



Abstract: Let A=(A
1
,...,A
n
) be an n-tuple of double commuting hyponormal operators. It is proved that: 1. The joint spectrum of A has a Cartesian decomposition: ReSp(A)]=S
p
(ReA),Im[Sp(A)]=Sp(ImA); 2. The joint resolvent of A satisfies the growth condition:
;3. If 0∉σ(Ai),i=1,2,...,n,then
If A 1 ,A 2 ,...A n are mutually commuting linear bounded operators on Hilbert space H,then the joint spectrum of n-tuples A=(A 1 ,...,A n ) can be defined in terms of the Koszul complex by J.L. Taylor. Several analysts have investigated the joint spectral properly of an n-tuple of hyponormal operators. In this paper,we shall give some new results about it,for example,the property of the Cartesian decomposition of joint spectrum,of the growth of joint resolvent,of the joint normaloid,etc.
We denote the Taylor joint spectrum of commuting n-tuple A=(A
1
,...,A
n
) by Sp(A,H). We shall say that a point z=(z
1
,...,z
n
) of
is in the joint approximate point spectrum σ
π
(A) if there exists a sequence
such that
‖(A i -z i ) x k ‖→0 (k→∞),i=1,2,...,n.
We say that
is in the joint compressive spectrum of A,if z∈σ
x
(A
*
),where
. We denote the joint norm of A:
the joint spectral radius:
the joint numerical range:
W(A)={((A 1 x,x),(A 2 x,x),...,(A n x,x)): x∈H,‖x‖=1}
and the joint numerical radius: ω(A)=sup{|λ|: λ∈W(A)}.
If ω(A)=‖A‖,we say A is joint normaloid.
Muneo Chō has proved
and ω(A)=‖A‖ iff
=‖A‖
[6,7]
.
Now,we quote some theorems which will be used in our discussion.
Theorem A (Taylor). If A is a commuting n-tuple of operators,U is a neighbourhood of Sp (A),f 1 ,...,f m are analytic functions on U. Let f: U→C m be defined by f(z)=(f 1 (z),...,f m (z)) and let f(A)=(f 1 (A),...,f m (A)). Then we have
Sp(f(A),H)=f(Sp(A,H)).
Theorem B
(Curto)
[5]
. Let H be a complex Hilbert space,A=(A
1
,...,A
n
) be an n-tuple of mutually commuting linear bounded operators,
be a chain complex induced by A,where
are the boundary operators. Let
denote the conjugate operator of
and construct an operator
on
as follows
Then A=(A
1
,...,A
n
) is regular in the sense of Taylor's if and only if
has an inverse
.
Theorem C
(Curto
[5]
,Corollary 3.14).
Let A=(A
1
,...,A
n
) be a commuting n-tuple
,ϕ: {1,...,n}→{1,*}
be a function and
. Assume that ϕ(A
i
)ϕ(A
j
)=ϕ(A
j
)ϕ(A
i
)
for all i,j. Then Sp
(ϕ(A))={ϕ(λ): λ∈Sp(A)}.
If A∈B(H),A * A-AA * ≥0,we say A is hyponormal. If A * A-AA * ≤0,we say A is cohyponormal. Operator A will be said to be seminormal,if A is either hyponormal or cohyponormal.
An n-tuple of operators A=(A
1
,...,A
n
),A
i
∈B(H),will be said to be double commuting,if A
i
A
j
=A
j
A
i
,
,i≠j,i,j=1,2,...,n.
Let A k =B k +iC k ,k=1,2,...,n,be the Cartesian decomposition of A k ∈B(H). We denote
Re A=(Re A 1 ,...,Re A n )=(B 1 ,...,B n ),
Im A=(Im A 1 ,...,Im A n )=(C 1 ,...,C n ),
where A is double commuting,and so Re A and Im A are commuting n-tuples. Thus,we can define their joint spectrum.
Lemma 2.1 Let A=(A 1 ,...,A n ) be an n-tuple of normal operators,Then we have Cartesian decomposition of the joint spectrum:
Re[Sp(A)]=Sp(Re A),Im[Sp(A)]=Sp(Im A).
Proof For any n-tuple of normal operators,it is well known that the joint spectral mapping theorem holds. Since the mappings (z 1 ,...,z n )→(Re z 1 ,...,Re z n ),(z 1 ,...,z n )→(Im z 1 ,...,Im z n ) are continued,we can prove this lemma by operator calculus.
Q.E.D.
