购买
下载掌阅APP,畅读海量书库
立即打开
畅读海量书库
扫码下载掌阅APP

第2章
油液理化性能分析技术

在工矿企业的实际应用过程中,设备因用油选型错误、新油质量问题、在用油液污染变质,以及油液理化性能劣化等原因所导致的润滑不良,往往是造成设备异常磨损故障的主要原因。设备的润滑状态好坏主要是由油液及油脂的物理化学性能所决定的,因此在开展油液监测诊断工作中,必须对设备在用油液及油脂的理化性能进行检测,以判断设备的润滑状态是否符合设备的使用要求。本章分别介绍了润滑油、润滑脂和变压器油的主要理化指标检测项目的基本概念、检测意义、检测方法及分析仪器。

2.1 润滑油理化指标的检测

润滑油的理化性能指标很多,本节主要从工矿企业油液监测和智能诊断技术的角度介绍对设备润滑状态有着直接影响的理化性能指标,主要有黏度、黏度指数、水分、闪点、酸值、碱值、凝点和倾点、机械杂质、不溶物、抗乳化性、泡沫特性、抗磨性和极压性、液相锈蚀、铜片腐蚀、抗氧化性能、润滑油剩余抗氧剂含量测定(RULER)及漆膜倾向指数等。

2.1.1 黏度

1.基本概念及检测意义

润滑油因受到外力作用而发生相对移动时,油分子之间产生的阻力使油液无法进行顺利流动,描述这种阻力大小的物理量称为黏度,黏度是液体内摩擦力的体现。黏度的度量方法有绝对黏度和相对黏度两大类。其中,绝对黏度分为运动黏度、动力黏度两种;相对黏度主要有恩氏黏度、赛氏黏度和雷氏黏度三种。对于润滑油而言,主要是评价油液的绝对黏度。

动力黏度(Dynamic Viscosity)是液体在一定剪切应力下流动时内摩擦的量度。其定义为所加于流动液体的剪切应力与剪切速率之比,用符号 η 表示。其法定计量单位为Pa·s或MPa·s。

运动黏度(Kinematic viscosity)为液体的动力黏度与其同温度下的密度之比,用符号 ν 表示。其法定计量单位为m 2 /s,一般常用mm 2 /s。润滑油液的黏度性能主要用运动黏度来表示。

运动黏度又是润滑油液的重要理化性能指标。设备所用润滑油的黏度是否合理,直接影响设备的润滑效果。运动黏度往往是油液监测的必检项目,其重要性主要体现在以下几个方面。

1)依据ISO 3448—1992《工业液体润滑剂-ISO黏度分类》,将工业润滑油按40℃运动黏度划分为2、3、5、7、10、15、22、32、46、68、100、150、220、320、460、680、1000、1500、2200、3200共20个等级,每个运动黏度等级对应的具体范围就是该级别号±10%的区间,例如,46等级运动黏度值具体范围就是41.4~50.2,即46(1±10%)。因此运动黏度检测是确定油液是否符合某种等级的重要依据,也是检验新油质量的重要指标。

2)运动黏度是设备选用润滑油的主要依据。因为运动黏度的大小会影响油膜形成的好坏,这直接影响润滑油的抗磨和减磨效果,所以设备选用的油液运动黏度必须与设备运行工况相符。若选用油液运动黏度过小,则摩擦副表面形成的油膜较薄,在高负荷工况下,油膜极易破裂,导致局部干摩擦,引起摩擦副表面磨损,严重时会发生烧结;若选用油液运动黏度过大,则油液的内摩擦力大、流动性差,在设备冷起动时,油液不能迅速到达摩擦副表面并形成连续油膜,也会导致摩擦副的异常磨损。此外,当运动黏度过高时,不利于散热,润滑油难以发挥冲洗和散热的作用,也不利于设备的润滑。因此,选择运动黏度时,需要综合考虑,在保证设备处于良好的流体润滑条件的前提下,尽可能选择低运动黏度润滑油。

3)运动黏度是油液氧化和污染的重要评价指标。润滑油品在使用过程中因污染、劣化等原因而使其运动黏度发生较大的变化。如油液氧化产生的油泥、外界污染的粉尘泥等都会使油液运动黏度升高;而轻质成分如燃油、气体等的污染将使运动黏度降低。一旦运动黏度变化超出了设备润滑允许的范围,将导致设备润滑不良,产生异常磨损。因此,在日常油液监测工作中,必须对油液运动黏度进行检测。这是判断设备润滑状态、确定是否换油的重要依据。

4)运动黏度是现场加换油管理重要的监督指标。因加换油错误而对设备造成的异常,在工矿企业时有发生,设备的润滑台账与现场检测运动黏度值不符合,说明现场的润滑管理存在缺陷。通过对运动黏度进行监测,可以及时发现加换油操作上的失误。

2.检测方法及分析仪器

早些年国际上使用黏度单位和测试方法并不统一。英国、美国等国家和地区多采用赛氏和雷氏黏度,德国和西欧一些国家和地区常采用恩氏黏度和运动黏度,我国则主要采用运动黏度。近年来,国际标准化组织(ISO)为了使黏度度量单位保持一致,规定统一采用运动黏度之后,各国都逐步改用了运动黏度,单位以mm 2 /s表示。运动黏度常见的检测方法有毛细管黏度计法、自动黏度计法和斯塔宾格黏度计法。

