购买
下载掌阅APP,畅读海量书库
立即打开
畅读海量书库
扫码下载掌阅APP

广东省R&D资本存量的测度、生产效率与政策效应

【摘要】 本文的研究目的旨在计算广东省R&D资本存量,探讨R&D资本化对GDP的影响,并以此考察工业企业R&D生产效率的影响因素及相关政策效果。本文在前人文献的基础上,考虑到工业在国民经济中的重要性,采用2010—2020年广东省及21 个地市工业企业面板数据,使用永续盘存法测算了广东省及21个地市的R&D资本存量,并使用R&D强度,更好地反映了R&D投入状况。在计算R&D资本存量的基础上,本文构建柯布-道格拉斯知识生产函数模型,发现R&D资本存量和研发人员投入对R&D产出具有显著正效应,但研发人员产出弹性远高于资本存量,其中全时、非全时工作人员比对新产品销售收入也具有显著正效应。同时,企业规模、高新技术企业减免税对R&D产出均具有显著正效应,但国有产权增加会导致R&D产出的下降,另外,境外技术引进仅对新产品销售收入具有显著正效应。最后,我们使用双重差分(DID)模型和平行趋势检验对省内21 个地市的政策进行评估,发现政策实施4年后对R&D劳动投入具有显著负效应,说明政策实施导致企业R&D劳动力投入下降,对广东省“十二五”后相关地市R&D政策效应的评估为广东省未来R&D政策的制定提供了重要参考。

【关键词】 R&D资本存量;GDP影响度测算;知识生产函数;DID模型;生产效率;政策效应;高质量发展

一、前言

2008年《国民账户体系》(SNA)将R&D产出作为资本形成纳入GDP核算,自此对R&D资本存量的研究成为统计核算发展的新方向。2014 年,深圳市开创性地将R&D支出纳入GDP核算的研究,结果显示2013—2015年深圳R&D支出对GDP的贡献率分别为2.51%、2.44%和2.51%。随后深圳经验被写入《R&D支出纳入GDP核算方法研究》,在此基础上,2016年国家统计局发布《国家统计局关于改革研发支出核算方法修订国内生产总值核算数据的公告》,全国范围开始正式实施R&D支出核算方法改革。自此,R&D资本存量的测度成为国家R&D统计的重要方向。本文在《R&D支出纳入GDP核算方法研究》的基础上进一步深入研究,将广东省及21个地市R&D资本存量及其对GDP的影响进行阐述,并以此构建模型探讨广东省R&D生产效率及相关政策效应。

本文的研究具有4个重要意义:一是在深圳创新及国家统计局发展规划的基础上,深入探讨广东省近10年R&D资本存量及将其纳入GDP的影响,有助于进一步与国际统计标准对接,对国家统计局关于研发支出核算的改革具有重要参考价值。二是研究R&D资本存量对考察工业企业R&D生产效率的影响因素具有重要理论意义。约瑟夫·阿洛伊斯·熊彼特(Joseph Alois Schumpeter)在创新理论时期开始强调创新在发展中的作用,西方出现大量实证研究集中解释创新的影响因素,近年经济学家尝试构建知识生产函数以测算影响R&D生产效率的因素。经济模型中R&D投入应该以R&D资本存量来测算,但由于早期R&D资本存量数据尚不明确,实证研究往往用R&D支出或其滞后值来代表R&D投入,容易带来结果偏差。本文以广东省R&D资本存量测度为基础,测算R&D资本存量对R&D生产效率的影响,有助于补足早期知识生产效率研究的不足,具有理论研究意义。三是本研究的结论对促进区域高质量发展具有重要实践意义。2010年是中国宏观经济的分水岭,迎来刘易斯拐点 ,之后中国经济增速逐步回落,进入结构转型阶段,经济面临从高速增长转向高质量发展。广东省肩负粤港澳大湾区高质量发展重大国家战略,将坚持“中央要求、湾区所向、港澳所需、广东所能”,携手港澳推动国际一流湾区和世界级城市群建设。工业作为立国之本,使用广东省工业数据测算中国工业企业R&D生产效率对推动产业升级和中国高质量发展至关重要,因此该研究具有重要的实践价值。四是本文通过对广东省R&D扶持政策构建DID模型进行分析,探讨政策对R&D资本存量和R&D资本存量中劳动力部分的不同影响,以此做出更科学的政策评估,有利于未来R&D政策的制定和发展,对推进R&D政策效应研究和地区高质量增长具有重要意义。

