



摘要: 本文将Banach空间上两两可交换的有界线性算子组的Taylor联合谱的定义推广到含有一个闭算子的算子组的情况,并证明了这种算子组的谱是C n 中的一个闭集。对于Hilbert空间的情况,本文推广了F.H. Vassilescu和R.E. Curto的两个结果。
我们要把J.L. Taylor的联合谱推广到无界算子的情形,本文先考察算子组中包含一个无界算子的情形,证明了谱的闭性并找出算子组为正则的两个充分必要条件。
这里i为j i 在J p 中的序号。
可以证明δ
p
(a)为
的线性算子,且
即
为一链复形。
如果记
到子空间
的投影,则由计算可知:
其中当J p-1 ⊂J p 时,若设J p /J p-1 ={j},j在J p 中的序号为i,则*=i-1。
命题1
δ
p
(a)为
的稠定闭算子。
定义2
算子组a=(a
1
,…,a
n
)为正则的是指复形
为正合的;复数组z={z
1
,…,z
n
}称为是算子组a=(a
1
,…,a
n
)的一个谱点,是指算子组a-z=(a
1
-z
1
,…,a
n
-z
n
)非正则,a的谱点全体称为a的谱,记为S
p
(a)。
引理3
设X
1
,X
2
,X
3
为Banach空间,A,B为稠定闭算子:
。若KerB=ImA且ImB闭,则KerA
*
=ImB
*
。
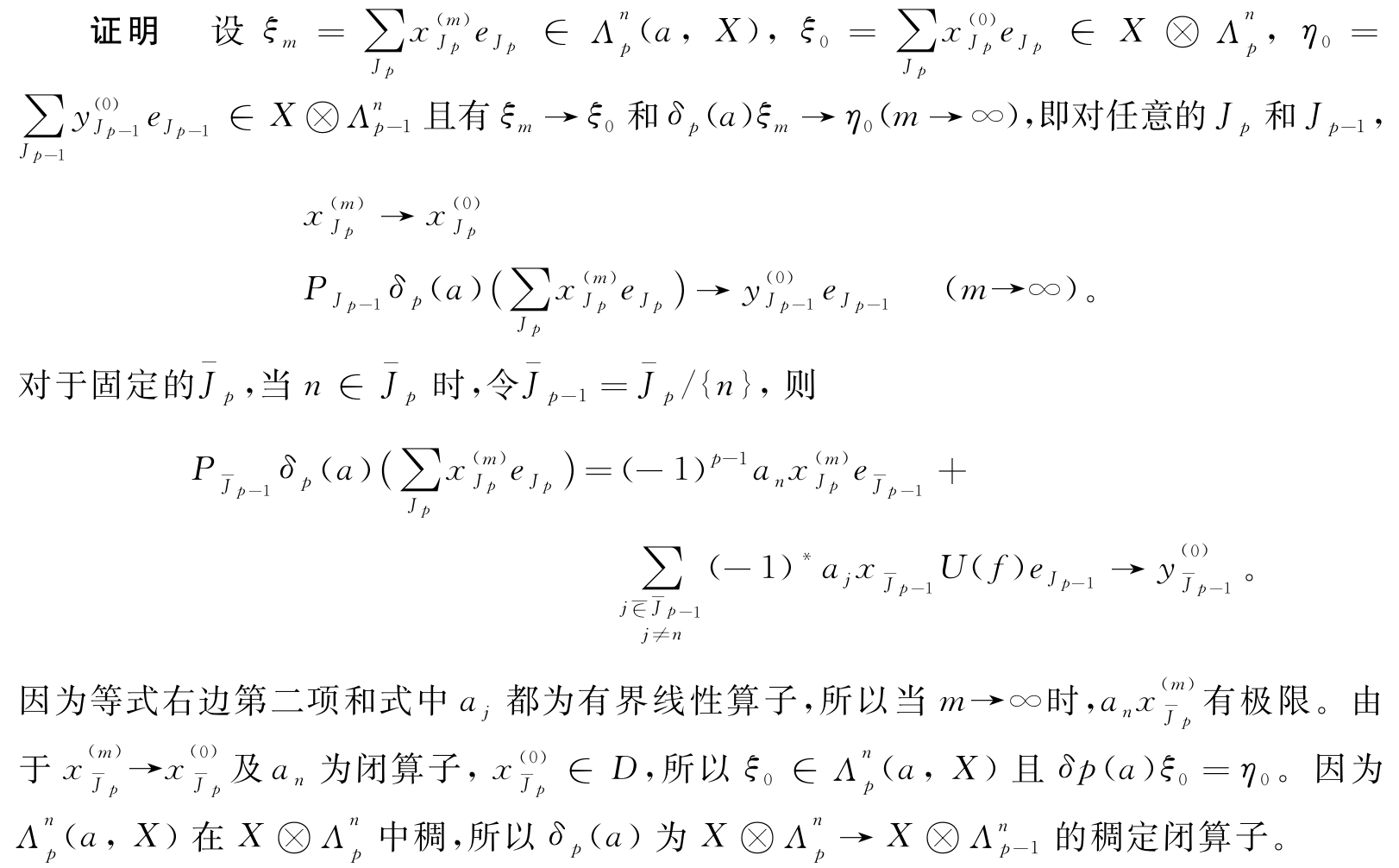
证明
因为KerB=ImA,所以(KerB)
⊥
=(ImA)
⊥
,即