(1)毛细管黏度计法

毛细管黏度计法是最常见的运动黏度测定方法,其测试过程是在某恒定的温度(常用20℃、40℃、100℃)下,测定一定体积的液体在重力作用下流过一个经标定的玻璃毛细管黏度计的时间。这个时间与毛细管黏度计标定常数的乘积即为该温度下测定的液体运动黏度。目前,我国运动黏度检测方法的国家标准有GB/T 265—1988《石油产品运动粘度测定法和动力粘度计算法》、GB/T 11137—1989《深色石油产品运动粘度测定法(逆流法)和动力粘度计算法》和GB/T 30515—2014《透明和不透明液体石油产品运动黏度测定法及动力黏度计算法》;美国材料与试验协会的运动黏度检测方法为ASTM D445《透明和不透明液体运动黏度测试的标准测试方法》。其中GB/T 265—1988采用的是顺流式毛细管黏度计,适用于透明石油产品的运动黏度的测定;GB/T 11137—1989采用的是逆流式毛细管黏度计,适用于测定不透明的深色石油产品和使用后的润滑油的运动黏度;而GB/T 30515—2014修改采用了ISO 3104《石油产品 透明和不透明石油液体 运动黏度的测定和动力黏度的计算》,适用于透明和不透明液体运动黏度和动力黏度的测定,对黏度计没有做统一规定;ASTM D445方法,也是适用于透明和不透明液体石油产品运动黏度的测定,但要求采用使用乌氏黏度计,测试范围为0.2~300000mm 2 /s。

测定运动黏度时,首先,必须控制好被测油液的温度,GB/T 265—1988、GB/T 11137—1989要求控温精度达到±0.1℃,而GB/T 30515—2014和ASTM D 445要求温度设定在15~100℃内时,油温变化不超过±0.02℃。其次,则是根据被测油液的黏稠特性选择恰当的毛细管内径尺寸,保证被测油液流经毛细管黏度计的时间在规定范围之内。另外,选用的毛细管黏度计要洁净无污染,测定过程中毛细管黏度计必须保持竖直,油液不能产生气泡,毛细管黏度计常数必须定期重新标定。

玻璃毛细管黏度计应符合GB/T 30514—2014《玻璃毛细管运动黏度计 规格和操作说明》和ASTM D446—2012《玻璃毛细管运动黏度计的使用说明和标准规范》的要求。GB/T 30514—2014和ASTM D446—2012中指出,为了使运动黏度测量可靠,在测试过程中流体必须沿着毛细管以均匀的速度缓慢移动,确保流动必须是完全层状且没有湍流。如果油液流动过快,会发生湍流,从而影响油液的流动时间。特别是当流动时间<200s时,运动油液的部分能量转化为热量,阻碍油液的运动,需要进行动能修正,因此GB/T 265—1988一般要求样品流动时间至少达到200s。

运动黏度的检测仪器主要由玻璃毛细管黏度计、恒温浴缸、温度计和秒表等组成,图2-1所示为运动黏度检测仪、图2-2所示为ASTM D445运动黏度检测仪,图2-3所示为毛细管黏度计、图2-4所示为乌氏黏度计。

图2-1 运动黏度检测仪

图2-2 ASTM D445运动黏度检测仪

图2-3 毛细管黏度计

注: a b 为标线。

图2-4 乌氏黏度计

(2)自动黏度计法

为进一步缩短黏度检测时间,我国国家能源局发布了NB/SH/T 0956—2017《透明和不透明液体运动黏度的测定 折管式自动黏度计法》。自动黏度计主要由恒温浴、自动搅拌装置和自动控温装置等组成,如图2-5所示。其中恒温浴缸要有观察孔,恒温浴的高度≥180mm,容积≥2L。用于测定黏度的秒表、毛细管黏度计都必须定期检定。

测试时,样品被引入自动黏度计,然后流入置于恒温缸内的黏度计管中,在流动的过程中达到恒温缸的温度。该黏度计管有两个检测区域,如图2-6所示。当样品到达第一个检测区域2时,自动仪器开始计时,当样品通过第二部分检测区域1时,仪器停止计时,用这个时间间隔来计算出运动黏度。该方法所需检测样品仅为0.5mL左右,并可在8~10min内完成试验。

图2-5 自动黏度计

图2-6 自动黏度计管

1、2—标定过的检测区域 3、4—样品池 5—测量池 6—扩张部分

(3)斯塔宾格黏度计法

斯塔宾格黏度计可用于测定石油产品动力黏度和密度,然后根据测试结果计算运动黏度,图2-7a所示为一种常见的斯塔宾格黏度计。斯塔宾格黏度计测试池主要由黏度测试单元、密度测试单元和温度控温单元(热电加热和冷却系统)等组成,如图2-7b所示。其中黏度测试单元是一个同心轴圆筒构造的测量体系,如图2-7c所示。外圆筒为样品管,通过电动机驱动。内圆筒为转子,在较高密度试样的离心力作用下悬浮在转动轴中,并处在磁铁和软铁环的纵向位置。内圆筒中的永磁铁在铜衬层中产生涡流,通过黏性力的驱动扭矩和阻滞涡流扭矩的平衡确定内圆筒的旋转速度,这一旋转速度被电子系统通过计算旋转磁场的频率测出,即可获取样品的动力黏度。密度测试单元由U形振动样品管、电子激发及频率计数系统组成,通过测量U形样品管的振动频率,可以获取样品的密度。

