购买
下载掌阅APP,畅读海量书库
立即打开
畅读海量书库
扫码下载掌阅APP

2.2 问题描述

本章考虑由一个制造商、一个零售商和一个平台商组成的线上零售供应链。其中,平台商既作为一个双边匹配平台为零售商和消费者提供服务,也可以作为零售商分销制造商的产品。零售商在平台商提供的交易平台上销售产品并支付一定的许可费。在实际企业经营中,平台商和零售商之间达成的是收益共享合同,其收取的许可费为零售商销售收入的一定比例,这一收费方式亦在诸多文献中得到运用 [45,53-56] 。同时,在零售商销售渠道之外,制造商亦选择开通双渠道。则此时制造商有三种销售模式可供选择:将产品销售给平台商(分销模式)、在平台商的网上交易平台上开设旗舰店(代售模式)、自己构建网上交易平台(直销模式)。

2.2.1 销售模式

本章中销售模式是指制造商在通过零售商销售产品这一渠道之外开通的双渠道战略下,另一销售渠道构建的形式。在本章中制造商的销售模式共有三种:代售模式(agency selling)、分销模式(reselling)和直销模式(direct selling)。具体三种模式所表示的含义及意义如下所述。

2.2.1.1 代售模式

代售模式是指制造商或零售商通过缴纳许可费而在平台商搭建的网上交易平台上开设旗舰店,从而将产品销售给终端消费者的一种销售模式。例如美的、格力等制造商均通过缴纳一定许可费而在京东、天猫等平台商开设旗舰店。根据文献[53-56]的研究,将此处的许可费定义为一定比例的销售收入,即平台商和制造商或零售商之间为收益共享合同。需要说明的是在现实企业经营中,除此费用外,平台商还往往收取少量的固定费用,即许可费为固定费用和一定比例的销售收入的总和。然而由于此固定费用相较于销售收入的分享比例来说微不足道,因此在此处将固定费用标准化为零 [34,45]

2.2.1.2 分销模式

分销模式是指制造商将产品以批发价格销售给平台商或零售商,后者再以零售价格销售给终端消费者的一种销售模式。例如京东直接向制造商采购并在自建的网络平台上开设自营专卖店。

2.2.1.3 直销模式

直销模式是指制造商或零售商自建网上交易平台并将产品销售给终端消费者的一种销售模式。例如华为网上商城、苏宁易购网上商城等。根据文献[9,25,69,70]的研究,此处将直销模式下的渠道构建成本定义为单位直销成本。

2.2.1.4 销售模式之间关系

三种销售模式属于三种不同的销售渠道,其相互之间既有联系也有区别。三种销售模式之间的联系:三者均为网上销售渠道并将制造商产品销售到终端消费者手中。三种销售模式之间的主要区别在于产品的定价权、收益分配和渠道构建成本。代售模式下决策者直接将产品销售给终端消费者并决策零售价格,但需分出部分比例的收入充当许可费;分销模式下决策者将产品以批发价格销售并决策批发价格,而零售价格的决策者为下游零售商;直销模式下决策者直接将产品销售给消费者并决策零售价格,但需要付出构建网上交易平台的成本。现实中企业案例表明:制造商三种销售模式情形均存在,而零售商只有代售模式和直销模式两种情形。平台商一般不会选择从零售商处采购商品,这是因为经过零售商加价后的产品价格高于直接从制造商处采购的产品价格。

2.2.2 符号说明

本章所用符号及说明如表2-1所示。

表2-1 符号说明

2.2.3 模型假设

为了更严谨地进行研究,本章做出以下假设:

(1)制造商为Stackelberg博弈的领导者,零售商和平台商为追随者 [69,70]

(2)供应链成员均为风险中性且以各自利润最大化为目标进行决策 [182]

(3)制造商生产成本及零售商、平台商的销售成本为零 [69]

(4)供应链成员间没有信息不对称 [182]

(5)考虑单周期决策且在此周期内每个消费者至多购买一个产品 [41-43,45]

2.2.4 需求函数

根据Singh和Vives [183] 的研究,设消费者购买产品的总效用为:

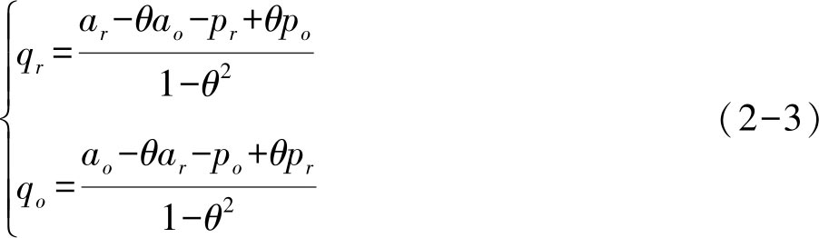
其中, q i i ∈{ r o })表示 i 渠道的销售量; a i i ∈{ r o })表示 i 渠道的市场潜在需求; p i i ∈{ r o })为 i 渠道产品销售价格。 θ 表示两个销售渠道间的竞争强度, θ 越大表示渠道间竞争越激烈。若 θ →0,则表示两个销售渠道间竞争较弱,此时零售商和平台商或制造商近似为各自终端渠道市场的垄断者;随着 θ 增大,下游市场竞争逐渐加剧,当 θ →1时,表示两个销售渠道之间的竞争十分激烈。

每个消费者以自身消费者剩余最大化为目标进行决策,此时的消费者剩余为:

此需求函数已在诸多文献中运用 [45,46] 。通过使消费者剩余最大化,可以得到两个渠道的需求函数为:

其中 表示两个渠道是对称的。类似地, 表明在市场潜在需求上 r 渠道强于 o 渠道。此处,本书假设 a r = a o = a =1,即两个渠道的潜在需求相等 [28,45,46,184-186] 。则需求函数可表示为:

2.2.5 销售模型

在线上零售供应链中当制造商决定开通双渠道时,其三种销售模式下所对应的供应链结构模型如图2-1所示:(a)分销模式(model R);(b)代售模式(model A);(c)直销模式(model D)。

图2-1 销售模型 iC1bIu32MNzGivykDD+ZlkPYALUFNXcgI6WZ1STV6g2eot1tZnqt4BJQPuVtjigV

点击中间区域
呼出菜单
上一章
目录
下一章
×

打开