由于数据获取的限制,本文研究还有以下不足:首先,尽管我们尽可能多地使用了控制变量,但由于地市数据并不如省一级数据详细,我们并没有使用早期文献中例如国有工业企业固定资产净值年平均额等地市数据作为控制变量,因此在研究结论上可能存在细微差异;其次,由于篇幅限制,我们在政策评估方面并没有进一步讨论政策实施对新产品销售收入和有效专利的直接影响;最后,由于地市行业类数据的限制,我们无法获取分行业资本存量数据,无法进行分行业生产效率的分析,因此本文的结论只适用于整体讨论,在我们讨论到具体行业时可能会存在差异。未来本文的研究还可以在对省内分行业R&D资本存量进行测算和按照广东省政策对分行业R&D产出的直接影响进行评估两方面作深入研究。

二、文献综述

2008年SNA修订克服了R&D统计方面的困难,把R&D支出视为资本纳入核算。目前,关于R&D资本存量的研究主要集中于R&D资本存量测度的方法与相关实证研究。

国外关于R&D资本存量测度的方法研究主要有两种:戈登史密斯(Goldsmith)(1951)的永续盘存法,用累积R&D投资推算资本存量,给出当期不变价R&D投资额和扣除折旧后的上期R&D资本存量之和等于当期R&D资本存量;在永续盘存法基础上,格里利切斯(Griliches)(1980)发展出Griliches方法,将上述当期不变价R&D投资额改为上一期不变价R&D投资额。国际组织和各国统计机构的研究机构,对R&D资本存量测算的普遍做法是先估计出每期的R&D投资,再测算R&D资本存量,如经济合作与发展组织(OECD)编的《知识产权产品资本测度手册》。国内方面,蔡虹和许晓雯(2005)估算了1987—2001年中国R&D资本存量,认为中国研发时间滞后期为4年;李小胜(2007)估算了1978—2005年中国R&D资本存量。

实证方面,国内外研究主要集中在对R&D资本存量与经济增长、与知识生产效率、与政府R&D补贴的关系的分析。国外方面,澳大利亚、加拿大等国统计部门对把R&D纳入GDP后对GDP的影响作了测算;Griliches(1980)利用永续盘存法测算了20 世纪60—70 年代美国R&D资本存量,并由此解释了全要素生产率下降的原因;Goto & Suzuki(1989)使用日本1970—1986 年数据测算了R&D资本存量,并判断出日本的R&D投资边际回报率;Kim & Park(2003)计算了韩国制造业R&D资本存量,结论是外商在提高制造业生产率方面具有正效应。国内方面,胡兴宙等人(2005)采用1995—1999年中国制造业企业数据测算发现中国R&D产出弹性为0.027 ~ 0.029,且非高新技术企业的R&D对生产率没有显著影响;吴延兵(2006)测算了1993—2002 年中国工业企业R&D资本存量,进而研究了知识生产的性质及其影响因素,并得出结论——R&D人员比资本做出了更大的贡献;白俊红(2011)研究认为中国政府R&D资助显著地促进了企业的技术创新,且企业知识存量对资助效果有所影响;严成樑和龚六堂等(2014)的研究发现了R&D对中国经济增长贡献率较低。

三、R&D资本存量的测度

目前中国官方对R&D资本存量的估算仍未公布,为了更合理地使用知识生产函数模型与政策效应模型,这一部分,我们对R&D资本存量的测度作出说明。

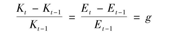
对R&D资本存量的测算多使用永续盘存法,本文也用这一方法来估算广东省工业行业的R&D资本存量。参照Griliches(1980,1998)和Goto & Suzuki(1989)的方法,t期的R&D资本存量是过去所有时期的R&D支出现值与 t -1期的R&D资本存量现值之和,即:

其中,K代表R&D资本存量,E代表R&D支出,k为滞后期, μ 为R&D支出滞后贴现系数 [1] δ 为R&D资本存量的折旧率。因为难以得到R&D支出的滞后结构,本文参考吴延兵(2006)的方法,假定平均滞后期为 θ ,并假定 t - θ 期的R&D支出直接构成t时期的R&D资本存量的增量,即 t θ 时, =1; k θ 时, μ k = 0,因而使得 。参照Ariel and Schankerman(1979)R&D平均滞后期 θ 为1,(1)式可以转化为:

