就是了。米尔诺在1956年所构造的例子是令人震惊的,用哈斯勒·惠特尼的话来说,那一孤立的例子招致现代微分拓扑的旺盛发展。

米尔诺的例子是7-球。对于任何整数 n ,将 n -球 S n 自然的方式安装在( n +1)维欧氏空间中,这样一来, S n 当然具有一个自然的微分结构。米尔诺指出:存在一个微分流形,它同胚于但并不微分同胚于 S 7 ;这种流形后来就叫做7怪球。

为了证明这个断言,有三个问题需要解决:(1)找出一个候选者,(2)证明它同胚于 S 7 ,(3)证明它不微分同胚于 S 7 。第一个问题是容易的(事后来看);候补者是拓扑学家几年之前就熟悉的一个空间(4-球上的一个3-球束)。米尔诺用莫尔斯理论解决了第二个问题。微分流形上的莫尔斯函数是一个只具有非退化拐点的实值光滑函数。 n -球具有一个不多不少带二个拐点的莫尔斯函数(投影在最后一个坐标上,并考虑两个极)。G·里比的一个定理适用于另一方面;若一个微分流形具有一个刚刚带二个拐点的莫尔斯函数,则它就同胚于一个球。米尔诺证明他的候补者具有这样的一个莫尔斯函数。第三个问题最难。米尔诺利用了二个事实;第一, S 7 R s 中单位球的边界;第二,他的候补者是一个8维流形 W 的边界。若该候补者微分同胚于 S 7 ,则利用微分同胚,我们就能将单位球粘合在 W 上,并得到一个不能存在的(如米尔诺所证明的)8维流形。

一旦知道了7怪球的存在,当然要问它们有多少个,即有多少个微分流形类。米尔诺与克维尔证明有28个类。其他的球怎么样呢?米尔诺与克维尔又证明:微分 n -球以微分同胚为模进行分类能够做成一个有限交换群,它以“自然”球作为零元素;群运算是“连通和”,就是将流形粘合在一起。对 n <7,这个群是平凡的;对于 n =7,群的阶是28。 n =8时,阶数为2, n =9时,阶数为8, n =10时,阶数为6, n =11时,阶数为992。对于 n =31,就有超过一千六百万个怪球(的微分同胚类)。

构造怪球有两种系统的方法。第一组是米尔诺的“装水管”构造法(以管道将洞连接起来),这是以切割和粘合装配起来的流形边界作为怪球提出来。另一个方法(归功于布里斯科恩,范姆等人)给出了事先装配的例子。对正整数所组成的每一有限序列( a 1 ,…, a n ),令∑( a 1 ,…, a n )为多项式 正复 n 维空间的单位球上的零点所成的集。米尔诺给出了保证这个流形同胚于适当维数(顺便提一下,它是2 n —3)的球的 n 元数组的精确判定。例如,当 k 从1到28时,流形∑(3,6 k —1,2,2,2)提供了28种7球的不同的微分同胚类。

参考文献

[1]J.W. Milnor, On manifolds homeomorphic to the 7-sphere, Ann.Math., 64(1956)399—405(MR 18-498).

[2]J.W. Milnor, Differential topology, Lectures on Modern Mathematics vol.II, pp.165—183, Wiley, New York, 1964(MR 31#2731).

九 微分方程

含有未知函数微分的方程叫微分方程。例如,设 y 是自变量 x 的函数,则 是常微分方程。若 z 是自变量 x y 的函数,则 是偏微分方程。关于常微分方程在什么条件下有解的问题,已研究得相当清楚。但偏微分方程的解的存在性,是1954和1955年解决的。因此出现了微分算子理论,推动了微分方程基本理论的研究。

微分概念到处都起着重要的作用,包括纯代数和拓扑学。微分方程推动着社会的前进,因之,任何要想预测或部分地改变世界的人都必须懂得一点微分方程和它们的解。

根据在微分方程中涉及的独立变量的数目,和未知函数进入的方式,人们以奇妙的原始方式将微分方程加以分类。一方面是以“一个”与“多个”来分类,另一方面是以“好的”与“不大好的”来分类,或者以应用到方程上的对应的形容词来表述,一方面是以“常”与“偏”来分类,另一方面是以“线性”与“非线性”来分类。这篇报告只涉及线性方程,不考虑非线性方程:常微分方程只在开始时出现一下,以确定论题的范围。

