



中国古代的算学以其辉煌的成就屹立于世界之林,至宋元时期达到全盛。由于封建桎梏对数学的摧残,明清以来渐渐落伍。中间也有过一些光明,例如明末徐光启(1562—1633)和利玛窦(意大利传教士)翻译《几何原本》,清初梅文鼎(1633—1721)在代数、几何、三角方面的全面研究、康熙帝主持数学研究等,对我国数学发展有很大影响。但是正当18、19世纪世界数学进入大发展的时期,清王朝闭关自守,数学研究陷于复古主义泥坑,只是在宋元时期的传统算学中打转。1840年鸦片战争使腐朽的清王朝逐渐解体,中国成为列强吞并的对象。与此同时,一些有识之士倡议变法,提出“师夷长技以制夷”的口号,开始学习西方自然科学,其中也包括数学。
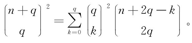
李善兰是我国19世纪最杰出的数学家。他在组合数学方面的研究成绩卓著,例如发现了驰名中外的李善兰恒等式:
1859年,李善兰和传教士伟烈亚力合译《代微积拾级》18卷在上海墨海书局出版。其中首次出现函数、微分、积分等译名,沿用至今。这一时期的日本,仍以中国的数学著作为准绳。李善兰的译名传至日本后,亦广为使用,至今中日两国数学名词诸多相同。微分、积分、方程、曲率、曲线诸词完全一样,函数在日本叫关数,乃是后来日本减少汉字,因“函”“关”音同而借用的。总之19世纪中叶,日本仍向中国学习数学。
从19世纪末年起,日本数学渐渐超过中国,这和日本重视科学和教育有关。我国的洋务运动和日本明治维新大致同时,从兴办工业看,1860年,日本在长崎设立制铁所。1862年,李鸿章办上海洋炮局,1862年,日本造蒸汽军舰,1866年,左宗棠设福州船政局制造船舶,起步大致差不多。但在科学教育措施方面,则相差甚远。请看下表:
续表
由于不重视基础科学研究和普及教育,单靠“引进技术”,结果工业也不能发展。到了19世纪末叶,中国反向日本派遣留学生了。
从数学上看,第一个获得博士学位的数学留学生是胡明复(1891—1927),他于1916年在美国哈佛大学以《平直微积分方程式论》为题通过博士论文答辩。由于当时美国的数学水平不高,此文也未达到当时先进国际水准。我国第一篇具有重要意义的现代数学论文,当推陈建功(1893—1971)在1928年发表的《关于富里埃级数绝对收敛之函数类》,文中得出具有绝对收敛三角级数的函数与杨氏函数等价的结果。与此同时,英国的大数学家哈代(Hardy)也得出同一结论。陈建功的文章发表在日本的《东北数学杂志》上。他于1936年出版的《三角级数》也是中国第一部数学专著。在到日本学习数学的留学生中,早期的还有冯祖荀、苏步青等。日本现代数学的起步是高木贞治于1898年到当时世界数学中心——德国的哥廷根大学学数学。他跟上了当时世界数学的潮流,在大数学家希尔伯特指导下研究代数数论。他不要外国学位,回国后在东京大学获博士称号。后来他创立类域论,解决了世界难题——“克罗内克青春之梦”,达到世界第一流水平,时在1920年。
进入20世纪的30年代,中国现代数学有了长足的发展。这是一个新人辈出的时期,较早的有熊庆来(1893—1969)研究亚纯函数,陈建功研究三角级数,苏步青研究射影微分几何学,江泽涵(1902—)研究拓扑学。稍微年轻些的是华罗庚,他在数论方面有重要贡献。许宝騄(1910—1970)在数理统计上有很高成就。后来在国际上知名的陈省身从1935年起即发表微分几何和拓扑学方面的论文。在30年代中期,中国的现代数学队伍已相当坚强。1935年成立中国数学会,并由苏步青、华罗庚负责编辑我国第一本登载创造性论文的数学杂志《中国数学学报》,1936年8月出版。
30年代数学上的昌盛,是和数学教育的发展分不开的。我国第一个算学科是1912年北京大学成立时设立的。五四运动后,姜立夫(1890—1978)在南开、冯祖荀在北京师范大学、熊庆来在东南大学和清华大学先后创办数学系。陈建功先后到武汉大学和浙江大学数学系任教。苏步青也长期在浙大工作。从这些数学系培养出大批数学人才,终于在30年代出现中国现代数学的第一个高潮,国外有些数学家当时曾这样评论:“中国数学很快就会超过日本!”