图2-7 斯塔宾格黏度计

斯塔宾格黏度计测试运动黏度相应的方法主要有NB/SH/T 0870—2020《石油产品动力黏度和密度的测定及运动黏度的计算 斯塔宾格黏度计法》,该方法所需样品量为3mL,可以测试-30~120℃之间的任意温度,测试温度不同,所用时间也不同,一般可在3~30min内完成检测。

2.1.2 黏度指数

1.基本概念及检测意义

黏度指数是用来评价润滑油黏温性能的定量指标。温度是影响润滑油黏度的最重要因素,润滑油的黏度会随温度升高而变小,随温度的下降而变大,黏温性能是指这种润滑油黏度随温度变化的特性。黏温性能越好,黏度随温度变化也越小,其黏度指数也越高;反之,黏温性能越差,黏度随温度变化也越大,其黏度指数也就越低。

用黏度指数表示润滑油黏温性能对润滑油的使用具有重要意义,是设备用油选型的重要因素。当设备的使用环境温差大时,需要润滑油在高低温度下均具备良好的润滑性能,此时就需要使用具有较高黏度指数的润滑油,否则可能导致润滑不良。例如,若发动机使用了黏温特性较差的润滑油,则在运行环境温度较低时黏度过大,柴油机起动后,润滑油不易流到摩擦副间隙,会造成机械部体的异常磨损。反之,在油液温度升高时,润滑油黏度过小,机械摩擦副间又不能形成适当厚度的油膜,使摩擦面产生擦伤或胶合。因此,要求设备使用黏度指数高的润滑油。黏度指数的测定主要用于新油的质量验收。

根据黏度指数不同,可将润滑油分为三级:35~80为中黏度指数润滑油;>80~110为高黏度指数润滑油;>110为特高级黏度指数润滑油。

2.检测方法及分析仪器

黏度指数是一个经验比较值。为了计算石油产品的黏度指数,国际标准化组织石油产品技术委员会专门制定了ISO 2909:2002《石油产品 根据运动黏度计算黏度指数的标准》,美国材料与试验协会也发布了黏度指数的计算方法ASTM D2270《根据40℃和100℃运动黏度计算黏度指数的标准规范》。我国也等效采用ASTM D2270制定了国家标准GB/T 1995—1998《石油产品黏度指数计算法》。该标准规定了石油产品在40℃和100℃条件下运动黏度计算黏度指数的两种方法。其中方法A适用于黏度指数<100的石油产品,通过式(2-1)计算,即

式中 L ——与试样100℃运动黏度相同,黏度指数为0的油液在40℃时的运动黏度(mm 2 /s);

U —— 试样40℃时的运动黏度(mm 2 /s);

H —— 与试样100℃运动黏度相同,黏度指数为100的油液在40℃的运动黏度(mm 2 /s)。

而方法B适用于黏度指数≥100的石油产品,可通过式(2-2)计算,即

其中:

式中 U ——试样40℃时的运动黏度(mm 2 /s);

H —— 与试样100℃运动黏度相同,黏度指数为100的油液在40℃的运动黏度(mm 2 /s);

Y —— 试样100℃时的运动黏度(mm 2 /s)。

由于黏度指数是根据石油产品40℃和100℃运动黏度计算得出的,因此要获得油液的黏度指数,则需使用相同方法测试40℃和100℃运动黏度,然后通过相应的公式计算出来。

2.1.3 水分

1.基本概念及检测意义

水分表示油液中水含量的多少,用mg/kg、mg/L、%(质量分数)或%(体积分数)表示。水分通常以游离水、乳化水和溶解水三种状态存在于润滑油中。一般来说,游离水比较容易脱去,而乳化水和溶解水都不易脱去。矿物润滑油一般对水的溶解能力较小,而某些合成油如酯类油、某些结构的聚醚和硅酸酯,则能吸收空气中的水分而水解。

油液中过多的水分将严重影响设备的润滑效果,因此必须将油液中水分含量控制在尽可能低的程度。无论是对新油还是对在用油,水分都是一项重要的必检项目,其重要性主要体现在以下几个方面。

1)水分增多会加速油液氧化变质,导致油泥增加,过多的水分会萃取出油液中的酸性组分,加速对金属的腐蚀。

2)水分存在会促使油液乳化,破坏润滑油膜,使润滑效果变差;当温度升高时,油液中水分将汽化形成气泡,不仅破坏油膜,而且会产生气阻,影响润滑油的循环。

3)水分增多会使油液中添加剂因发生水解反应而失效,加速油液劣化,因产生沉淀而堵塞油路,使其不能正常循环供油。

4)水分会影响油液的低温性能,在低温时,油液的流动性变差,甚至结冰,堵塞油路,影响润滑油的循环和供油。

2.检测方法及分析仪器

润滑油中水分含量的测定主要有两种方法,分别是蒸馏法和卡尔费休水分测定法。

(1)蒸馏法

蒸馏法是将一定量的试样与无水有机溶剂混合,在规定的仪器中进行加热蒸馏。溶剂和水一起被蒸发并冷凝到一个计量接收器中,而且溶剂和水不断分离,由此从润滑油样品中分离出水分并测定出水分含量。蒸馏法测试水分的常用标准有GB/T 260—2016《石油产品水含量的测定 蒸馏法》和ASTM D95《蒸馏法测定石油产品和沥青材料中含水量的标准试验方法》。其中GB/T 260—2016方法使用10mL精密锥形接收器,当水分含量>0.3%时,水分含量测试结果精确至0.1%;当水分含量≤0.3%时,水分含量测试结果精确至0.03%;水分含量<0.03%则称为“痕迹”,若仪器拆卸后接收器中无水分,则报告为“无”。而ASTM D95—2013方法,水分含量测试结果最小精确至0.05%。