线性常微分方程理论的开始部分是简单和令人满意的;我们能够在初等教科书中找到。若 p 为一个多项式

又若 ,则 p = p D )是一个微分算子,而(对已给的 g 和未知函数 u pu = g 是典型的常系数线性常微分方程。若 g 为连续的(一种合理的,有用的,然而过分特殊的假设),则方程总有一个解。甚至对变系数(即 a 1 本身是 x 的函数的情况),只要对它们加以某些适当限制,结论仍是正确的。例如 a 1 为连续,又“主要的”系数 a k 没有零点,则结论就是正确的。

对于偏微分方程,即使开始部分也是非平凡的和新的,例如,即使常系数的理论,也是属于最近时期的研究。问题的表达很容易;考虑几个变量 ξ 1 ,…, ξ n 的一个多项式,并以 代替 ξ i 得到一个微分算子 p ;问题就是要关于 u pu = g

为了避免某些不特别有启发,也不特别有用的同 ε 打交道的毫分缕析,习惯上常取 g (从而找 u )要么在约束最多的类集中,要么在约束最少的类集中。约束最多的类集是由任一种所考虑区域( R n , R n 中一个开集,一个流形)上的光滑(无限次可微)函数所组成;另一极端则是由L·施瓦尔茨广义函数所表示。(广义函数论的核心思想是:函数 f 引导出 C 上线性泛函 。“广义函数”是一种适当的线性连续泛函,不必是由一个函数引导出来的。这种推广与其源泉之间的类比提示了广义函数微分法的一种合适的定义,而采用那个定义,偏微方程理论就得以活跃起来,并迅速前进。)

偏微分方程是一个古老的课题,又是一个广泛被应用的课题,但令人惊奇的是基本定理还是很新的;只是在不久之前埃伦普赖斯(1954)与马尔格兰奇(1955)才证明了每一个常系数线性微分方程是可解的。若右端是光滑的,就有一个光滑解;即使右端被允许是一个任意的广义函数,仍有一个广义的函数解,这个论题在埃伦普赖斯的书(1962)中已详细讨论过,并且可以看作是已经终了的。

到此为止,一切都很好;证明是比常微分方程难得多;但事实还是令人愉快的。变量(即函数)系数的理论就更难得多,知道得很少,没有一处接近完成。50年代后期关于这方面的两件激动人心的工作表明旧的猜测和旧的方法是非常不合适的。

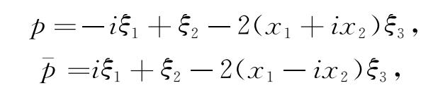
关于旧的猜测:汉斯·卢伊提出了(1957)一个既有启发性又非常简单的变系数(但非常光滑)偏微分方程根本没有解的例子。卢伊的多项式是一次的,

其中系数 a 1 , a 2 , a 3 是变量 x 1 , x 2 , x 3 的函数,实际上,前面两个为常数:

因此,对应的微分算子为

卢伊所证明的事实就是:对于 C 中几乎每一个 g (在贝尔分类的意义下),都没有广义函数满足方程 pu = g

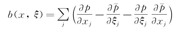
差不多同一时候(1958),考尔德伦曾研究了某些重要的偏微分方程(在适当初始条件下)解的唯一性。实际上,他证明:若 pu =0,对 t ≤0(直观上,这里“ t ”是时间)具有 u =0,则对某些正的时间 t , u 仍局部地为0。考尔德伦的方法是从调和分析中移植过来的;这些方法将奇异积分引进到微分算子论题中,从而,稍后就出现了拟微分算子和傅立叶积分算子。从那时以来,这些思想控制了微分算子的论题。

赫尔曼德分析并推广了卢伊的例子(1960)。他曾指出:使卢伊例子起作用的是因为系数为复值的;基本的是 的交换子的性能。这里算子 是简单地将每一个系数代以它的共轭值而得到的。用算子的语言来描述,就是 ,更精确地说:对 的每一个多项式,我们考虑它的“主要部分”,即只含有最高次项的部分(对于卢伊例子,就没有别的部分了)。若 p x ξ )是主要部分,以 b x ξ )表示“泊松括式”,

