购买
下载掌阅APP,畅读海量书库
立即打开
畅读海量书库
扫码下载掌阅APP

第五节
我国人口发展与植被覆盖的区域分析

一、分析方法及数据处理

前文虽已按国家有关文件把我国划分为四大经济区域,对各区域的人口总量、人口结构和植被覆盖现状进行了阐述。但是,本研究着重考察的是人口发展与植被覆盖变化的耦合关系,基于经济基础的区域划分并不能完全地反映区域内部两者关系的相似性,也不能充分反映区域之间两者关系的差异性。因此,我们认为有必要从人口发展与植被覆盖变化耦合关系的角度出发,对我国31个省、自治区、直辖市进行聚类分析,并以此为依据,对各区域提出具有针对性的政策建议。

目前使用得较多的聚类方法主要有系统聚类法(hierarchical cluster)、划分聚类法(partitioning cluster)、基于密度的方法(density-based method)等。本文选用Ward系统聚类法,以期达到同类地区的内部差异较小,而不同类地区之间的差异较大的目的。Ward系统聚类法来源于方差分析思想,由Ward最早提出。它用离差平方和的增量来度量样本之间的邻近性,每次合并两个不同的样本时,力求两样本合并后离差平方和的增量最小。

Ward系统聚类法的实现过程如下:

步骤1:用离差平方和的增量来度量任意两样本间的距离,建立邻近度矩阵;

步骤2:根据计算结果,合并两个离差平方和的增量最小的样本,生成新的样本;

步骤3:更新新样本和未被合并的样本之间的邻近度矩阵,再次合并离差平方和的增量最小的样本,直到所有样本合并为一类为止。

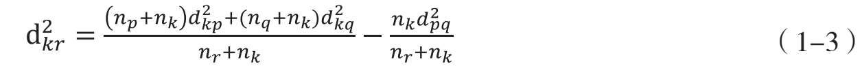
假定某一个步骤将类G p 和类G q 合并为新类G r ,并且类G p 包括 n p 个样本,类G q 包括 n q 个样本,则新类G r 包括 n r = n p + n q 个样本。这样,任意一个包括 n k 个样本的类G k 到类G r 的距离为:

本文以全国31省市区作为样本,选取AMNDVI、人口密度、人口城镇化率、第二产业就业人口比例、劳动力人口比例5项统计指标,对各省市的植被与人口协调发展状况进行Ward聚类分析。原始数据如表1-10所示。

表1-10 2010年我国31省市区人口发展与植被覆盖状况

注:AMNDVI数据来源于MOD13A3数据集,人口数据来自第六次人口普查数据。

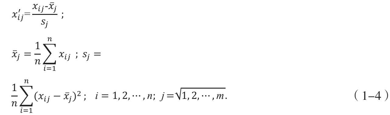
为了消除指标之间不同量纲的影响,在进行聚类之前,我们采用标准得分(Z-Score)对原始数据进行标准化处理,公式如下:

式中, n 为样本个数; m 为统计指标个数; 为第 i 个样本的第 j 个变量的统计数据标准化值; 为第 i 个样本的第 j 个变量的原始统计数据; n 个样本的第 j 个变量的平均值。

全国31个省市区6项统计指标标准化后的数据见表1-11。

表1-11 2010年我国31省市人口发展与植被覆盖状况标准化值

(续表)

二、区 域 分 类

利用SPSS16.0统计分析软件对标准化数据进行Ward聚类分析,样本间的距离采用欧氏距离平方(Squared Euclidean distanc)度量。聚类结果用树形图表示,如图1-26所示。

图1-26 我国31省市人口发展与植被覆盖状况分类树形图

根据聚类树形图,可以把31省市区的人口发展与植被覆盖状况分成4类,每一类对应的地区和各指标的平均值如表1-12所示。

表1-12 我国31省市人口发展与植被覆盖状况分类结果

三、分区域特征与建议

根据分类结果,我们对以上4类区域特征进行详细分析,并提出推动相应地区可持续发展的政策建议。

第一类是中等植被覆盖、高人口密度、高度城镇化区域,包括北京、天津、上海3个地区。这些地区的平均AMNDVI为0.682,植被覆盖状况尚好。平均人口密度为1 692人·km -2 ,平均城镇化率和受大学教育人口比例分别为84.90%和23.62%,均远远高于其他四类区域,为人口最稠密、城镇化率最高,高学历人口最集中的地区,同时也是经济资源最集中的区域。第一类区域2010年年底总人口占全国人口的比例为4.15%,而GDP却占了全国的10.10%。按照经济学规律,当某个地区的经济聚集度高于其人口聚集度的时候,该地区必定吸引更多的人口聚集。因此可以推断,未来较长一段时间内,人口在第一类区域内保持快速增长的趋势难以改变。根据前文回归结果,人口增长率每提高1个百分点,AMNDVI增长率就要降低0.887个百分点。这就意味着,人口增长给植被覆盖带来的消费破坏效应在短期内无法消除。如果要保持植被覆盖现状,就必须降低劳动密集型工业产业比例,加快发展现代服务业,增加现代服务业人口就业比例;依托高校集中的优势,加强公民环境保护教育,提高人口整体素质;继续推进人口城镇化发展,节约建设用地,为生态发展腾出更大空间。

第二类是低植被覆盖、低人口密度、低城镇化区域,包括西藏、甘肃、青海等5个地区。这些地区的平均AMNDVI为0.322,是全国植被覆盖度最低的区域;平均人口密度只有41人·km -2 ,其不足第一类地区的1/40;平均城镇化率38.82%,平均第二产业就业人口比例为11.61%,均为全国最低水平。该类区域的整体经济聚集度略低于人口聚集度,在未来一定时期内人口大规模增长的可能性不大。因此,这类地区应该充分利用人口密度低、自然风景独特等优势,大力发展旅游服务业;加快特色小城镇发展,推动人口城镇化;加大基础教育的投入力度,努力改善办学条件,促进基础教育均衡发展;适当发展对环境损害低、污染少的劳动密集型工业,满足当地人口就业需要。

第三类是高植被覆盖、人口密度较高、第二产业就业人口比例高的区域,包括江苏、浙江、福建和广东4个经济发达省份。它们的平均AMNDVI为0.769,总体植被覆盖较好。其平均人口密度为533人·km -2 ,远高于内陆地区。因大力发展劳动密集型产业,该区域吸引了大量内地的劳动力,第二产业就业人口比例高达44.19%,为全国最高。这类区域应该加快产业转移和结构升级,逐渐淘汰高能耗、高污染与低附加值产业,腾出空间发展高技术、高附加值产业;引进现代服务业高端人才和高新技术人才,加快发展现代服务业;继续推进人口城镇化发展,推进土地节约集约利用,腾出生态建设空间。

第四类是高植被覆盖、低城镇化、第二产业就业人口比例低的区域,包括河北、山西、内蒙等19个地区。这些地区的平均AMNDVI为0.763,是全国植被覆盖较好的区域。其平均城镇化率为46.52%,平均第二产业就业人口比例为17.40%,均低于全国平均水平。这类区域首先要解决的是经济发展问题,应鼓励从经济发达地区引进发展劳动密集型工业产业,通过工业化带动城镇化,加快人口向城镇集聚,促进土地节约集约利用。但对高能耗、高污染产业的引进要特别慎重,避免走先污染后治理的老路。 Lmakeqx1Bz/cYiJzqAy+FTwn7IZBgAegwO/GcAXcbmvrn6eCeotEoAR9vwRdEojC

点击中间区域
呼出菜单
上一章
目录
下一章
×