GB/T 260—2016中采用的水分测定仪主要由容量为500mL的圆底玻璃烧瓶、水分接收器、长度为250~300mm的直管式冷凝管和可调温电热加热器所组成,如图2-8所示。水分测定仪的各部分要用磨口塞连接。10mL精密锥形接收器的刻度在0.3mL以下设有十等分的刻线,最小分度值为0.03mL;0.3~1.0mL之间设有七等分的刻线,最小分度值为0.1mL;1.0~10.0mL之间每分度为0.2mL。

(2)卡尔费休水分测定法

卡尔费休水分测定法是通过卡尔费休反应来测定水分含量的,其测试原理是在甲醇和弱碱吡啶存在时,将一定量的试样加入到卡尔费休库仑仪的滴定池中,滴定池阳极的卡尔费休电解液会电解生成碘,碘与试样中的水根据反应的化学计量学,按1:1的比例发生卡尔费休反应。当滴定池中所有的水分都反应消耗完后,滴定仪通过检测过量的碘产生的电信号,确定滴定终点并终止滴定。根据法拉第电解定律,电解所用的电量与碘物质的量成正比,通过滴定过程中消耗的电量,就可以计算出水分含量。卡尔费休法测定水分含量可以精确至10 -6 ,相对于蒸馏法,卡尔费休水分测定法更为精准。

卡尔费休水分测定法的标准比较多,对于润滑油水分的测定,国内最常用的是GB/T 11133—2015《石油产品、润滑油和添加剂中水含量的测定 卡尔费休库仑滴定法》和GB/T 7600—2014《运行中变压器油和汽轮机油水分含量测定法(库仑法)》。卡尔费休电位滴定法水分测定仪主要由滴定池、铂电极、磁力搅拌器和控制单元部分组成,如图2-9所示。

图2-8 蒸馏法水分测定仪

图2-9 卡尔费休电位滴定法水分测定仪

2.1.4 闪点

1.基本概念及检测意义

润滑油在规定的试验条件下,试验火焰引起润滑油蒸气着火,并使火焰蔓延至液体表面的最低温度,且修正到101.3kPa大气压下的温度为闪点。

闪点又分为开口闪点和闭口闪点。开口闪点用于重质润滑油和深色润滑油闪点的测定;闭口闪点用于轻质润滑油和燃料油的闪点测定。一般情况下,同一个样品的开口闪点要比闭口闪点高20~30℃。

企业在开展润滑油监测过程中,为了保障安全,闪点是必检项目,其重要性主要表现在以下几个方面。

1)闪点是评价石油产品蒸发倾向和安全性的指标,它不仅可直观反映其馏分组成的轻重,还可以判断油液变质情况,是石油产品使用储存的一项重要理化指标。为了保证润滑油使用安全,在选用润滑油时,一般要求闪点比使用温度高20~30℃。

2)润滑油闪点的高低不仅取决于自身的特性,还取决于油液中是否混入其他组分及其含量。若油液中混入轻质组分,其闪点会下降,不仅存在安全隐患,同时还会影响润滑效果,应立即查找原因。对于发动机的油液监测,为了避免燃油泄漏造成事故,闪点是必检项目。

3)为了解油液组分均匀性和挥发性,可以同时测定开口内点、闭口闪点。这是因为测开口闪点时有一部分油蒸气挥发了,若同一油样开口闪点与闭口闪点之差太大,则表明该油液组分不均匀、易挥发,在使用中应加以注意。

2.检测方法及分析仪器

(1)开口闪点

开口闪点通常采用克利夫开口杯仪器检测,测定原理是将试样装入试验杯中到规定的刻线后,迅速升高试样的温度,当接近闪点时再缓慢地以恒速升温。在规定的温度间隔下,用点火器火焰按规定通过试样表面,使试样表面上的蒸气发生闪火,并将火焰蔓延至液体表面的最低温度作为该样品的开口闪点。在闪点测试过程中,应避免外界环境对试验蒸气浓度的干扰,否则会影响测试结果。对于黏度较高油液,由于测试过程中产生的泡沫不能及时消退,在试验结束后仍残留在油液表面,因此得出的结果是不可靠的。

开口闪点常用的检测方法有GB/T 3536—2008《石油产品 闪点和燃点的测定 克利夫兰开口杯法》和ASTM D92《用克利夫兰开口杯闪点仪测定闪点和燃点的试验方法》。克利夫兰开口杯试验仪器主要由试验杯、加热板、试验火焰发生器和加热器等组成,如图2-10所示。

(2)闭口闪点

闭口闪点通常采用宾斯基-马丁闭口闪点仪测定。测试时,将试样装入封闭的加热杯内,在规定的速率下连续搅拌,并以恒定速度加热样品。在规定的温度间隔并同时中断搅拌的情况下,将试验火焰引入杯内,使试样上的蒸气闪火,并使火焰蔓延至液体表面的最低温度即为闭口闪点。

