购买
下载掌阅APP,畅读海量书库
立即打开
畅读海量书库
扫码下载掌阅APP

1.4 研究方法与数据来源

1.4.1 研究方法

1.4.1.1 文献研究法

通过梳理国内外的相关研究文献,在界定经济差异、经济收敛性等基本概念的基础上,综述了本书的理论基础、经济差异及收敛性研究现状、兰州—西宁地区研究现状,从而为兰州—西宁地区经济差异演变及收敛性特征检验的研究奠定基础。同时,通过查阅《青海年鉴》《甘肃年鉴》《兰州年鉴》《西宁统计年鉴》等资料归纳整理了兰州—西宁地区行政区划及城镇体系的演变过程,从“历史—现在—未来”的角度了解该地区发展的历史脉络及趋势。

1.4.1.2 实地调研与访谈

为满足研究需要,借助参与编制临夏州县域经济规划以及相关课题调研的机会,先后前往临夏州的临夏市、临夏县,西宁市湟中区、湟源县,海北州的海晏县、门源县,海南州的共和县,黄南州的同仁市以及海东市的乐都区、民和县等地收集各州(县)的统计资料与数据。在此基础上,结合《中国县域统计年鉴》《青海统计年鉴》《甘肃发展年鉴》,以及西宁市、兰州市、白银市和定西市等统计部门发布的资料,初步构建了县域尺度下兰州—西宁地区经济社会发展的数据库,为本书以及今后的深入研究创造了条件。

与此同时,在实地调研时还访谈了部分当地政府工作人员、社区(村)干部、居民,了解当地人对经济社会发展的认知及期待,并以此检验逻辑推理的合理性。

1.4.1.3 实证分析与规范分析

以相关数据和资料为基础,借助数理统计方法和空间统计方法对兰州—西宁地区的资源禀赋状况、人口与经济发展现状、县域经济差异的时空演变及驱动因子等进行客观描述与分析,并结合经济学理论给予相应的评价与判断。与此同时,应用数理统计方法和计量经济学模型对兰州—西宁地区的经济收敛性特征进行检验,并得出相应的检验结论。

1.4.2 研究时限与数据来源

遵循全面性、真实性、可获性的原则,在统计口径相一致的基础上将研究时限扩大,尽可能回溯到有相关数据的最早年份和延伸到最近年份。因此,县域单指标数据的分析时限为2000—2020年,综合指数数据的分析时限为2010—2020年。

若无特别说明,本书中经济指标的数据主要来源于相应年份的《中国县域统计年鉴》《青海统计年鉴》和《甘肃发展年鉴》;上述年鉴中缺少的指标数据通过中国各地区统计年鉴及各市(州)的统计年鉴、统计资料汇编以及政府工作报告来补充完善。人口指标数据来源于《中国2000年人口普查分县资料》《中国2010年人口普查分县资料》以及各市(州)、县的第七次全国人口普查主要数据公报等。专业领域的数据则来自两省以及各市(州)的土地利用总体规划、水资源公报以及实地调研时相关部门提供的数据及相应资料。地图底图数据来源于1∶400万的国家基础地理信息数据。

1.4.3 名义价值与实际价值

衡量经济发展水平的许多变量是用货币来计量的,这些变量的变动由数量变动、价格变动或者数量和价格同时变动造成。为了剔除价格因素的影响,通常需要将按照当期价格计算的名义价值换算为按照基期价格计算的实际价值 [100-101] 。然而,基于价格指数计算实际价值的方法虽然能够有效地剔除价格变动产生的影响,但是却依然存在缺陷,即如果假定某一年为基期,始终用基期价格来计算其他年份的实际价值,那么随着时间的推移,产品之间相对价格的变化幅度会不断增大,继续使用陈旧过时的基期价格计算当前时期的实际价值会使结果严重失真(韩立岩等,2022) [102] 。基于此,基期的选择不宜离报告期太远(张晓峒,2009) [103] 。与此同时,地区生产总值、固定资产投资总额、消费品零售总额等经济变量应采用不同的价格指数,但在实际工作中由于县级统计价格体系不完善以及统计部门处理相关信息的能力不一样,大都更愿意公布基于现价计算的各变量名义价值。