Now,we recall the definition of symbol of an operator (cf.[1]). Let T∈B(H),{A(t)|0≤t<∞} be a contractive semigroup of operators with one parameter. Its generator is iA,i.e. A(t)=exp(iAt). For t<0,we set A(t)=A(-t)
*
. If
exists,we shall call
the symbol of T for A. We denote
The following theorem is a generalization of Xia's theorem (cf.[1] Ⅱ. Theorem 1.6).
Theorem 2.2 Let A=(A 1 ,...,A n ) be a double commuting n-tuple of operators. A k =B k +iC k is the Cartesian decomposition of A k ,k =1,2,...,n. We have
(i) If
,j=1,2,...,n,then Re σx(A)⊃σ
x
(Re A);
(ii) If
,j=1,2,...,n,then Im σ
x
(A)⊃σ
x
(Im A).
Proof We confine the proof to (i),and that of (ii) is similar.
Let B=B 1 +B 2 +...+B n ,B(t)=exp(iBt)(t≥0),B(t)=B(-t) * (t<0),B j (t)=exp(iB j t)(t≥0),B j (t)=B j (-t) * (t<0). Since A=(A 1 ,...,A n ) is double commuting,it is easy to see that {B i (t),B j (t): i,j=1,2,...,n} is a commuting tuple for any t. Morever,B i (t) and B i (-t) commute with C j ,i≠j. By our present hypothesis,for each j,
For simplicity,we denote this limit by
,j=1,2,...,n.
Similarly,we can show that
are also commuting tuples of normal operators (A is double commuting). Put
Now,let b=(b 1 ,...,b n )∈σ π (Re A)=σ π (B)=σ π [Re(B+iC ± )]. We have Sp(A)=σ π (A) [8] ,if A is a commuting tuple of normal operators. Thus,by Lemma 2.1,there exists c=(c 1 ,...,c n )∈Sp(C ± ) and a sequence {g m },g m ∈H,‖g m ‖=1,m=1,2,... (or m=-1,-2,...) such that
By the definition of symbol of operators,and
we can find a real number
for each g
m
such that
Denote the class of operators which commute with B by[B]′. Since B=B
1
+...+B
n
is selfadjoint,we have
(cf.[1],Ⅱ,Lemma 1.1). Thus
Let f
m
=exp(-it
m
B) g
m
. Then ‖f
m
‖=1. Hence by (*),(**) and B
j
,
,j=1,2,...,n,it follows that
Corollary 2.3 If A=(A 1 ,...,A n ) is a double commuting tuple of hyponormal operators,then
Re(σ π (A))=σ π (Re A),Im(σ π (A))=σ π (Im A).
This result was obtained by Wei (cf.[9]) early.
Proof
Since A
j
=B
j
+iC
j
are hyponormal,we have
,and C
j
∈
,j=1,2,...,n. (cf.[1],Ⅱ,Theorem 2.6). Thus,by Theorem 2.2,we have Re(σ
π
(A))⊃σ
π
(ReA),and Im(σ
π
(A))⊃σ
π
(ImA). On the other hand,in general,σ
jπ
(T)=σ
π
(T),where T=X+iY is hyponormal,σ
jπ
(T)={λ=x+iy: ∃f
n
∈H,‖f
n
‖=1 such that
Theorem 2.4 If A=(A 1 ,...,A n ) is a double commuting tuple of hyponormal operators,then its joint spectrum has a Cartesian decomposition.
Proof It is sufficient to prove that Re[Sp(A)]=Sp[ReA]. From Corollary 2.3 we can see that
Sp(ReA)=σ π (ReA)=Re[σ π (A)]⊂Re[Sp(A)],
where the first equality may be followed by the fact that Re(A) is a commuting tuple of normal operators. We shall prove Sp(ReA)⊃Re(Sp(A)) under an induction.
For n=1,the theorem holds (cf.[1],Ⅱ,Theorem 3.2).
For n≥2,assume that it holds for a double commuting (n-1) tuple of hyponormal operators. Then we shall prove that the theorem also holds for n. Let λ=(λ
1
,...,λ
n
)∈Sp(A). It is well known that
is not invertible
[5]
. The Berberian extension of A=(A
1
,...,A
n
) is denoted by
[11]
. It is easy to see that
is also a double commuting n-tuple of hyponormal operators,and we have
Since
is double commuting (n-1)-tuple of hyponormal operators,and
,we see that
is not regular in the sense of Taylor's (by the assumption of the induction).
Howerer,if we restrict the n-tuple of operators
in the subspace
,we shall see that
,0) is singular,and so is T. It is well known that the n-tuple T is regular if and only if
is regular,where T=(T
1
,...,T
n
) is a normal commuting n-tuple
[8]
. Hence we have
Corollary 2.5 If A=(A 1 ,...,A n ) is a double commuting n-tuple of seminormal operators,then its joint spectrum has a Cartesian decomposition.