断言:若对某个( x 0 ξ 0 ),主要部分 p x 0 ξ 0 )为0而泊松括式不为0,则在卢伊意义下, p 在含 x 0 的任一开集中都是不可解的。容易看到,卢伊的例子是被包罗在赫尔曼德保护伞之下。事实上,因为

初等的计算就得出:

b =8 i ξ 3

因而,显然对每一 x =( x 1 , x 2 , x 3 )有一个 ξ =( ξ 1 ξ 2 ξ 3 )使得 p x ξ )=0且 b x ξ )≠0。

参考文献

[1]L.Ehrenpreis, Solution of some problems of division, Amer.J.Math., 76(1954)883—903(MR 16-834).

[2]B.Malgrange, Existence et approximation des solutions des equations aux derivees partielles et des equations de convolution, Ann.Inst.Fourier, Grenoble, 6(1955)271—355, (MR 19-280).

[3]H. Lewy, An example of a smooth linear partial differential equation without solution, Ann.Math., 66(1957)155—158(MR 19-551).

[4]A.P. Calderón, Uniqueness in the Cauchy problem for partial differential equations, Amer.J.80(1958)16—36(MR 21#3675).

[5]L. Hörmander, Differential operators of principal type, Math.Ann., 140(1960)124—146(MR 24# A434).

[6]L. Hörmander, Linear partial differential equations, Springer, New York, 1969(MR 40#1687).

[7]L. Ehrenpreis, Fourier analysis in several complex variables, Wiley, New York, 1970(MR 44#3066).

十 指标定理

函数论研究性质特别好的函数,称为解析函数,它无限多次可微分,而且能展为幂级数。每个解析函数有和它相应的黎曼曲面。但曲面的结构又是拓扑学所研究的。这样,在函数论和拓扑学之间产生了深刻的联系。古典的黎曼罗赫定理得到了一个刻划解析指标和拓扑指标关系的公式。1963年把这个定理作了全面的拓广。这种横跨两个数学分支的深刻结果,指示了客观世界数量变化规律之间的本质联系。

阿蒂亚-辛格指标定理(1963)横跨了数学的两个领域,拓扑与分析。这不是技巧上的偶然事件,而是论题的性质。具有这样广阔视野的定理,通常都是最有用和最精美的,指标定理也不例外。然而,这个定理的宽阔性要求从侧面进行阐释性的概述。下面我们首要地描述历史上的概念上的先兆,黎曼罗赫定理,然后简短地指出阿蒂亚辛格定理如何推广了它。

古典的黎曼-罗赫定理处理了黎曼面的二重性(拓扑上的和分析上的性质)。每一个紧致的黎曼面同胚于一个(二维)有柄的球。柄的数目完全决定曲面的拓扑性质。这部分是容易的。分析结构是较复杂的。它由有限个开集的覆盖和由从复平面 C 到每一开集的显同胚所组成,这显同胚在重迭处定义了全纯函数(不妨利用同胚来把覆盖中每一开集与 C 中的开集等同起来;下面默认做到了这一点)。例如若曲面为球(没有柄),将 C 看作通过赤道割开来的一片,并利用球极平面投影(朝着北极和南极)作为同胚。这里有两个开集,北极的余集和南极的余集;在重迭处的同胚函数由 给出。

黎曼面上的一个光滑函数可以被看作 C 中开单位圆(对覆盖的每一个开集有一个)上的一族函数,它们是光滑的( C ),并且在由重迭处引出的变量变换下互相变换。如果 f g 是二个这种函数, w 是圆上的变换,这种变换是经由适当同胚到对应于 f 的开集并从那与对应于 g 的开集的重迭处返回这样的关系所引出,则 f z )= g w z ))。若圆上每一个这样的函数都是全纯(或半纯),则黎曼面上的函数称为全纯(或半纯)。黎曼面的解析研究的另一个概念是光滑微分的概念:那就是形状为 p x , y dx + q x , y dy 的表示式,其中 p q 为复值光滑函数,在重迭处满足变量变换的连锁规则,全纯微分是形状为 f z dz 的一个微分,其中 f 为全纯,且 dz = dx + idy (在上面所用的记号中,这些微分于重迭处的变换关系成为 f z dz = g w dw = g w z )) w′ z dz ;函数 f g 不再是仅仅互相之间变换,而且也由于微分所参加的一份而改变了)。

