



提要:
本文引进无界超广义标量算子的定义,然后证明:一个无界超广义标量算子为可分解算子的充要条件是
,其中F是C的闭集,K是紧子集且K⊂F,μ∉F。M是仅依赖于μ和F的常数。U是
型的谱分布,
。
,x∈X,supp f⊂K}。
自从Foias提出广义标量算子的概念以来,已经有多方面的推广
[1,2]
。文献[3]系统地研究了无界超广义标量算子,但限于实谱。[6]也给出了无界广义标量算子,但仅限于空间
。本文给出了更一般的谱在平面上的无界超广义标量算子的定义,导出一些基本性质。对一类正规的无界超广义标量算子,证明了谱映照定理,并且断定这类算子是有限可分解的且有无界谱容量
[4,5]
。
谱表示和强谱容量
沿用[3]的记法。记
为一正数列,满足
以上的(i),(ii),(iii)分别称为对数凸性,非拟解析性和可微性。
对序列{M k },正整数ν和复平面C的紧子集K,记
其中C
∞
(R
2
)表示平面上无限次可微函数空间,
(R
2
)是紧支集的无限次可微函数空间。再记
早已证明
都是环,见[1]。
定义1
(无界谱表示) 设X为复Banach空间,U是
中的映射,我们称U是一个谱表示,如果U满足:
(i)U是代数同态,即对任意的f,
和任意的复数a,β,有
(ii)U是连续的,
(iii)记G
n
={λ∈C,|λ|<n},存在
,使得I
n
在
的某邻域上等于1且对于任意的x∈X,有
。
注 如果条件(iii)改为下面的(iii)′,则本文的结论仍成立。
(iii)′对任意的x∈X,存在
,({f
n
}可随x而不同),使得
。
定义2
设U是
谱表示,对复平面C的任意的开子集G,命
这里∨表示在X中取线性闭包,若F是C的闭子集,则命
X[U](F)=∩{X[U](G),G⊃F,G是有界开集或∞的开邻域}。
在[4]中我们引入了如下的概念:
设X是复Banach空间,T是X上的闭算子且有非空预解集,其定义域为D T 。如果Y是X的闭子空间且T[Y∩D T ]⊂Y,那么称Y为T的不变子空间,记作
Y∈Inv(T)。
如果Y∈Inv(T)且对任意的Z∈Inv(T)由σ(T|Z)⊂σ(T|Y)可推出Z⊂Y,那么称Y是T的极大谱子空间,记作Y∈SM(T)。
如果对σ(T)的任意一个开覆盖
,其中G
1
是∞的开邻域,G
2
,…,G
n
都是有界开集,存在
,使得
,(ii)当i≠1时,Y
i
⊂D
T
,(iii)σ(T|Y
i
)⊂G
i
(i=1,2,…,n),那么称T是可分解的。如果对于σ(T)的由两个开集G
1
,G
2
组成的开覆盖,其中G
1
是∞的开邻域,G
2
是有界开集,存在Y
1
,Y
2
∈SM(T),使得(i)X=Y
1
+Y
2
,(ii)Y
2
⊂D
T
,(iii)σ(T|Y
i
)⊂G
i
,那么称T是2-可分解的。如果对于每一个Y∈SM(T),T|Y都是可分解的,那么称T是强可分解的。
记
为复平面C中闭子集的全体,S(X)为X的闭子空间全体,设ε是从
到S(X)中的一个映射。如果它满足
(i)ε(ϕ)=(0),ε(C)=X,
(ii)
,这里
,
(iii)对于C的任意一个开覆盖
,其中G
1
是∞的开邻域,有
那么ε称为一个谱容量。