Proof
There exists a function ϕ: {1,2,...,n}→{1,*} such that ϕ(A)=(ϕ(A
1
),ϕ(A
2
),...,ϕ(A
n
)) is a double commution n-tuple of hyponormal operators,where
. By §1,Theorem C and Theorem 2.4,we can come to the conclusion.
Definition 2.6 If A=(A 1 ,...,A n ) is a commuting n-tuple of operators,we call (A-λ) for λ∉Sp(A) the joint resolvent of A.
Lemma 2.7
(Muneo Chō)
[7]
If A=(A
1
,...,A
n
) is a double commuting n-tuple of hyponormal operators,then for any
we have
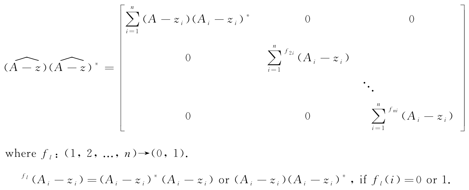
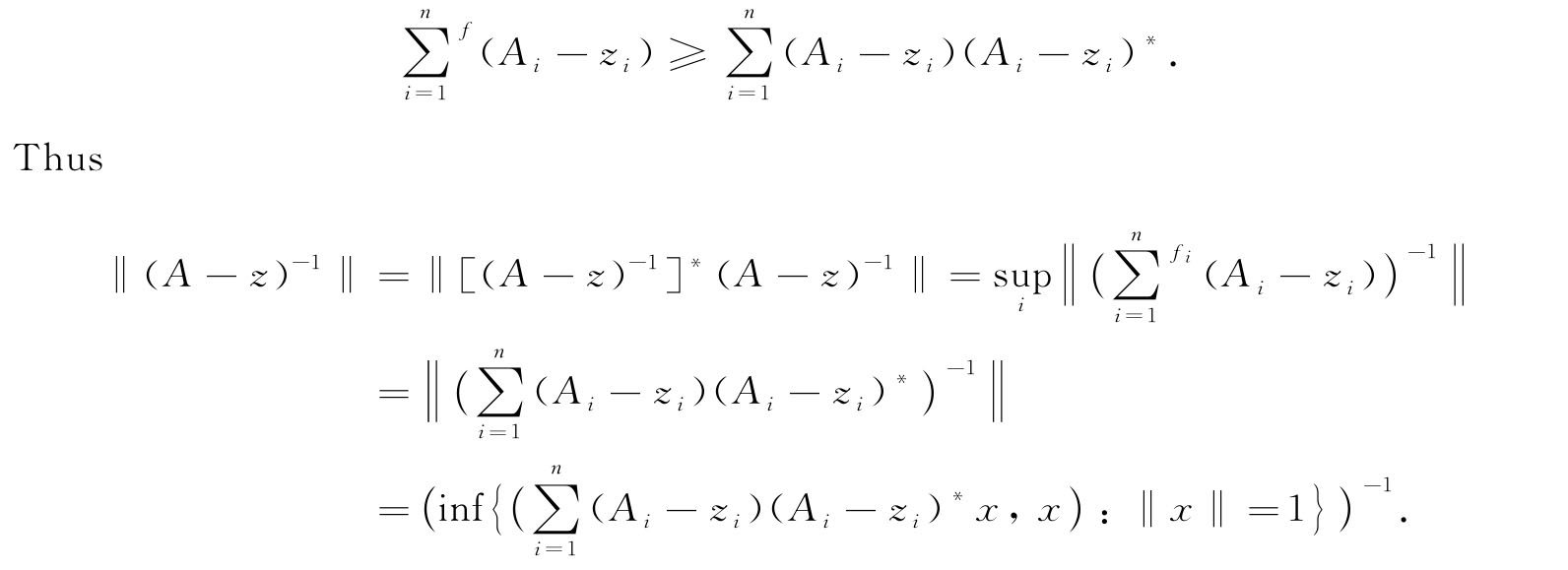
Theorem 2.8 If A=(A 1 ,...,A n ) is a double commuting n-tuple of hyponormal operators,then for any z=(z 1 ,...,z n )∉Sp(A),we have
‖(A-z) -1 ‖=[dist(z,Sp(A))] -1 .
Proof It is well known that (cf.[5],p.135)
Since A=(A 1 ,...,A n ) is hyponormal,for any f: (1,2,...,n)→(0,1),we have
By Lemma 2.7,we have
This completes the proof.
Q.E.D.