闭口闪点常用的测试方法有GB/T 261—2021《闪点的测定 宾斯基-马丁闭口杯法》和ASTM D93《用宾斯基-马丁闭口杯闪点仪测定闪点的试验方法》。GB/T 261—2021包含步骤A和步骤B两种方式测定油液的闪点,两种方式的主要差异在于加热速率和搅拌速率不同。步骤A适用于新油,步骤B适用于运行油,但在监控润滑油系统时,为了进行新油与运行油闪点的比较,也可以用步骤A来测定运行油的闪点。宾斯基-马丁闭口闪点试验仪器主要由试验杯、点火器、搅拌装置和加热室等组成,如图2-11所示。

图2-10 克利夫兰开口杯试验仪器

图2-11 宾斯基-马丁闭口闪点试验仪器

2.1.5 酸值

1.基本概念及检测意义

酸值是表示润滑油中酸性物质的多少,指的是中和1g油液试样中全部酸性组分所需要的碱量,以KOH计,单位为mg/g。

酸值分为强酸值和弱酸值两种,两者合并即为总酸值。通常所说的酸值即指总酸值。国内常用酸值,国外常用总酸值。

新油或旧油中酸性组分包括有机酸、无机酸、酯类、酚类化合物、内酯、树脂,以及重金属盐类、铵盐和其他弱碱的盐类、多元酸的酸式盐和某些抗氧剂及清净添加剂,一般情况下润滑油中不含无机酸。在油液监测过程中,检测酸值的重要性主要体现在以下几个方面。

1)润滑油酸值的大小对润滑油的使用有很大影响,除了加有酸性添加剂的润滑油酸值较大是正常现象,一般酸值大,则表示油液中的有机酸含量高,可能对与其接触的机械零件造成腐蚀,尤其是有水存在时,这种腐蚀作用可能更加明显。另外,润滑油储存和使用过程中发生氧化变质时,酸值也会逐渐增大,不仅腐蚀设备,而且影响润滑油的使用性能。

2)对新油酸值的检测,一方面能反映基础油的精制程度,酸值越低,表示基础油的精制程度越高,质量也越好;另一方面对于含有酸性添加剂的润滑油,酸值的高低,一定程度上能间接反映润滑油酸性添加剂添加量的多少。酸值是成品油质量的控制指标。

3)对于含酸性添加剂的在用油,随着酸性添加剂逐渐损耗,其酸值在使用初期会有所下降。当添加剂消耗到一定程度后,继续使用油液会导致其氧化变质,产生酸性组分,酸值又逐步增大。因此,在对油液酸值的监测中,根据酸值的变化情况,并结合其他检测指标,可以获得添加剂消耗以及油液性能变化情况。

2.检测方法及分析仪器

酸值的测试方法主要有三类,分别是颜色指示剂法、电位滴定法、温度滴定法。

(1)颜色指示剂法

颜色指示剂法是将试样溶解于规定的溶剂中,形成均相体系,用标准碱的醇溶液滴定,通过加入指示剂颜色的变化确定滴定终点,并按滴定所消耗的标准溶液体积数量及其浓度来计算试样的酸值。颜色指示剂法主要用于浅色油液的酸值检测,深色油液由于基体颜色的干扰,故不适宜采用颜色指示剂法。

常见的颜色指示剂检测酸值的方法有GB/T 264—1983《石油产品酸值测定法》和GB/T 4945—2002《石油产品和润滑剂酸值和碱值测定法(颜色指示剂法)》。

(2)电位滴定法

电位滴定法是根据滴定过程中指示电极电位的变化来确定滴定终点的一种滴定分析方法。电位滴定法测试酸值的基本原理是将试样溶解在含有少量水的甲苯异丙醇混合滴定溶剂中,以玻璃指示电极和参比电极或者复合电极作为电极对,使用电位滴定仪,用氢氧化钾异丙醇标准溶液进行电位滴定,以电位计读数对应标准溶液滴定体积绘制滴定曲线,将曲线上明显的突跃点作为滴定终点。若无明显的突跃点时,则以新配的水性酸或碱缓冲溶液的电位值作为滴定终点,并根据滴定到终点所使用的氢氧化钾的体积来计算试样酸值大小。

电位滴定测试酸值的常用方法有GB/T 7304—2014《石油产品酸值的测定 电位滴定法》和ASTM D664《用电位滴定法测定石油产品酸值的试验方法》。其中,GB/T 7304—2014是以pH值为11的新配水性碱缓冲溶液的电位值作为滴定终点,而ASTM D664是以pH值为10的新配水性碱缓冲溶液的电位值作为滴定终点。电位滴定仪主要由加液单元、电位计、电极和搅拌器等组成。图2-12所示为常见的自动电位滴定仪及其典型的电位滴定曲线。

图2-12 自动电位滴定仪及其典型电位滴定曲线

注:曲线 A 代表125mL滴定溶剂的空白;曲线 B 代表10.00g曲轴箱用过的油加入125mL的滴定溶剂。没有明显变化,选择两个水性缓冲溶液的计量读数作为终点;曲线 C 代表10.00g包含弱酸的油液加入125mL的滴定溶剂。选择曲线接近垂直的点作为终点;曲线 D 代表10.00g包含弱酸和强酸的油液加入125mL的滴定溶剂。选择曲线接近垂直的点作为终点(1.77mL为强酸值的滴定终点,6.50mL为总酸值的滴定终点)。

