



在整函数空间上可以定义无限阶微分算子。无限阶微分方程的整函数解在[1]中已有详细的讨论。本文拟用傅里叶变换方法考虑无限阶微分方程的广义函数解:采取适当的基本函数空间
,推广熟知的公式
表示某个整函数)。最后在某些附加条件下,给出了解的积分表示。
S型空间
的定义见[2](210页)。当0<a<10<β<1 a+β≥1时,其中的基本函数是整函数,且这种
是非平凡的,充分丰富的([2],278,281页)。
凡在x轴上增长不超过
级,在全平面增长不超过
级的整函数E(z)都是
上的乘子,即E(z)·ψ(z)=E(ψ)是
上的连续算子。
是依S空间的拓扑收敛的。
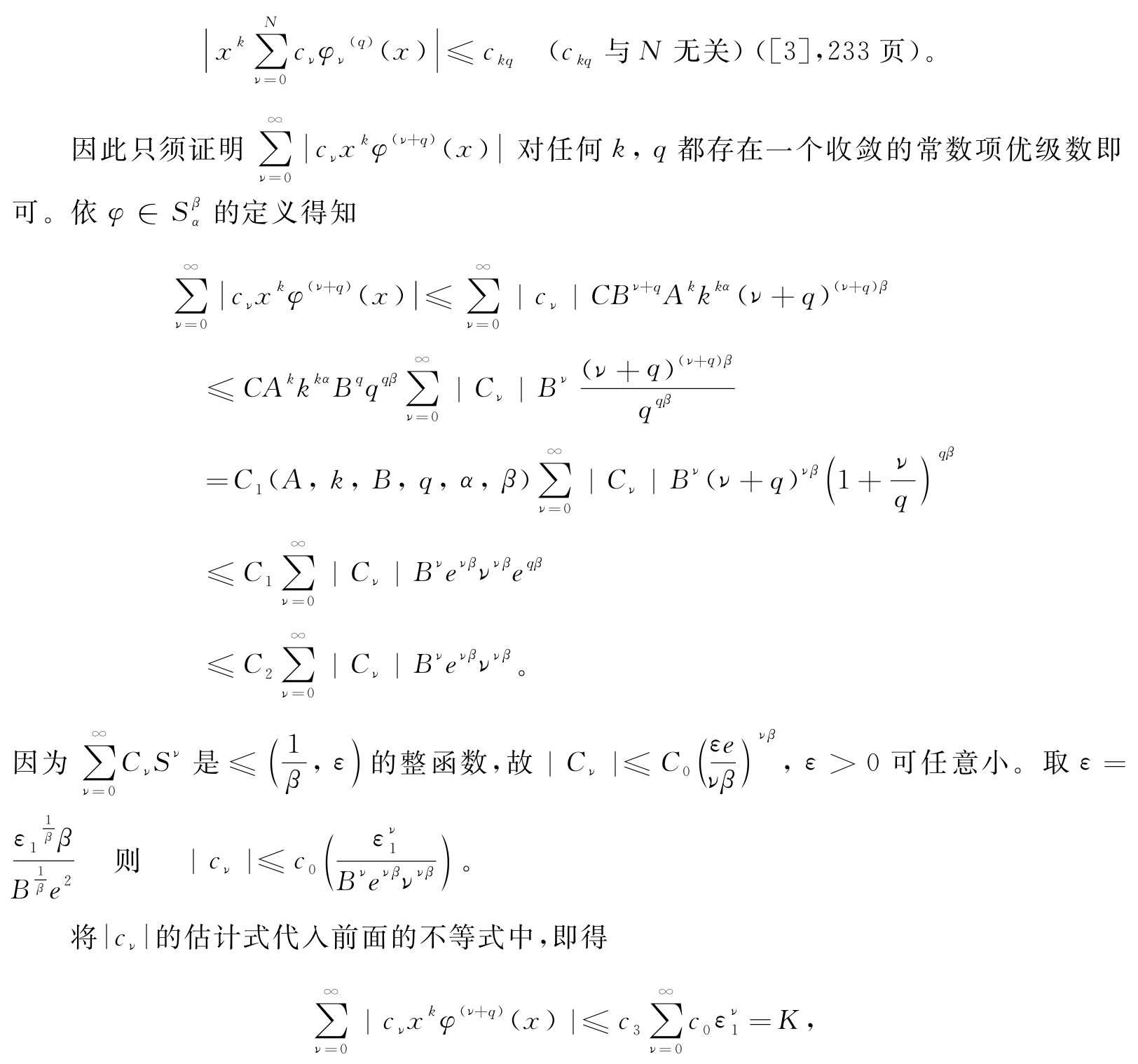
证
在S空间中的收敛可以描写为:该级数及其导数在任何有限区间上都一致收敛于某函数Φ(x)及其导数,且
K是与ν无关的常数。证完。
上的广义函数及其傅里叶变换
上的线性连续泛函称为
上的广义函数,记为
f=(f,φ),φ∈
。
表示空间
的傅立叶变换象空间。由于已假定0<a<1,0<β<1,a+β≥1,故
仍属我们所考虑的那一类空间:由整函数构成,非平凡,充分丰富。
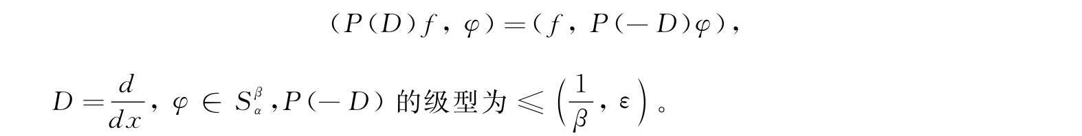
定义 对广义函数f施行无限阶常系数微分算子的意义是:
故 P(-D)φ∈
。
预备定理2
设P(D)的级型
,则
(
是由P(z)的泰劳系数加共轭而得的整函数),即对任何
,
。
证
记P(-D)φ(x)=Φ(x),
。
由预理1,得知
依S空间拓扑是收敛的。再依傅里叶算子对S空间的连续性([2],156页),得知