Now,we consider the seminormal operators. Let A=(A
1
,...,A
n
) be a double commuting n-tuple of seminormal operators,ϕ: (1,2,...,n)→(1,*),and ϕ(A
i
)=
. We set ϕ(A)=(ϕ(A
1
),...,ϕ(A
n
)). Curto
[5]
showed that Sp(ϕ(A),H)={ϕ(λ): λ∈Sp(A)}. If p is a permutation of (1,2,...,n),p(A)=(A
p(1)
,...,A
p(n)
),then
,U,V are unitary operators (cf.[5],p.137). Thus,
. If A exsists,then p(A) also has an inverse (cf.[3]).
Theorem 2.9 If A=(A 1 ,...,A n ) is a double commuting n-tuple of seminormal operators,then for any z=(z 1 ,...,z n )∉Sp(A),we have
Theorem 3.1 If A=(A 1 ,...,A n ) is a double commuting n-tuple of semi-hyponormal operators,then Sp(A)=σ ρ (A),where σ ρ (A) is the joint compressive spectrum of A.
Q.E.D.
Muneo Chō and Makoto Takaguchi have proved that every double commuting n-tuples of hyponormal operators satisfies r sp (A)=‖A‖. In the case of semi-hyponormal operators,we conjecture that it remains true. But we now only prove two particular cases.
Corollary 3.2
If A=(A
1
,...,A
n
) is a double commuting n-tuple of semi-hyponormal operators,A
i
=U
i
|A
i
|,where U
i
are unitary,dim
,i=1,2,...,n,then
r Sp (A)=‖A‖.
Proof
By Theorem 3.1,it is easy to see that A-Z is invertible iff
is invertible. For any
,we can find Z
i
∈σ(A
i
) such that
(cf.[1],Ⅱ,Theorem 3.3). Now,we may apply the proof which was used by M. Chō and M. Takaguchi
[7]
to the case of semi-hyponormal operators. Then the assertion will be proved.
Q.E.D.
If B is an isometric operator,we set
iff there is ε 1 >0 such that
iff there is ε 2 >0 such that
Then we can establish the lemma.
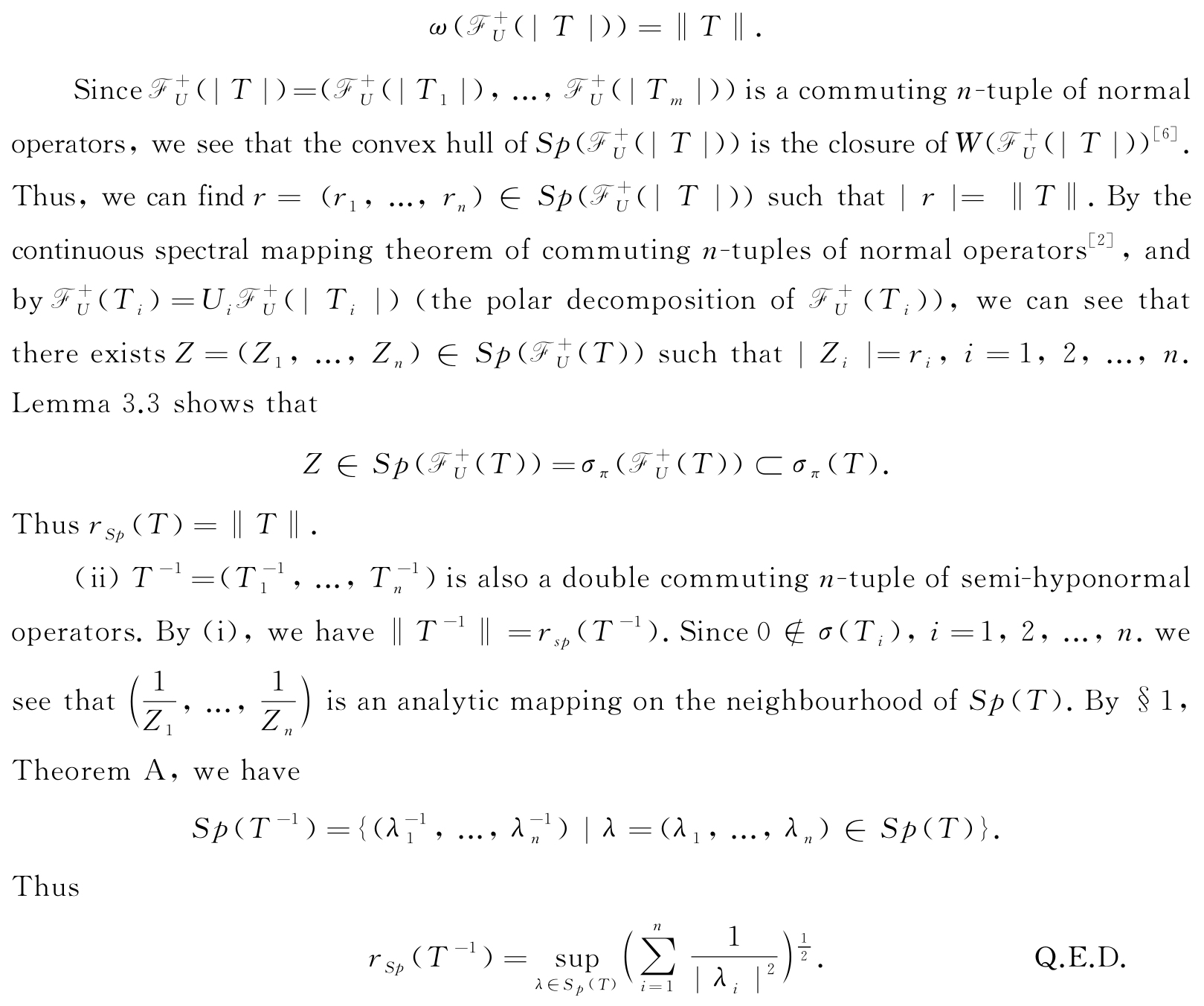
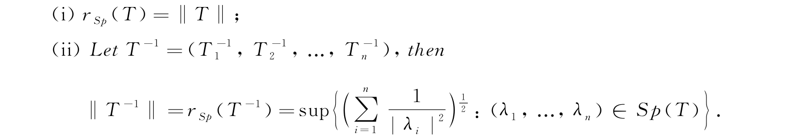
Theorem 3.4 If T=(T 1 ,T 2 ,...,T n ) is a double commuting n-tuple of semi-hyponormal operators,and if 0∉σ(T i ) i=1,2,...,n,then we have