首先关于折旧率 δ ,多数文献将折旧率设定为15%,广东省核算基于省内实际情况考虑R&D资产折旧率确定为20.6%,考虑到知识扩散造成知识专用型的下降,R&D资本存量的折旧率通常与技术更新速度成正比,因此本文采用广东省核算方法将折旧率 δ 定位为20.6%。

其次,本文认为原材料费、固定资产购建费和其他费用共同构成工业企业R&D支出 ,以2011年为基期构建R&D资本支出价格指数,并认为R&D价格支出指数主要受原材料购进价格指数和固定资产投资价格指数影响,参考Loeb & Lin(1977)R&D的加权平均值构建R&D支出价格指数:

对于原材料购进价格指数和固定资产投资价格指数的权重,朱平芳和徐伟民(2003)把消费者物价指数和固定资产投资价格指数权重分别定为0.55、0.45,吴延兵(2006)对原材料购进价格指数的权重分别使用0.4、0.5、0.6进行估计,结果显示不同的权重对结果的影响不大。参考上述研究结果,本文将原材料购进价格指数权重设定为0.5,进而得到支出价格指数。

最后关于基年R&D资本存量K 0 的确定,本文使R&D资本存量平均增长率等于R&D支出平均增长率,采用2010—2020年工业企业R&D实际支出的算术平均增长率,有:

t = 1时,

由(2)得:

由(4)(5)合并有:

在计算出K 0 的基础上通过(2)得到历年R&D资本存量。表1描述了2020年广东省及21个地市工业企业R&D资本存量与支出的对比,图1.6 根据表1.18 绘出了直观的图形。其中,从绝对值看,深圳市R&D资本存量远高于其他城市,是第二名广州市的2 倍;R&D资本存量最小的3 个地区是云浮、梅州、河源。总体上看,R&D资本存量与R&D支出变化趋势基本相同。从R&D存量强度来看,排名前三的是珠海、佛山、中山,R&D存量强度与R&D存量并不具有一致性,前者能更好地反映R&D投入状况。R&D劳务费支出是R&D支出的主要组成部分之一,R&D劳务费支出最多的城市是深圳市,但劳务费强度前三名是深圳、东莞、惠州,说明R&D存量强度与R&D劳务费支出强度也不具有一致性。

表1.18 2020年广东省及21个地市工业企业R&D支出与R&D存量

四、R&D资本化对GDP的影响程度测算——以广东省为例

深圳开创性地将R&D支出资本化并纳入GDP的一大贡献是对GDP的影响和明确R&D资本存量对GDP的贡献率。广东省为更好地反映创新对经济增长的贡献,在国家实施研发支出核算方法改革的基础上,结合实际情况,制定了把广东省R&D纳入GDP的核算方法。

根据R&D支出资本化所产生的主要影响分析,把R&D支出纳入GDP的基本核算思路是:

Δ 增加值=企业自研自用R&D产出+企业外购R&D资产价值+非企业自研自用R&D资产消耗量+非企业外购R&D资产消耗量,

其中,“ Δ ”表示变动额。理论上,外购的R&D产品价值应按交易价值计算,但因缺乏资料,国家统计局仍按总成本法计算。由此上式调整为:

图1.6 2020年广东省及21个地市工业R&D支出与存量对比

Δ 增加值=企业R&D产出+非企业R&D资产消耗量

总体来看,R&D支出资本化被纳入GDP部分由企业R&D产出和非企业R&D资产消耗量两部分构成。根据核算思路,在对R&D支出资本化被纳入GDP部分进行测算过程中,主要包括对R&D产出和R&D资产消耗进行测算。

本文对广东省2000—2020年R&D资本化对GDP的影响程度进行测算。表1.19可见广东省近20年R&D增加值稳步上升,2020年其对GDP的拉动率保持在0.2%左右,2010 年前R&D对GDP的贡献率相对较低,2013年广东省“十二五”规划加大对R&D的投入,2014 年后其贡献率大多在1.5%以上,2020年其贡献率突破7%。