黎曼面的解析性质是全纯(和半纯)函数的性质和黎曼面所具有的微分性质。一个熟知的结果是紧致黎曼面上的唯一全纯函数是常数:那实质上就是利乌维尔定理所陈述的事实。黎曼罗赫定理陈述得更多。在最简单的形式中,它涉及亏格为 g 的紧致黎曼面 S S N 个点 z 1 ,…, z n 。令 F 为在 z i 处(再没有其他地方)有阶数不超过1的极点的曲面 S 上的半纯函数所组成的向量空间;令 D 为在 z i 处(也可能在别处)有阶数不小于1的零点的全纯微分所组成的向量空间。结论:

dim F —dim D =1+ n g

(在古典刘维尔定理的情况, g =0, n =0,和dim D =0)这个结论的重要方面是:完全以分析术语所描述的一个量能够光用拓扑数据来计算。

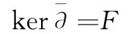
在特殊情况 n =0, F S 上全纯函数所组成的向量空间(以致dim F =1),而 D 为一切全纯微分所组成的空间,存在有一个线性映照,习惯上记作 S 上一切光滑函数所组成的向量空间映照到一切光滑微分所组成的空间:在每一个覆盖成的开集中,记

映照 是微分算子的一个例子。 的核精确地由满足柯西—黎曼方程的函数所组成;换言之

的余核(一切光滑微分所组成的空间模 的象所成的商空间)类似地可与 D 等同起来。在这一情况中,黎曼罗赫定理的结论取以下形式,即

阿蒂亚-辛格定理是黎曼罗赫定理的一个拓广,这定理也陈述:一个分析定义上的数(解析指标)能够以拓扑数据来计算。拓广了哪些方面?一切方面。首先,黎曼面被任意维的紧致光滑流形 M 所代替。光滑函数和光滑微分所成的向量空间被 M 上复向量束光滑截面所成的向量空间(实际上,向量束复合体)所代替。最后,映照 被微分算子Δ所代替。后者满足某一可逆条件(称之为椭圆性)。这就得出kerΔ和cokerΔ两者都是有限维的;两个维数之差就是解析指标。结论是解析指标能够由拓扑不变量(“拓扑指标”)来计算,它们是亏格的非常复杂的拓广。

甚至在它较短的生命中,阿蒂亚辛格指标定理已有重要而有意义的影响,至少人们已用三种有启发性的不同途径证明了它。最新一种与流形上热传导方程的研究有关。

参考文献

[1]M.F. Atiyah and I.M.Singer, The index of elliptic operators on compact manifolds, Bull.A.M.S., 69(1963)422—433(MR 28#626).

[2]R.S. Palais, Seminar on the Atiyah-Singer index theorem, Ann.Math.Studies, No.57, Princeton University Press, Princeton, 1965(MR 33#6649).

结语

概念、事例、方法和事实继续地被发现:问题得到反复地陈述,纳入新的课题中,人们更好地了解它,并且每天都在解决它。我们希望上面的10个范例至少表达了我们时代数学的部分广度、深度、成就和力量。数学是活的,本文就暂写到此。

编者注: 本译文原载于《世界科学译丛》(1978年第1期,第18页至32页及第77页)。英文原文引用格式为:

J H Ewing, W H Gustafson, P R Halmos, S H Moolgavkar, W H Wheeler, and W P Ziemer. American Mathematics from 1940 to the Day Before Yesterday. The American Mathematical Monthly, 1976, 83(7): 503—516.

本译文旨在帮助经历了文革闭塞时期的中国数学家了解世界数学发展的全新面貌,为此译者对原文作了适当的分节并分别添加了简要的说明,但略去了原文所附的参考文献。

此处的转载,订正了译文中若干错误,规范了人名表达,并补上原文的参考文献。 1DGpWtXeqH4xVQMDkigbsIw0LNBTQ2kxaIMf/jN8riJ8Tw398GURCBO3yTEAQtCj

点击中间区域
呼出菜单
上一章
目录
下一章
×