



摘要: 本文将Taylor联合谱的定义推广到闭算子的情形,并且推广了分别由Vasilescu,F.H.和Curto,R.E.证明的有界算子组为正则的两个充要条件。此外,本文还研究了共轭算子组的联合谱,证明了闭算子组的联合谱是C n 中的一个闭集,给出了一个例子。
由Taylor [1,2] 所定义的n个两两可交换的算子组的联合谱受到许多数学家的关注 [3—6] 。我们想把Taylor联合谱的定义推广到无界算子的情形,在文献[7]中,我们已经对含有一个闭算子的算子组给出了联合谱的定义。本文又定义了Hilbert空间上n个闭算子组成的算子组的联合谱,并得出一系列结果。在本文完成以后,我们发现Eschmeier在文献[8]中给出了模同态的联合谱的定义,但本文所给出的定义及理论和文献[8]是不同的。我们并不要求每个算子的预解集是非空的,而且从我们的定义出发,可以推广由Vasilescu和Curto分别得出的有界算子组为正则的两个充要条件。此外,我们还研究了共轭算子组的联合谱,证明了闭算子组的联合谱是C n 中一个闭集,并给出一个例子。
中稠密。
对于
,我们令
这里J
P
(j)表示J
P
中位于j前面的元素个数。这样,对于每个p,定义了一个
的同态δ
p
(a)。使用简单的计算可以证明:
。因此
是一个链复形,δ
p
(a)是边界算子。
命题1 对于每一个p,δ p+1 (a)是可闭的。
命题2
是一个链复形。
证
因为
和Imδ
p+1
⊂Kerδ
p
,我们有
于是
是一上链复形。由
可知
,即
是一个链复形。命题2证毕。
定义1
如果链复形
正合,我们称a=(a
1
,…,a
n
)是正则的;对于z=(z
1
,…,z
n
)∈C
n
,如果算子组z-a=(z1-a
1
,…,z
n
-a
n
)是正则的,那么我们称z在a的预解集中,否则称z为a的谱点(z∈Sp(a))。
命题3 如果a正则,则对每一个p,有
当a正则时,这四个子空间都相等。命题3证毕。
在空间
上我们定义一个算子a(a):
命题4
a(a)是
上的自共轭算子。
证
对任何ξ,η∈D(a(a)),由计算可以知道(a(a)η,ξ)=(η,a(a)ξ),因此a(a)是一对称算子。对于每个
,在此:
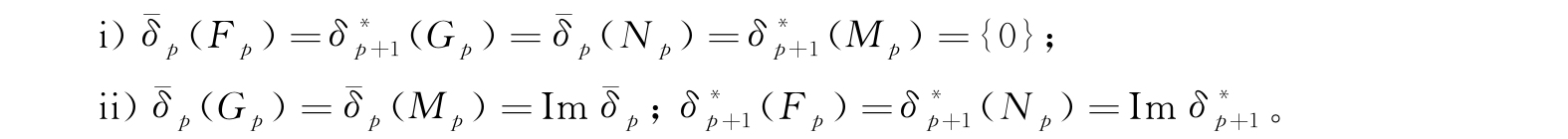
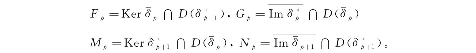
