



代数几何是纯粹数学的主流学科之一,至今为世界上著名数学家所关注。年轻的中国学者肖刚(G. Xiao),1984年获得法国国家博士学位。他的博士学位论文是关于代数曲面的分类。1984年,国际上最负盛名的数学著作出版社Springer,将肖刚的 Surfaces fibrées en courbes de genre deux (《以亏格2的曲线为纤维的曲面》)列入最权威的 Lecture Notes in Mathematics (数学讲座丛书),编号为1137。这是该丛书中第一本由中国人写的著作。肖刚现年35岁,新任华东师范大学数学系教授。
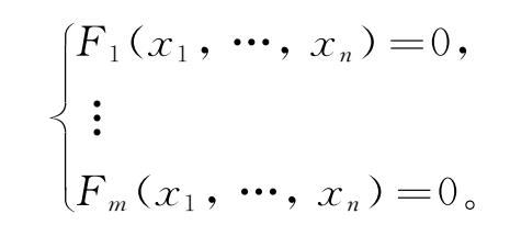
代数几何的研究对象是多元高次方程组的解及其几何性质。通常的圆: x 2 + y 2 —1=0是最简单的例子。一般地,我们研究 m 个多项式构成的方程组:
它的解称为由 F 1 ,…, F m 决定的代数集。对代数集的研究可分为局部的和整体的两大类。当前着重研究整体问题。
整体研究中基本问题是分类和结构,肖刚的著作研究具有亏数2曲线束的复射影曲面的分类。他的想法说来也很简单:一个曲面可以看成从一条底曲线 a 上的每个点长出一根根纤维组合而成,然后设法研究这些纤维是如何长在底曲线 a 上的,即研究其结构,并按不同的结构对曲面进行分类。
分类是通过不变量对代数集进行刻划。 n 维空间中的(一维)曲线的分类已得到完美解决,但 m 维曲面( m < n )的分类迄未完成。
肖刚首先考察曲面的存在区域,结果是可以用一个不变量的不等式加以刻划。然后给出其中心结果:当曲面的不正规性大于底曲线的亏格时,这种曲面的分类问题可以完全解决,这是极令人感兴趣的漂亮结果。
编者注: 原文载于《科学》(1986第2期,第142页),作者署名:张弓(张奠宙的笔名)。