如果条件(i),(ii)仍旧满足但(iii)由下面的(iii)′所代替,那么ε称为一个2-谱容量。
(iii)′对于C的任意开覆盖(G 1 ,G 2 ),其中G 1 是∞的开邻域,有
如果除(i),(ii)外还满足下面的(iv),则称ε为强谱容量。
(iv)对于每一个
,如果
是F的一个开覆盖,且G
1
是∞的开邻域,那么
。
谱容量(相应地或2-,或强)ε称为T所具有的,如果
(v)对每一个C的紧子集K,有ε(K)⊂D T ;
(vi)对每一个
,T[ε(F)∩D
T
]⊂ε(F),即ε(F)∈Inv(T);
(ⅶ)对每一个
,有σ[T|ε(F)]⊂F。
这里关于谱容量的定义与I. Erdelyi
[5]
的稍有差别,在[4]中我们证明了:对于复Banach空间X上的有非空预解集的闭算子T来说:(a)T有-2谱容量,T有谱容量,T2-可分解,T可分解四者等价而且T有强谱容量与T强可分解互相等价。(b)如果T有2-谱容量ε,那么对任意的
,有
,这里
命题1
对任意的
和C的开子集G,闭子集F,有
X [U] (G)∈Inv(U g ),X [U] (F)∈Inv(U g )。
证
对任意的x∈X
[U]
(G),有h
i
∈
和x
i
∈X使得Uh
i
x
i
→x,且supp h
i
⊂G。因U
g
有界,故
,又supp gh
i
⊂G,故U
g
x∈X
[U]
(G)。X
[U]
(F)是不变子空间X
[U]
(G)的交,仍为不变子空间。
命题2
设F⊂C是闭集,那么x∈X
[U]
(F)必须且只须对任意的满足(supp f)∩F=∅的
,有U
f
x=0。
证
必要性设x∈X
[U]
(F),如果
且(suppf)∩F=∅,那么有开集G⊃F(若F无界,则取G为∞的开邻域),使得(suppf)
,对y∈X
[U]
(G),有
,由于
,故U
f
y=0。
推论3
若K⊂C是紧集,记E(K)={x: U
φ
x=x,φ∈M(K)},其中M(K)表示在K的邻域上为1的
中的函数,那么
X [U] (K)=E(K)。
顺便指出,当F为无界闭集时,E(F)没有意义,因为
中函数的支集是紧的,但X
[U]
(F)仍有意义,因此我们更多地采用X
[U]
(F)进行研究。
命题6
设U:
→B(X)是一个谱表示。现定义线性算子S如下:命
DS=∪{X [U] (K),K⊂C是紧集}。
当x∈X
[U]
(K)时命
,这里λ
k
表示
中的一个函数在K的某邻域上等于λ,那么S有闭扩张。
定义3
命题6中线性算子S的最小闭扩张(记作A)称为
型广义标量算子。显然A是X上的稠定闭算子。
命题7
若U是
(R
2
)型谱表示,则对任意的
,U
φ
是有界广义标量算子,且σ(U
φ
)⊂φ(suppU)。
这里
,即V
λ
=U
φ
,故U
φ
是以V为谱表示的广义标量算子。由Foias的谱映照定理,即知σ(U
φ
)=suppV⊂φ(suppU)。
命题8
设A是
型广义标量算子,则对任何闭集F⊂C,X
[U]
(F)是A的ν空间,即X
[U]
(F)∈Inv(A)且σ[A|X
[U]
(F)]⊂σ(A)。若K⊂C是紧集,则
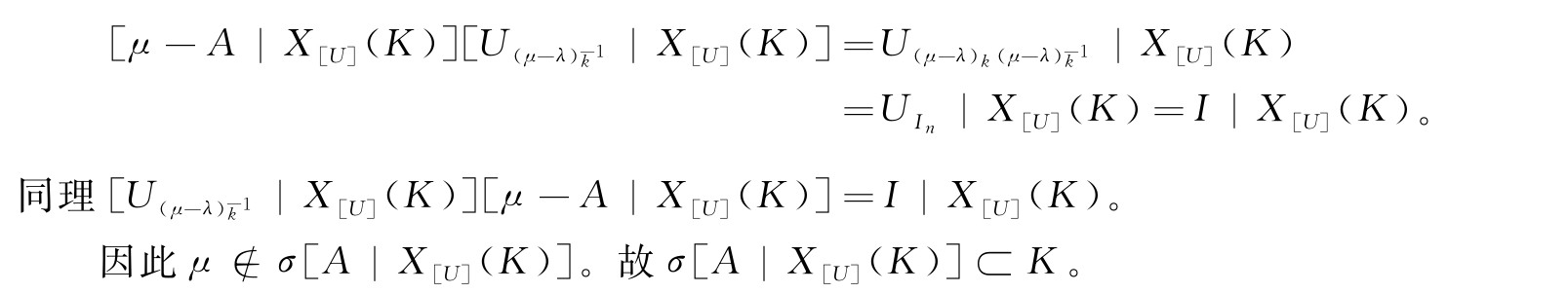
σ[A|X [U] (K)]⊂K。
证
先证X