(3)温度滴定法

温度滴定法是一种使用温度测量系统指示化学反应的终点,同时加入化学物质以提升终点检测灵敏度的滴定方法。目前,采用温度滴定法测试酸值的方法主要有NB/SH/T 6011—2020《石油和石油产品酸值的测定 催化温度滴定法》。其基本原理是将试样溶解在二甲苯-异丙醇的混合溶剂中,加入适量的多聚甲醛粉末,在使用温度电极的温度滴定仪上,用氢氧化钾异丙醇标准溶液进行温度滴定,以温度对应标准溶液滴定体积来绘制滴定曲线。氢氧化钾和试样发生反应为放热反应,多聚甲醛的解聚反应为吸热反应。当试样中所有的酸反应完全后,多聚甲醛在碱的作用下,持续发生吸热的解聚反应,曲线的斜率会发生明显变化,曲线斜率的变化点即为滴定终点。温度滴定仪主要由加液单元、温度电极和搅拌器等组成。图2-13所示为常见的自动温度滴定仪及其典型温度滴定曲线。

温度滴定法作为一种新的物理化学分析方法,是基于测定化学反应体系的温度变化来测定待测组分含量,具有操作简便、快捷、灵敏度高等优点,近年来备受分析化学领域的关注。在酸碱中和反应中,随着氢氧化钾的滴加,温度逐步降低,当达到滴定终点时,过量的氢氧化钾与温度指示剂发生剧烈的放热反应,温度急速上升,产生温度拐点也即滴定突跃点。在温度滴定过程中,反应体系封闭,仅对体系温度进行监测,反应体系对滴定过程基本没有干扰。在试验中仅需要一个热敏电阻探头监测反应体系温度,根据滴定温度曲线突跃点来确定滴定终点。因此,对于基体复杂的在用润滑油,温度滴定具有更高的准确度和精密度。

图2-13 自动温度滴定仪及其典型温度滴定曲线

2.1.6 碱值

1.基本概念及检测意义

总碱值表示中和1g润滑油试样中全部碱性组分所需要的酸量,以相当的KOH毫克数表示,单位为mgKOH/g。

润滑油中碱性组分主要包括有机碱、无机碱、胺基化合物弱酸盐(皂类)、多元酸碱式盐、重金属盐类和碱性添加剂等。由于内燃机油的清净分散剂是碱性的,所以测试碱值可间接反映内燃机油清净分散剂的含量,碱值的作用主要体现在以下几个方面。

1)当石油产品含有添加剂时,就可能有碱性组分,通过测试碱值来衡量添加剂在润滑油使用过程中的降解情况,间接反馈在用油的清净分散能力以及防止油液氧化的能力,从而指导设备视情换油或增添高碱值的新油。

2)内燃机的工作环境温度较高,在运行过程中,容易发生氧化反应而产生酸性组分,对柴油机零部件具有强烈的腐蚀性。因此,要定期检测碱值的变化,并不断添加新油,确保内燃机油中有足够量的碱性添加剂来中和所产生的酸性物质。

2.检测方法及分析仪器

碱值的测试方法主要有两类,分别是颜色指示剂法、电位滴定法。

(1)颜色指示剂法

颜色指示剂法检测碱值主要依据GB/T 4945—2002《石油产品和润滑剂酸值和碱值测定法(颜色指示剂法)》,其基本原理是将试样溶解于含有少量水的甲苯和异丙醇混合溶剂中,形成均相体系,加入对-萘酚苯指示剂溶液,若溶液显示暗绿色,说明溶液呈碱性,则室温条件下用标准酸的醇溶液滴定,通过颜色的变化来确定滴定终点,并按滴定所消耗的标准溶液的体积数量及其浓度来计算试样的碱值;若溶液显示橙色,说明溶液呈酸性,则不能用此方法测试碱值。对于同一个样品,加入相同指示剂后,只能显示一种性质——酸性或者碱性。

颜色指示剂法主要用于浅色油液且水中离解常数>10 -9 的碱的碱值测试,深色油液由于基体颜色的干扰,不适宜采用颜色指示剂法。

(2)电位滴定法

电位滴定法检测润滑油总碱值的方法为SH/T 0251—1993《石油产品碱值测定法(高氯酸电位滴定法)》。该方法规定可用正滴定法或返滴定法,通常用正滴定法。其原理是:将试样溶解于滴定溶剂中,以玻璃电极为指示电极,甘汞电极为参比电极,使用电位滴定仪,用高氯酸-冰乙酸标准滴定溶液进行电位滴定,以电位计读数对应标准溶液滴定体积来绘制滴定曲线,将曲线上明显的突跃点作为滴定终点。当采用正滴定曲线电位突跃不明显时,可采用返滴定方法。电位滴定仪主要由加液单元、电位计、电极和搅拌器等组成。图2-14所示为常见的自动电位滴定仪及其典型的电位滴定曲线。

图2-14 自动电位滴定仪及其典型电位滴定曲线

2.1.7 凝点和倾点

1.基本概念及检测意义

凝点表示石油产品在规定的冷却条件下,将样品试管倾斜至与水平呈45°,静置1min后,液面不移动时的最高温度即为凝点。

倾点表示石油产品在规定的冷却条件下,每隔3℃检查一次样品的流动性,直到样品能够流动的最低温度即为倾点。

凝点和倾点均表示油品的低温流动性,无原则性差别,只是测定方法有所不同。一般情况下倾点高于凝点2~3℃。在低温条件下使用润滑油,凝点和倾点作为必检项目,其重要性主要体现在以下几个方面。