表2 R&D资本化对GDP的影响

续表

除去R&D资本化对GDP的影响,其另一重要理论价值在于能够更科学地对R&D产出的影响因素进行分析,从而提出更合理的政策建议。因此我们在第四、五部分构建了柯布-道格拉斯知识生产函数模型来讨论R&D资本存量对R&D产出的影响及其他因素影响,第六部分我们构建了DID模型来讨论广东省R&D政策效应。

五、知识生产函数估计与影响因素分析
(一)模型建立

R&D产出研究模型多为线性或非线性多项式模型,即:

通常Y表示R&D产出(如专利数量或新产品销售收入),X表示R&D投入(支出或人员投入),M表示其他控制变量, ε 为误差项, λ 为估计参数。由于数据的局限,早期研究多用R&D支出或R&D人数来研究R&D产出的影响因素,并以R&D投入为滞后一期的R&D强度。但这样的研究无法计算R&D劳动和资本各自的贡献,同时使用R&D支出替代R&D资本也不符合经济理论的生产函数模型。尽管早期文献有使用中国工业企业截面数据中资本支出和人力支出两部分,但使用的依旧是R&D支出而非R&D资本数据。

本文在上述研究基础上,使用广东省2010—2020年R&D及工业企业相关数据,以柯布-道格拉斯知识生产函数为基础,建立R&D知识生产函数模型。在柯布-道格拉斯知识生产函数中,Y表示产出,K代表资本投入,L代表劳动投入,即:

由(8)构建R&D知识生产函数模型:

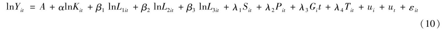
其中, α 代表资本投入产出弹性, β 代表劳动投入产出弹性,A为活动效率,X代表其他影响因素,本文在过往研究的基础上,还考虑企业产权结构、规模、绩效、政府补贴和减税、境外技术引进对R&D产出的影响。在知识生产函数(8)两边取对数,得到下面板数据模型:

其中:S代表规模,P表示产权指标,G代表政府支持,T代表境外技术引进,t表示时间,i表示地区。由于每个地区情况不同,考虑非观测效应(unobserved effect),效应按照常规办法分为3类:一是纯粹的地区效应u i ,二是纯粹的时间效应u t ,三是时间地区联合效应

如果u i 与任一解释变量相关,为了消除u i 的影响,一般用固定效应(FE)法和最小二乘虚拟变量(LSDV)法来估计。如果u t 与任一解释变量相关,则在FE中加入时间效应,使用双向固定效应(Two-way FE)。如果u t 与每一个解释变量都不相关,则对模型(10)可以用随机效应(RE)法来估计,此时为了消除误差中的时序相关,通常利用可行广义最小二乘法(FGLS)或最大似然估计(MLE)来估计模型。对于模型(10),在假定特异误差 ε it与解释变量在所有时期都不相关的条件下,通常利用豪斯曼(Hausman)检验来判定使用RE还是FE。

(二)数据与变量说明

本文所使用的数据来自广东省工业企业R&D数据和《广东省统计年鉴》,在计算R&D资本存量时,时间跨度为2010—2020年,包括广东省及21个地市的22个地区,11年共计242个观测样本。

为了检验估计结果的可靠性,本文使用工业品出厂价格平减后的新产品销售收入和有效发明专利数衡量创新产出变量。对于劳动力投入,我们使用项目研究开发人员数、研发人员占比和全时人员与非全时人员比例。使用人数而不是用劳动支出费作为劳动力投入的原因:一是多数文献使用人数而不使用费用支出代表劳动力投入,因为劳动费用不一定和劳动力成正比;二是如果使用劳动费支出,估计结果是劳动力投入对产出有负效应,与使用劳动力数量的结论相反,也与大多数文献结论相反,我们在第七部分会对此进行解释说明。对于规模变量使用大中型工业企业总产值/企业数来表示,对于产权变量使用国有企业成本费用利润率来表示,使用引入境外技术经费支出代表技术引进变量,使用政府研发资金和企业减免税代表政府投入变量,本文所使用的变量及其定义见表1.20。

表1.20 变量解释

为分析R&D资本和劳动对R&D产出的贡献,以及知识生产过程中政府支持和技术引进的影响,我们对知识生产函数进行估计,并分别以新产品销售收入(平减后)和有效发明专利数代表R&D产出。