[U]
(F)∈Inv(A)。如果x∈X
[U]
(F)∩D
A
,那么有x
n
∈X
[U]
(K
n
),使得x
n
→x且Ax
n
→Ax,这里K
n
⊂C都是紧集。对任何满足(suppφ)∩F=∅的
,由命题2知U
φ
x=0且U
λφ
x=0。故
。所以Ax∈X
[U]
(F)。故X
[U]
(F)∈Inv(A)。再证σ[A|X
[U]
(F)]⊂σ(A)。对任意的λ∈ρ(A),我们只要证R(λ,A)X
[U]
(F)⊂X
[U]
(F)。任取开集G⊃F(如果F无界,则取G为∞的开邻域),设x∈X
[U]
(F),那么x∈X
[U]
(G)。故有f
i
∈
,x
i
∈X,使得suppf
i
⊂G且
。因为
因而R(λ,A)x∈X [U] (F),于是R(λ,A)X [U] (F)⊂X [U] (F)。
最后证σ[A|X
[U]
(K)]⊂K。对任意的μ∉K,用(μ-λ)
K
,
分别表示在K的某邻域上分别为(μ-λ)和(μ-λ)
-1
的
中的函数,那么
命题9
型广义标量算子A具有单值扩充性。
证
设f: G→D
A
在连通的有界开集G⊂C上解析且满足(μ-A)f(μ)=0(μ∈G)。我们证f(μ)=0(μ∈G)。对任意的
,必有(μ-A)U
g
f(μ)=0。事实上对任意固定的μ∈G存在y
n
∈X
[U]
(K
n
)使得y
n
→f(μ)且Ay
n
→Af(μ)。这里K
n
⊂C都是紧集。因U
g
有界,故U
g
y
n
→U
g
f(μ)且AU
g
y
n
=U
g
Ay
n
→U
g
Af(μ)。所以U
g
f(μ)∈D
A
,且AU
g
f(μ)=U
g
Af(μ)。因此(μ-A)U
g
f(μ)=U
g
(μ-A)f(μ)=0。现取开集G
1
,G
2
使得
,再取
使得supph⊂G
2
且当λ∈G
1
时h(λ)=1,命g
1
=g(1-h),g
2
=gh,那么g
1
,g
2
∈
且当μ∈G时,有
记
,这里D是suppg的一个有界开邻域。当μ∈G时,
命题10
如果A是
型广义标量算子,则对任意的
,有
这就证明了σ(U g x,A)⊂σ(x,A)。
定义4
设A是
型广义标量算子,U是其谱表示。如果对任意固定的闭集F⊂C和μ∉F,存在常数M=M(μ,F),使得
对任意的紧集K⊂F成立,则称A是正规的。
命题11
设A是
型广义标量算子,U是其谱表示,则suppU⊂σ(A)。如果A还是正规的,则suppU=σ(A)。
于是μ∈ρ(A)且R(μ,A)=Tμ。因此σ(A)⊂suppU。
命题12
设A是
型广义标量算子,A的预解集非空,U是其谱表示,那么下列四者等价:(i)A是正规的,(ii)A强可分解,(iii)A可分解,(iv)对任何闭集F⊂C,X
A
(F)是闭的。
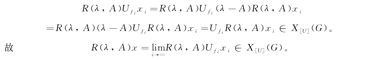
证 (i)⇒(ii)用与命题11相类似的方法,可以证明,在(i)的条件下的任何闭集F⊂C,有σ[A|X [U] (F)]⊂F,命ε(F)=X [U] (F),再由命题5和命题8以及定义3知它是A所具有的强谱容量。因此A强可分解。(ii)得证。(ii)⇒(iii)和(iii)⇒(iv)都是显然的。现证(iv)⇒(i)。我们先在(iv)的条件下证明对任意的闭集F⊂C,有