。因为ImB闭,与有界算子的情形一样,可以证明ImB
*
闭,于是有KerA
*
=ImB
*
。
因为δ
p
(a)为
的稠定闭算子,所以
到
的稠定闭算子,且我们有:
命题4
为一上链复形,其中
定理5
a=(a
1
,…,a
n
)正则的充要条件是
正则。
证明
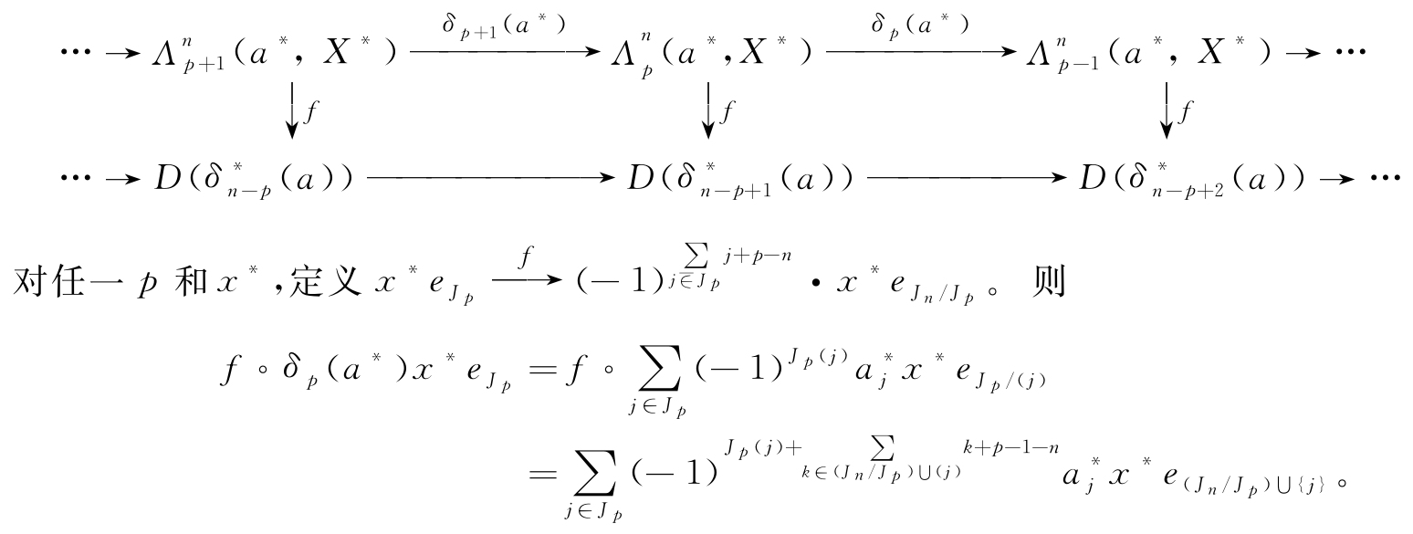
在链复形
和上链复形
之间作一链变换f:
这里,我们以J p (j)表示指标集J p 中位于j前面的元素个数。
而
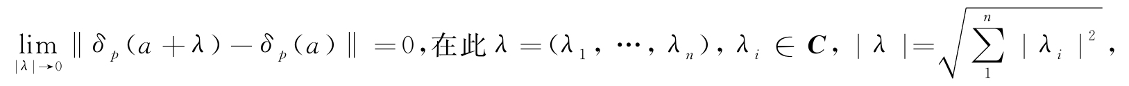
定理 6S p (a)为C n 中一闭集。
证明 当a=(a 1 ,…,a n )为n个有界线性算子时,J. L. Taylor[1]证明了a的谱是一闭集。对于我们的情况(a n 是闭算子),只要注意到:
(i)δ p (a+λ)-δ p (a)为有界线性算子且
(ii)δ p (a)为稠定闭算子。
则Taylor的证明完全可用。
本节中H为一复的Hilbert空间,a=(a 1 ,…,a n ),a i a j =a j a i (i,j=1,…,n-1),a n 为稠定闭算子,D(a n )=D,D∈Lata i (i=1,…,n-1),在D上a i a n =a n a i 。
命题7
δ(a)为
上稠定闭算子。
即δ(a)为
上稠定闭算子。
下面定理是F.H. Vasilescu[3]一个定理在a n 为闭算子情况下的推广。
定理8
a正则的充要条件是
。
这样δ(a)[D(δ(a))]=