新产品代表R&D产出中,首先对比混合回归和固定效应模型估计 ,固定效应模型组内估计量rho值为0.705 5,其原假设为H 0 :all u i = 0,即混合回归可以接受,F检验P值为0.000 0,故拒绝原假设,认为固定效应明显优于混合回归。若通过LSDV法只得到1 个 P -value < 0.05,说明个体效应并不显著;考虑时间固定效应,检验虚拟变量联合显著性(2010为基期),结果均强烈拒绝原假设,认为存在时间固定效应。进一步考虑分别对比随机效应模型与固定效应模型、混合回归,参考布鲁薛-培根(Breusch & Pagan)(1980)LM检验结果强烈拒绝原假设,说明原模型中应有反应个体特征的随机扰动项,认为随机效应模型优于混合回归;再使用Hausman检验显著性水平0.496 1高于1%,认为随机效应模型优于固定效应模型,考虑到使用稳健标准误,本文使用FGLS模型进行估计。

有效专利代表R&D产出中,首先对比混合回归和固定效应模型估计,固定效应模型组内估计量rho值为0.714 7,说明复合扰动项 的方差主要来自个体效应u i 的变动。通过LSDV法得到大多数个体虚拟变量不显著, P -value > 0.05,不存在个体固定效应;考虑时间固定效应,检验虚拟变量联合显著性(2010为基期),结果均强烈拒绝原假设,认为存在时间固定效应。进一步考虑对比随机效应模型与混合回归、固定效应模型,LM检验结果强烈拒绝“不存在个体随机效应”,认为随机效应模型优于混合回归;进一步考虑对比随机效应模型与固定效应模型,得到Hausman检验显著性水平高于1%,认为随机效应模型优于固定效应模型,考虑到使用稳健标准误,本文使用FGLS模型进行估计。

(三)新产品生产函数影响因素分析

表1.21展示了新产品生产函数单因素影响估计结果。R&D资本存量和劳动对新产品产出均具有显著正相关关系,其中广东省R&D资本存量产出弹性较低,为0.202 1,低于全国水平,且低于1,说明新产品生产过程具有资本存量规模报酬递减的特征;劳动对新产品产出影响显著,其中项目研究开发人员数对新产品产出弹性达到0.864 9,远高于R&D资本影响,也高于全国0.458 4产出弹性,研究人员占比的影响并不显著,全时、非全时工作人员比重影响显著,产出弹性高于R&D资本,但低于项目研究开发人员数的产出弹性。

表1.21中B ~ F引入企业规模、产权、绩效、境外技术引进、政府支持变量,是新产品产出多因素的估计结果。其中,政府研发资金支持、绩效变量与新产品产出相关关系不具备显著性,企业规模、境外技术引进、高新技术企业减免税对新产品产出具有正相关关系。企业规模方面,由于大企业往往具有资金雄厚、人员素质较高的特点并存在规模经济,企业规模对生产效率应具有正向影响,在我们的单因素分析中,企业规模产出弹性达到0.586 2,高于资本存量产出弹性,这与早期文献研究结论基本一致;境外引进技术方面,产出弹性较低,每增加1%境外技术引进只能带来0.077 7%的新产品产出;政府支持方面,直接研发资金支持对新产品产出并没有显著影响,高新企业免税具有0.390 3的正向产出弹性。产权方面,国有企业与新产品产出存在负相关关系,即每增加1%新产品,销售收入下降约0.073%,这与早期研究结论认为国有产权比重对新产品生产效率具有负作用相一致,这主要是由于国有企业存在严重的委托代理问题,缺乏有效的激励机制和监督机制,容易导致出现效率低下的现象,可见明晰的产权制度是促进经济主体激励创新和提高效率的重要条件。绩效方面存在负效应,但并不显著,这主要是因为尽管绩效水平高的企业具有高效率产出的条件,但中国存在的垄断式高绩效也会导致竞争意识淡薄、官僚主义盛行,反而造成对新产品生产效率的负效应超过正效应。

表1.21 新产品生产函数单因素影响估计结果

续表

注:*表示 P < 0.1;**表示 P < 0.05;***表示 P < 0.01。

表1.22中G ~ J为多因素影响估计结果,考察企业规模、产权、绩效、境外技术引进、政府支持变量联合起来后对生产效率影响的估计结果。可见多因素联合估计时,回归结果与单因素分析基本一致:政府研发资金支持无显著影响,企业规模、境外技术引进、高新技术企业减免税对新产品产出具有正相关关系,产权变量与新产品产出存在负相关关系,绩效存在负效应但不一定显著。