X [U] (F)=X A (F)。
先证对任意的紧集K⊂C有X [U] (K)=X A (K)。因为
x∈X [U] (K)⇒σ(x,A)⊂σ[A|X [U] (K)]⊂K⇒x∈X A (K),
所以X
[U]
(K)⊂X
A
(K)。反之若x∈X
A
(K),那么σ(x,A)⊂K。由命题10,对任意的
有σ(U
g
x,A)⊂K。显然有解析函数f:ρ(U
g
x,A)→D
A
,使得当μ∈ρ(U
g
x,A)时,(μ-A)f(μ)=U
g
x,取有界开集G⊃suppg,再取
使得supph⊂G且在suppg上h取值为1,这样μ∈ρ(U
g
x,A)时U
h
f(μ)解析,
且AU
h
f(μ)=U
h
Af(μ)。因此(μ-A)U
h
f(μ)=U
h
(μ-A)f(μ)=U
h
U
g
x=U
g
x。所以
,故σ(U
g
x,
。对任意的满足(suppg)∩K=∅的
,可取G使得
。故这时
所以U
g
x=0。这样X
[U]
(K)=X
A
(K)。再证对任何闭集F⊂C,有X
[U]
(F)=X
A
(F)。若x∈X
[U]
(F),则有x
n
∈X
[U]
(K
n
)使得x
n
→x,这里K
n
={λ∈F,|λ|≤n},所以x
n
∈X
[U]
(K
n
)=X
A
(K
n
)⊂X
A
(F)。因X
A
(F)闭,故x∈X
A
(F)。所以X
[U]
(F)⊂X
A
(F)。另一方面,若x∈X
A
(F),那么σ(x,A)⊂F。由定义1,有
使得
。因为
且存在有界闭集Δ
n
⊂C,使得
,所以
。故
X
A
(F∩Δ
n
)=X
[U]
(F∩Δ
n
)⊂X
[U]
(F)。因此x∈X
[U]
(F)。于是X
A
(F)⊂X
[U]
(F)。这样我们就证明了X
A
(F)=X
[U]
(F)。因而σ[A|X
[U]
(F)]⊂F。对任意的μ∉F。命M=M(μ,F)=‖R[μ,A|X
[U]
(F)]‖,因为对于任意的有界闭集K⊂F,有
无界
广义标量算子不仅强可分解,而且还是无界单位可分解,见[8]。
[1]伍镜波.非拟解析广义标量算子[J].复旦大学学报,1965(1).
[2]张奠宙,沈祖和.非拟解析算子与广义标量算子[J].复旦大学学报,1966(1).
[3]王声望.
型算子及其预解式[J].中国科学数学专辑,1979.
[4]王漱石.封闭可分解算子[J].华东师范大学学报,1981(3).
[5]Erdelyi,I. Unbounded operators with spectral capacities, J. Math. Anal. Appl. ,52(1975)404—414.
[6]Kritt.,A Theory of unbounded generalized scalar operators, Amer. Math. Proc. ,32: 2(1972).
[7]Colojoarǎ,I. and Foias,C.,Theory of Generalized Spectral operators,Gordon ε Breach,New York,1968.
[8]张奠宙,王漱石.无界可单位分解算子[J].华东师范大学学报,1981(4).