Proof Let Ti=U i |T i | be the polar decomposition of T i ,i=1,2,...,n. Since 0∉σ(T i ),we see that Ui is unitary,and |T i | is invertible. It is easy to see that (U 1 ,...,U n ) and(|T 1 |,...,|T n |) are double commuting and U i |T j |=|T j |U i ,i≠j. Let U=U 1 ...U n ,where U is unitary. Since T i are semi-hyponormal,we have
Thus ‖T‖=‖|T|‖.
Now,since |T|=(|T
1
|,...,|T
n
|) is a commuting n-tuple of normal operators,we have ω(|T|)=‖|T|‖=‖ T‖
[6]
. Put
. Then
by the inequlity
,i=1,2,...,n. On the other hand
Thus
Finally,if T=(T 1 ,T 2 ,...,T n ) is a double commuting n-tuple of operators,where T i are semi-hyponormal or semi-cohyponormal,then Corollary 3.2 and Theorem 3.4 are also true. The proofs are omitted.
[1]Xia Daoxing,The spectral theory of linear operators Ⅰ,the Hyponormal operators and the semi-hyponormal operators. Peking,Science Press,1983.
[2]Zhang Dianzhou,Huang Danrun,Product spectral measure and Taylor's spectrum,KeXue TongBao,3(1985),168—171.
[3]Taylor,J.L.,A joint spectrum for several commuting operators, J. Funct. Anal. ,6(1970),172—191.
[4]Taylor,J.L.,The analytic functional calculs for several commuting operators, Acta malh. ,125(1970),1—38.
[5]Curto,R.E.,Fredholm and invertiable n-tuples of operators,The deformation problem, Trans,Amer. Math Soc. ,266(1981),129—159.
[6]Chō,M. and Takaguchi,M.,Boundary points of joint numerical range, Pacific J. Math. ,95(1981),129—159.
[7]Chō,M. and Takaguchi,M.,Some classes of commuting n-tuples of operators (to appear in Studia Math.).
[8]Chō,M. and Takaguchi,M.,Identity of Taylor's joint spectrum and Dash's joint spectrum,Studia Math. TLXX (1982),225—229.
[9]Wei Guoqiang,The joint spectral decomposition for several hyponormal operators, East normal Uni. Jour . (Nat. Sci),4(1984).
[10]Bunce,J.W.,The joint spectrum of commuting nonnormal operators, Proc. Amer. Math. Soc. ,29(1971),499—504.
[11]Berberian,S.K.,Approximate proper vectors, Proc. Amer. Math. Soc. ,13(1962),111—114.
[12]Buont,J. and Waohwa,B.L.,On joint numerical ranges, Pacific. J. Math. ,95: 1(1981).