1937年卢沟桥上的枪声,打断了这个良好的数学进程。大后方艰难的日子,尽管没有完全中断研究工作,但是成果毕竟大为减少。抗战胜利前夕,国民党的中央研究院决定成立数学研究所筹备处,可算我国第一个国家级的数学研究机构。当时经费极缺,工作亦很难开展。所长是数学前辈姜立夫先生,由他的学生陈省身协助。这个研究所在抗战以后正式成立(1946),当时曾聚集了一批青年数学工作者,在代数学、拓扑学等方面开展研究,培养了不少人才,日后都成为我国数学的中坚。著名数学家吴文俊也在这时经陈省身指导进入数学研究的大门,后来赴法留学,并在拓扑学方面有很好的工作。
解放后,我国数学研究发生了深刻的变化。1951年召开中国数学会解放后的第一次会议,留在国内的和自海外返国的数学家济济一堂,共商振兴中华数学大计。此后几年内,数学成果递出。1956年评定国家自然科学奖,华罗庚以“典型域上的多元复变函数论”、吴文俊以“示性类及示嵌类的研究”荣获一等奖,苏步青以“k展空间和一般度量空间”获二等奖。解放以后数学的一个重要特点是为国民经济服务,门类比较齐全,如优先发展微分方程、概率统计等应用性较强的学科,计算数学、运筹学等则从无到有。1959年,出版《中国数学十年》,总结了十年数学的进展。
1960年在上海举行中国数学会第二次全国代表会议。会议倡导数学改革,强调数学为工农业生产服务,优先发展应用学科,但是有忽视基础理论的弊病。这些缺点本来不难纠正,只是由于政治上“左”的影响,缺陷不但未克服,反而越演越烈,到了十年动乱之时,我国数学受到严重摧残。
当数学研究园地处于一片荒芜之际,只有少数几个地方在顽强地工作,显示一线生机。其中有陈景润的哥德巴赫猜想研究,杨乐、张广厚关于亚纯函数研究的突破、陆家羲解决了斯坦纳三元系的世界难题等等。许多在国防科研第一线战斗的数学家,作出了重要贡献,老一辈数学家如华罗庚推广优选法,苏步青倡导计算几何也令人瞩目。1978年,在成都召开中国数学会第三次会议,终于和十年动乱的局面告别。1983年10月,武汉的第四次代表会议选举了年轻化的领导班子,规划了新时期数学研究的方向,我国的数学事业正在一日千里地前进。
应当看到,我国现在的数学水平离国际先进水平尚有很大差距,即使同近邻日本相比较也落后一截。日本在二次大战中的数学研究也陷于停顿。战后初期,生活艰难,研究也没有大的起色。50年前后,一批青年迅速成长。小平邦彦,广中平祐先后获得世界数学的最高奖——菲尔兹奖。此外,在世界数学发展的主流中,有许多日本数学家参加。特别是算子代数、随机微分方程、抽象代数学、微分几何学等理论研究都具有第一流水准的数学家出现。在最近几届国际数学家大会上,日本列为世界上6个数学最发展的国家之一(其余5个为美、苏、英、法、联邦德国)。
我国的数学,由于历史上的原因,和国外交流较少,有脱离世界数学主流的倾向,更由于“左”倾思想的影响,基础理论的研究受到忽视,而应用数学又停留在初级应用方面,缺乏独树一帜,技压群芳的开创性工作。但是应该看到,中国人民是具有高超数学才能的,历史上曾有过伟大创造,30年代出现过昌盛的局面,解放后一段时期内有过飞速发展,在艰难条件下作出可贵的成果。国外的华裔数学家中不少曾在国内受教育,后来在世界上享有盛名。出生在广东成长于香港的丘成桐也获得了菲尔兹奖。现在,我们正处于我国数学事业的黄金时期。可以期望,经过十年、二十年的努力,中华数学必将腾飞。当21世纪来临的时候,中国必将成为数学大国。
编者注: 原文载于《数学教学》(1985年第3期,第7至9页及第3页),作者署名:张弓(张奠宙笔名)。