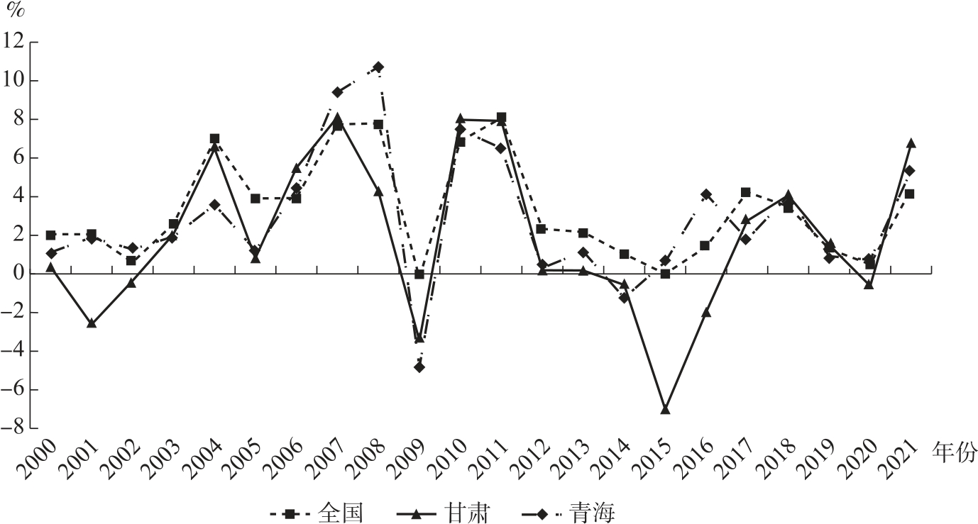
尽管有研究文献认为按照可比价或按照当年价计算经济指标值对地区差异的测度影响不大 [104-106] ,但这可能是因为仅采取同一价格指数处理不同地区的经济变量,且仅考虑经济变量的相对地区差异所致。事实上,由于地理位置等多种因素的综合影响,不同地区的价格指数存在着较为显著的差异。统计数据显示,2000—2021年全国、甘肃省、青海省按照GDP平减指数计算的年通货膨胀率差异明显(见图1-4)

图1-4 2000—2021年全国与甘肃、青海两省的年通货膨胀率变化情况

于是,本书期望在数据质量优先的前提下尽可能地减少价格因素的影响,综合考虑数据的可获得性和可比性,以兰州—西宁地区各县域单元GDP平减指数为基础,将以当年价格水平计算的相关经济变量名义价值换算为以2010年为基期的实际价值。构建GDP平减指数时采用以下方法:统计年鉴或者县级统计资料汇编中通常有该县域单元当年的名义生产总值和按照不变价格计算的生产总值指数两类数据,那么选定某一年份为基期后可根据生产总值指数计算得出实际生产总值,而名义生产总值与实际生产总值的比值即为相应的GDP平减指数。

参照上述方法,以2010年为基期可计算得出县域尺度下兰州—西宁地区2010—2020年的名义人均GDP与实际人均GDP的变异系数(见图1-5)。

图1-5 2010—2020年兰州—西宁地区名义与实际人均GDP的变异系数比较

比较发现,尽管两者的变化趋势基本一致,但是名义人均GDP的变异系数明显低于实际人均GDP,这说明价格因素在一定程度上会掩盖经济差异程度,进而影响人们对经济差异的判断。因此,将名义变量转变为实际变量来考察经济差异状况是有必要的。 OrCU9CnPeWgE2QhvMGrBrFtoylXN6+pbFVF1WQAisGyGyTmU09hpKUF577fp1STq

点击中间区域
呼出菜单
上一章
目录
下一章
×