。易证δ(a)又是一对一的,因为δ(a)为稠定闭算子,所以
。
反过来,若
,因为对于任何p,
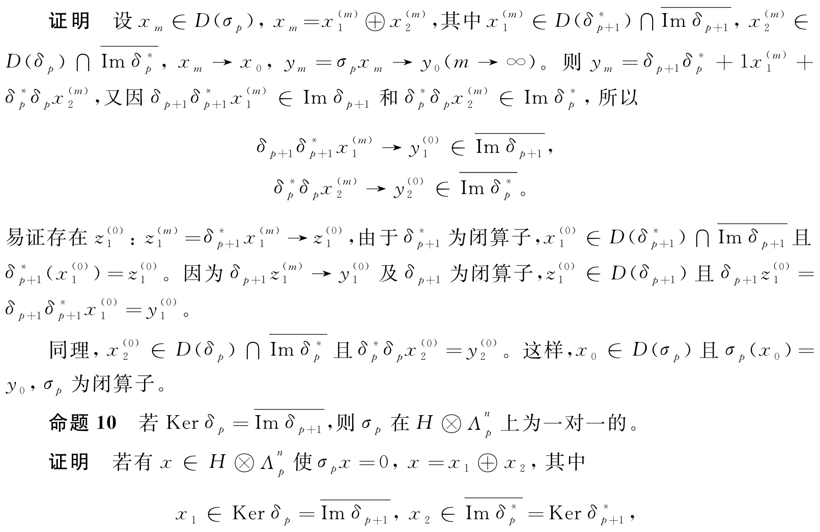
命题9 σ p 为一闭算子。
下面定理是Curto,R.E. [4] 一个定理在a n 为闭算子时的推广。
定理11
a正则的充要条件是
上可逆。
这样,
,则x∈Imδ
p+1
,Kerδ
p
=Imδ
p+1
,δ
p
正合,a正则。
[1]Taylor,J.L. A joint spectrum for several commuting operators ,J. Functional Analysis 6(1970),172—191.
[2]Taylor,J.L. The analytic functional calculus for several commuting operators . Acta Math. 125(1970),1—38.
[3]Vasilescu,F.H. A characterization of the joint spectrum in Hilbert spaces ,Rev. Roumaine Math. Pures et Appl. ⅩⅫ(1977),1003—1009.
[4]Curto,R.E. On the connecteness of invertible n-tuples ,Indiana University Math. J. 29,No.3 (1980),393—406.