而且F p ,G p ; M p ,N p 满足下面性质:
我们接下来要证明D[a(a) * ]⊂D(a(a))。
对任一ξ∈D[a(a)
*
],存在h∈
,使得对于所有的η∈D(a(a)),有
设ξ=ξ
n
⊕…⊕ξ
0
,h=h
n
⊕…⊕h
0
,其中
。对任何固定的p和任何
,我们令η=0⊕…⊕0⊕η
p
⊕0⊕…⊕0,由等式(*)得
类似可证
。因为p是任意的,所以对每个p,ξ
p
∈
,ξ∈D(a(a))。命题4证毕。
定理1
a=(a
1
,…,a
n
)是正则的充分必要条件是
。
证
必要性:因为对每个p,
,所以
(参见文献[7]引理3)且
,由此可知a(a)是满的,因而
。
另一方面
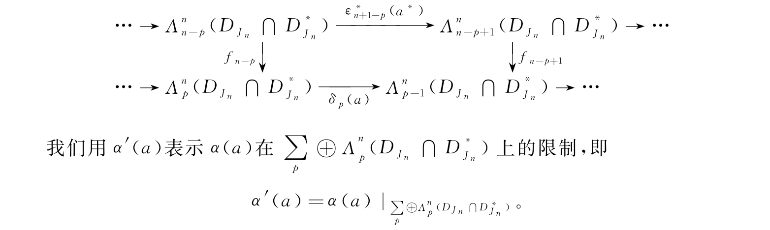
这样下图是交换的:
且下图成交换:
显然a′(a)是
上的稠定对称算子,以
分别表示a′(a)和a′(a
*
)的闭包,则有
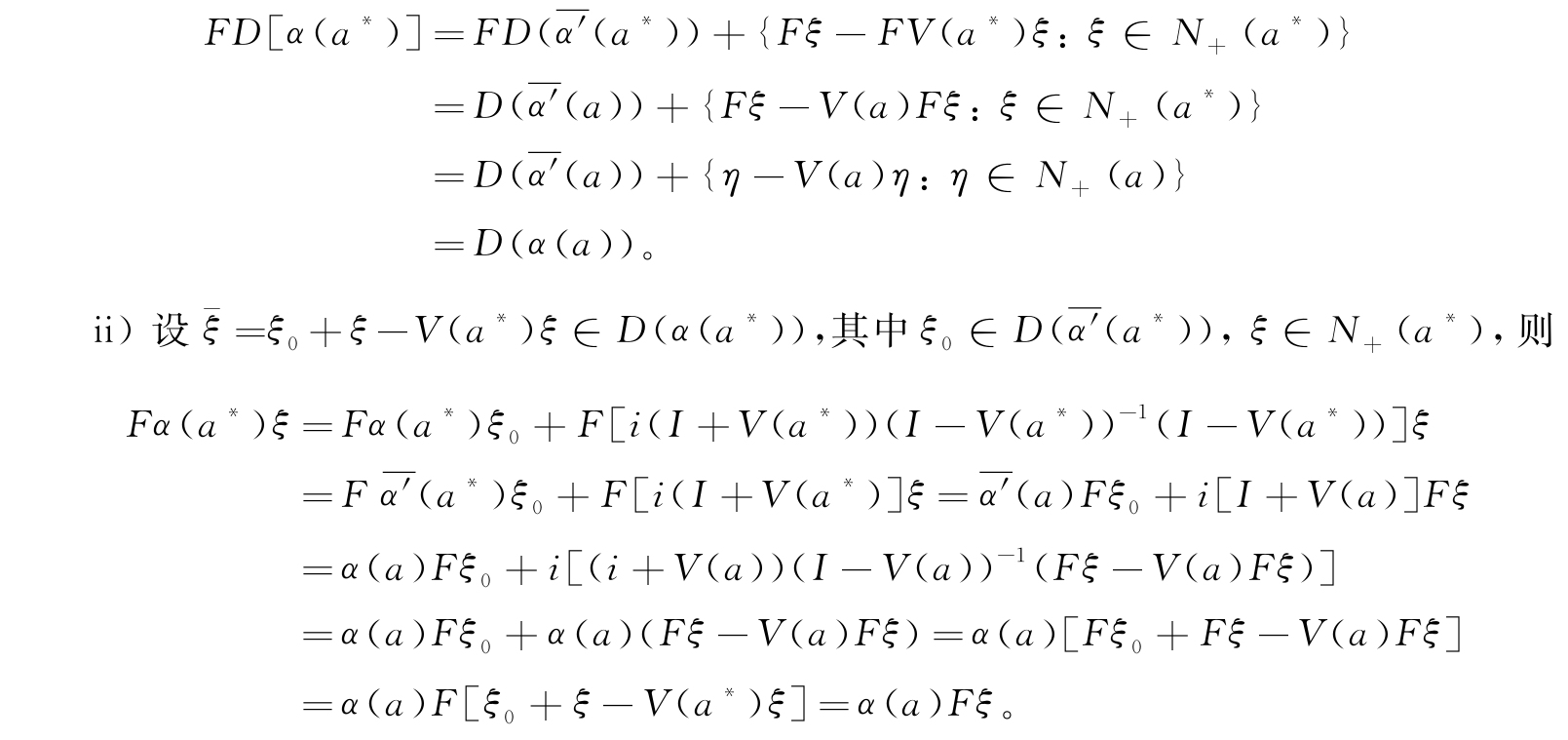
命题5
i)如果
,则Fa′(a
*
)ξ=a′(a)Fξ。
ii)
证
i)当
时,由
类似地,
,命题5证毕。
我们分别以V(a)和V(a * )表示a(a)和a(a * )的Cayley变换,即
V(a)=(i-a(a))(-i-a(a)) -j ,
V(a * )=(i-a(a * ))(-i-a(a * )) -j 。
因为a(a)和a(a
*
)是自共轭的,所以V(a)和V(a
*
)是
上的酉算子。
命题6 FV(a * )=V(a)F。
证
设
。因为
中稠密且[-i-a(a
*
)]
-1
是有界的,所以A也在
中稠密。如果ξ∈A,ζ=[-i-a(a
*
)]ξ,则由命题5
FV(a
*
)ξ=V(a)Fξ。因为A是
的稠密子集,这一等式对所有的
都成立且下图成交换:
命题6证毕。
命题7 i)F[D(a(a * ))]=D(a(a))。
ii)对
,有
。
因此我们有
FN + (a * )=N + (a)。
根据自共轭延拓的Von-Neumann第二公式(参见文献[9]定理8.12)和命题6,
这样下图成为交换图:
命题7证毕。
定理2
a=(a
1
,…,a
n
)是正则的充分必要条件是
是正则的。
证 直接从命题7得出。
定理3
a=(a
1
,…,a
n
)是正则的充分必要条件是对每一
是
上的可逆算子。
例 设a=(a 1 ,…,a n )是H上的无界自共轭算子组。