表1.22中K ~ M是为了考察不同因素之间的替代或互补效应。规模与产权变量存在显著正效应,说明规模与国有产权在影响新产品生产效率方面具有互补性,即企业规模增大对国有产权比重高的地区的生产效率提高较多,这主要是由于广东省国有产权企业主要集中在广州、深圳两大城市,这类企业本身就具有资金实力强、处于市场垄断地位、人员素质高等特点。此外,国有产权与绩效存在显著高负效应,即国有产权与绩效在影响新产品生产效率方面具有替代性,说明国有产权的增大会降低原本绩效高的企业的生产效率。这主要是由于国有产权本身具备的垄断性特点,国有产权增加往往会降低竞争意识与增加官僚作风,导致效率降低。

表1.22 新产品生产函数多因素影响估计结果

注:*表示 P < 0.1;**表示 P < 0.05;***表示 P < 0.01。

(四)专利生产函数影响因素分析

表1.23展示了有效专利生产函数单因素影响估计结果:R&D资本存量和劳动对有效专利产出均具有显著正相关关系,其中资本存量产出弹性较低,为0.255 2,具有资本存量规模报酬递减的特征;项目研究开发人员数对有效专利产出具有正效应,产出弹性达1.052 8。与新产品生产函数类似,企业规模对专利生产效率应具有正向影响,且高于资本存量产出弹性;国有产权对专利生产效率具有负向影响;高新企业免税具有0.473 9的正向产出弹性,说明该优惠政策对有效专利生产效率影响更大。而政府研发资金支持、绩效变量、境外技术引进对专利生产效率的影响并不具备显著性。

表1.23 有效专利生产函数单因素影响估计结果

注:*表示 P < 0.1;**表示 P < 0.05;***表示 P < 0.01。

表1.24多因素影响估计结果中,首先,将多变量联合起来后回归结果与单因素分析基本一致:企业规模、高新技术企业减免税与专利产出具有显著正相关关系,政府研发资金支持、境外技术引进对绩效变量无显著影响,产权变量与专利产出存在负相关关系。其次,在考察不同因素之间的替代或互补效应时,与新产品生产函数相同,国有产权与绩效存在显著高负效应,即国有产权的增大会降低原本绩效高企业的专利生产效率。最后,与新产品生产函数不同,国有产权、政府资金支持、高新企业减免税都具有替代性,表明国有产权提高会降低政府资金支持及高新企业减免税带来的影响效应。

表1.24 有效专利生产函数多因素影响估计结果

续表

注:*表示 P < 0.1;**表示 P < 0.05;***表示 P < 0.01。

六、政策效应——基于DID模型

上述知识生产函数模型只能论证R&D资本存量、劳动及其他因素与R&D产出的相关关系,而政府只能通过减税等财政政策影响R&D资本存量和劳动进而促进R&D产出,因此对过往政策的效果和效率进行评估,从而提出更明确的政策建议是必要的。

广东自2013年“十二五”规划将鼓励R&D发展写入长期发展规划,随后9 个地市 以政策性文件形式给予高新技术企业优惠政策,我们引入双重差分法(DID)模型,将9 个地市作为处理组( ),其他地市作为对照组( ),对地市政策进行评估。我们设置观察两期情况即含2013年政策前( )和2013年政策后( );i代表地区,t代表年份,Y it 代表R&D资本存量或项目研究开发人员数,X it 为控制变量,我们选用了主营业务收入(INCOME)这一变量,建立一个基本的DID估计方程:

DID检验结果显示,政策实施对R&D资本存量具有正效应,且在10%上效果显著;对R&D劳动力投入并不显著。但由于以上的基准回归只有当地区在政策实施前足够相似才能够保证DID提取的是政策的因果效应,我们需要知道对比组在政策实施前有多大差异,为此进一步作平行趋势检验。

平行趋势检验结果显示R&D资本存量未通过平行趋势检验,结合DID结果,说明尽管政策实施对R&D资本存量具有显著正效应,但政策实施前处理组和对照组就存在较大差异,无法证明其存在因果关系。R&D劳动力投入通过平行趋势检验,系数在政策实施前不显著,说明处理组和对照组的确是可以进行比较的,而政策效果在政策实施4年后出现显著负效应,说明尽管这一政策的初衷是提升R&D存量与劳动力投入进而增加产出,但实际效果却相反,政策转变导致企业R&D劳动投入下降。这主要是由于高新企业的认定标准没有将企业R&D劳动力投入考虑进去。