1)润滑油的凝点和倾点是润滑油低温性能的重要质量指标。凝点或倾点高的润滑油不能在低温下使用,否则将堵塞油路,不能正常润滑。

2)随着使用温度的下降,润滑油的黏度降低,流动性变差,直至完全失去流动性。为保证在低温下润滑系统正常工作,润滑油应具有良好的低温流动性。因此,在选用润滑油时,要注意其凝点或倾点最好比使用环境温度低10~20℃。

3)对于发动机来讲,特别是在寒冷地区,油液在运动部件起动温度下太黏稠,将使运动部件因滞动而无法起动。为保证发动机的正常起动,应选择较低凝点或倾点的润滑油。

2.检测方法及分析仪器

润滑油凝点的测定方法按GB/T 510—2018《石油产品凝点测定法》进行。测定样品凝点时,将样品装在规定的试管中,竖直浸入水浴中加热至50℃后,取出并在室温下静置,待样品冷却至35℃±5℃后,再置于冷却浴中冷却到预期凝点时,将试管倾斜至与水平呈45°静置1min后,从冷却浴中取出,竖直放置,观察液面是否移动,以试管内液面不流动时的最高温度作为凝点。

倾点的测定方法按GB/T 3535—2006《石油产品倾点测定法》进行。测定样品倾点时,将样品经过预加热后,在规定的速率下冷却,从第一次观察样品流动性后,每降低3℃观察一次样品的流动性。当试管充分倾斜而样品不流动时,立即将试管水平放置5s,以记录观察到试样能够流动的最低温度作为倾点。

凝点和倾点测试仪器的结构基本相同,都主要由试管、套管、温度计、木塞、垫圈和冷却浴等组成。图2-15a所示为一种凝点和倾点测试仪的外观,图2-15b、c所示为凝点和倾点的测试液面状态。对于凝点和倾点,主要适用于体系均一稳定的样品,在测试过程中,若出现明显的分层现象,则表明此类样品不适合在低温环境下使用。

图2-15 凝点和倾点测试仪及测试液面状态

2.1.8 机械杂质

1.基本概念及检测意义

机械杂质表示所有悬浮和沉淀于润滑油中且不溶于溶剂的固体杂质。机械杂质主要来源于生产、储存、使用过程中的外界污染、机器磨损和腐蚀污染。大部分情况下是由粉尘、铁屑和积炭颗粒组成的。

机械杂质会影响润滑油的质量并降低润滑油的使用效果,若机械杂质含量过高则会导致设备异常磨损,严重影响机械运转。机械杂质作为油液监测的重要指标,其重要性主要体现在以下几个方面。

1)机械杂质是新油质量的重要控制指标,因为油液在生产、储存和运输过程中都会带来机械杂质。

2)对于在用油液来说,若机械杂质含量过高,则会导致油液黏度增大,从而导致油液流动性变差,散热效果降低。因此,定期监测油液中机械杂质含量的变化趋势是十分必要的。

3)机械杂质是判断设备是否需要换油的指标之一。油液中的外来粉尘、砂粒污染以及机器磨损的碎屑等都会加速机械设备的异常磨损,同时还会堵塞油路及过滤器,导致设备产生润滑故障。

4)部分品牌的内燃机润滑油,由于其金属的盐类添加剂含量较高,因此会使新油的机械杂质含量偏高,但必须满足出厂标准。

2.检测方法及分析仪器

机械杂质的测定方法是按GB/T 511—2010《石油和石油产品及添加剂机械杂质测定法(重量法)》进行。其测试过程是称取一定量试样,加热到规定温度后,加入一定量的溶剂进行稀释,然后用已恒重的定量滤纸或微孔玻璃过滤器过滤,被留在滤纸或微孔过滤器上的杂质即为机械杂质。若机械杂质含量(质量分数)≤0. 005%,则可认为无机械杂质。在测试过程中,按照试样的性质选择合适的取样量,选择对应的加热溶剂按照适当比例进行稀释。

机械杂质的测试装置主要由恒温水浴、真空抽滤装置及抽滤瓶、锥形烧瓶等组成。图2-16所示为常见的石油产品机械杂质测定器。

图2-16 常见的石油产品机械杂质测定器

2.1.9 不溶物

1.基本概念及检测意义

不溶物指标是指在用润滑油中不溶于正戊烷或甲苯溶剂的物质含量。不溶物的多少能反映在用润滑油的污染和劣化情况。不溶物按其溶剂溶解性分为正戊烷不溶物和甲苯不溶物两类。

正戊烷不溶物表示在用油与正戊烷混合后,分离出来的物质,主要包括从油和添加剂分解产生的油不溶物和不溶胶质。不溶胶质主要指在用油分析中,分离出来的溶于甲苯但不溶于正戊烷的物质。

甲苯不溶物表示不溶于正戊烷且不溶于甲苯的物质,可能来自外部污染物质、从燃料、油液和添加剂分解产生的炭和高度炭化的物质、发动机磨损和腐蚀产生的物质。主要指油中的磨损金属颗粒、粉尘杂质和积炭等固体物质。