1)下面两点是等价的:
①
,而且如果x∈D(a
i
)∩D(a
j
),a
i
x∈D(a
j
),a
j
x∈D(a
i
)则有a
i
a
j
x=a
j
a
i
x(1≤i,j≤n)。
② E i (λ i )和E j (λ j )是可交换的(1≤i,j≤n,λ i ,λ j ∈R)。这里E i ,E j 分别是a i 和a j 的谱测度。
2)如果E i (λ i ),E j (λ j )是可交换的(1≤i,j≤n,λ i ,λ j ∈R),则a是奇异的充分必要条件是存在一列{x n }⊂H使得‖x m ‖=1和a i x m →0(m→∞,i=1,2,…,n)。
这个例子的证明将在另一篇文章中给出。
[1]Taylor,J.L.,J. Functional Analysts ,6 (1970),172—191.
[2]Taylor,J.L.,J. Acta Math ,125 (1970),1—38.
[3]Vasilescu,F.H., Rev. Roumaine Math. Pures et Appl. ,ⅩⅫ (1977),1003—1009.
[4]Curto,R.E., Indiana Univ. Math. J. ,29 (1980),393—406.
[5]Frunza,S.,J. Functional Analysis ,19 (1975),390—421.
[6]Muneo,Cho, Sci. Rep. H i rosaki ,27 (1980),47—49.
[7]Zhang Dianzhou and Wang Zongyao, J. East China Normal University (Natural Science Edition),1983,3: 7—12.
[8]Eschmeier,J., Spektralzerlegungen und funktionalkalküle für Vertauschende tupel stetiger und abgeschlossener operatoren in Banach Raumen,Schriften Reihe des Mathematischen Institute der Universität Münster,2. Serie,Heft 20.
[9]Joachim Weidmann, Linear Operators in Hilbert Spaces .