七、研究结论与政策建议
(一)研究结论

本文运用广东省及21个地市面板数据,通过面板计量模型与政策评估DID模型分析了R&D产出的影响因素和广东省R&D政策效果。

首先,我们使用永续盘存法测算了2010—2020 年广东省及21 个地市的R&D资本存量,并使用R&D强度,更好地反映了R&D投入状况,2020年广东省R&D资本存量强度高于4%,说明广东省近年来的科技投入有较大改善。

其次,在计算R&D资本存量的基础上,构建柯布-道格拉斯知识生产函数模型,发现R&D资本存量和研发人员投入对R&D产出具有显著正效应,但研发人员产出弹性远高于资本存量,其中全时、非全时工作人员比对新产品销售收入也具有显著正效应。同时,企业规模、高新技术企业减免税对R&D产出均具有显著正效应,但国有产权增加会导致R&D产出的下降,另外,境外技术引进仅对新产品销售收入具有显著正效应。在替代效应方面,对于新产品销售收入,企业规模与国有产权在影响新产品生产效率方面具有互补性,而国有产权与绩效存在显著高负效应,国有产权的增大会降低原本绩效高的企业的生产效率;对于有效专利数,国有产权与绩效同样存在显著负效应,同时国有产权提高会降低高新企业减免税带来的正效应。

最后,我们使用DID模型和平行趋势检验对省内21个地市的政策进行评估,发现尽管地市政策实施对R&D资本存量具有显著正效应,但政策实施前处理组和对照组就存在较大差异,无法证明其存在因果关系。而政策实施4年后对R&D劳动投入出现显著负效应,说明政策实施导致企业R&D劳动力投入下降。这主要是由于高新企业的认定标准没有将企业R&D劳动力投入考虑进去。

(二)政策建议

基于研究结论,本文对广东R&D长远政策提出几点建议:

首先,由于劳动力产出弹性远高于资本存量,而后者存在规模报酬递减的特征,R&D政策基本出发点应该是鼓励企业大量投入研究人力资本。要落实这一政策出发点,必须设定更合理的高新企业认定标准,确保政府部门研发资金和高新企业减免税切实给到大量投入研究劳动力的企业。尽管2019年以来广东省促进科技创新政策已经更加具体和先进,但落实到地市规定时依旧存在两点不足:一是优惠政策易被有实力包装自己的大中型企业或国有企业获取,这些企业往往有能力通过雇用大量非全时科研人员包装自己,最终导致政策有效但无效率;二是对高新企业认定标准不够细致,后续资金使用监管不够,导致能够获得资助的企业即使后续减少人力资本投入也无影响,存在极大的搭便车空间。

其次,政策应当考虑企业可能存在的欺骗空间,从源头保证政府资助流向具有创新能力和创新精神的企业。我们在初期尝试使用劳动费支出衡量劳动力投入,估计结果是劳动力投入对产出有负效应,这是由于国内企业劳动费用支出并不一定与项目研究人员数成正比,有一定规模或有垄断地位的企业往往可以高薪聘请知名非全时科研人员,从而通过政府早期评估获取大量政府资助,这会导致劳动力数量对产出有正效应,但劳动费用支出对产出具有负效应。

再次,由于国有产权增加会导致R&D产出的下降,且国有产权提高会降低高新企业减免税带来的正效应,政府部门的研发资金应更多资助非国有企业,这主要是由于国有企业本身的垄断利润导致竞争意识薄弱的缺点,获取政府部门的研发资金往往不能提高国有企业对研发劳动力的投入。

最后,由于企业规模对R&D产出具有显著正效应,政府政策应当有利于大中型企业,特别是注重R&D研发劳动力投入的非国有的大中型企业,应当是政策资助的重点。

[1] 滞后贴现系数指R&D费用投入滞后 k 期后转化为R&D资本存量的系数。 RfjrAlfAyQmSQWLKcg+H1rMjXNZNdyq4JpEXrrv/+Tsh2fqpS4t6fSQlASoPd3Wf

点击中间区域
呼出菜单
上一章
目录
下一章
×

打开