定理
给定微分方程(*)P(D)f=h,其中f,h是
上的广义函数(0<a,β<1,a+β≥1),
若1° P(D)的级型
2°
是整函数,其级型亦为
,
则方程(*)可用傅立叶变换求解,即归结为
的除法问题。
此外,若还有3°
在实轴上的增长不超过幂级,则除法的解可由积分表出。
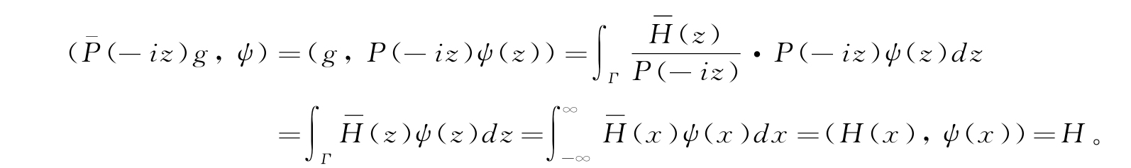
证 由预理立刻可得定理的前一半。当3°满足时,
是
上的一个解析泛函,这里Γ是不通过P(-iz)的零点,且和实轴等阶的路线([3],203页),因整函数的零点至多是可列个,这样的路线总是存在的。
我们证明g是方程
的解:
故方程(*)的解是g的傅里叶逆变换F -1 (g)。
特别地,如果
对任一个b都绝对可积,则方程的解可表示为
这时f(s)是普通函数。
例 解 e D f=δ(x+1)。
若进一步考虑空间
,则本文的结果还可进一步精确化,不必限定P(D)为最小型。
[1]Sikkema,P.C. Differential operators and diflerential equtions of infinite order with Constant Coefficients.
[2]И. М. Гельфана,Г. И. Шилов:Пронстраства основных и обобщенных функций 1958.
[3]И. М. Гельфана,Г. И. Шилов:Обобщенные функций и действия над ними 1959.