由上述定义可见,在用油正戊烷不溶物、甲苯不溶物和不溶胶质的显著变化,能反映油液劣化衰败的程度,从而反映油液的润滑效能。企业在开展油液监测过程中,不溶物检测的重要性主要体现在以下几个方面。

1)对于在用润滑油,通过测定正戊烷不溶物和甲苯不溶物,能够反映润滑油的污染程度和衰败变质情况,能够帮助确定引起设备故障的原因。

2)对于发动机油,通过不溶物含量来评价其质量的变化。同时测定正戊烷不溶物和甲苯不溶物,则能有效检测油液高温氧化、裂解所形成的不溶胶质数量。而不溶胶质是油泥的重要组成部分,反映了油液的衰败程度。

3)正戊烷不溶物反映了在用油容纳污染的能力,反映润滑油的老化程度和污染程度,是柴油机油和汽油机油质量衰败的重要指标。正戊烷不溶物是设备定期换油的参考指标之一。

2.检测方法及分析仪器

在用润滑油不溶物测定方法的标准是GB/T 8926—2012《在用的润滑油不溶物测定法》。该标准中规定了两种方法。

方法A:适用于在用润滑油中不加絮凝剂的正戊烷不溶物和甲苯不溶物的测定,将一份在用润滑油样品与正戊烷溶剂混合,并在离心机上分离后缓慢地倒出上层油溶液。用正戊烷洗涤沉淀物两次,再干燥称重,即得到正戊烷不溶物。检测甲苯不溶物时,则是在已用正戊烷洗涤沉淀物两次后,再分别用甲苯-乙醇溶液和甲苯溶液各洗涤一次,然后干燥称重,即得到甲苯不溶物。

方法B:适用于含有清净分散剂的在用润滑油,测定加入絮凝剂凝聚后的正戊烷不溶物和甲苯不溶物。与方法A不同之处在于,方法B是将在用润滑油样品与正戊烷-凝聚剂溶剂混合,得到的是凝聚后的正戊烷不溶物和甲苯不溶物。

不溶物的测定装置主要由离心管、离心机、烘箱、天平、量筒和洗瓶等组成,其中离心机是关键部件,它首先要满足正常使用时的所有安全要求,如防静电、防爆等,其次是转速,要能达到使离心管的末端获得600~700的相对离心力的要求。根据所用离心机的具体技术性能,达到600~700相对离心力所需转速的计算公式为

式中 n ——离心机旋转头的转速(r/min);

f —— 离心管末端给出的相对离心力(600~700);

d —— 在旋转位置时,相对的两个离心管末端之间的距离(mm)。

根据式(2-4)计算出的转速,设置离心机的旋转速度。在放置离心管时,要用水平衡每一对已装好试样的离心管。特别要在离心管底座注入水,使离心管末端所承受的离心力通过水的平衡而缓解,避免玻璃离心管破碎。

图2-17所示为常见的离心机和锥形离心管。

图2-17 常见的离心机和锥形离心管

2.1.10 抗乳化性

1.基本概念及检测意义

乳化是指一种液体在另一种液体中均匀分散而形成乳状液的现象。它是两种液体的混合而非相互溶解。润滑油在使用过程中与水接触,在一定条件下就会产生不同程度的乳化。乳化剂指能够使两种以上互不相溶的液体形成稳定分散体系的物质。

润滑油的抗乳化性或破乳化度是指油液遇水发生乳化,在规定的温度下静置并能迅速实现油水分离的能力。抗乳化剂会增加油水之间的界面张力,使乳化液处于热力学上的不稳定状态,破坏乳化液,使油水分离。

影响润滑油水分离性能的主要因素有基础油的精制程度、油液污染程度和油液添加剂的配伍状况。对于调配好的成品油,使用过程中产生的机械杂质、油泥等污染物均会严重影响油液的抗乳化性或破乳化度。若油水分离能力较差,则会影响润滑油的使用性能,故检测润滑油的油水分离能力,其重要性主要体现在以下几个方面。

1)润滑油的抗乳化性与基础油的精制深度有关,精制程度越深,油液的抗乳化性越好,对新油的抗乳化性检测,能反映新油的质量好坏。

2)润滑油在使用过程中若与水形成乳化液,会降低油液的润滑性能,增加设备磨损,因此要求润滑油具有较好的抗乳化性能,使油中的水分能迅速地从油中分离出来。

3)对于循环系统使用的工业润滑油,如液压油、齿轮油、汽轮机油及轴承油等,在使用过程中都要与冷却水或水蒸气接触,其量之大需要定期从循环油箱底部排放混入的水分。因此,对这些油液的抗乳化性都有较高的要求,特别是汽轮机油和轴承油。

4)在油液使用过程中,随着氧化程度、酸性物质的增加,将产生更多的机械杂质,从而导致油液的抗乳化性变差,因此抗乳化性也是判断油液是否需要更换的重要质量指标。

2.检测方法及分析仪器

润滑油的抗乳化性测试方法主要有三种,分别是GB/T 7305—2003《石油和合成液水分离性测定法》、GB/T 7605—2024《运行中汽轮机油破乳化度测定法》和GB/T 8022—2019《润滑油抗乳化性能测定法》。

(1)GB/T 7305—2003《石油和合成液水分离性测定法》

该方法适用于测定40℃运动黏度为28.8~90mm 2 /s和部分40℃运动黏度>90mm 2 /s的石油和合成液的水分离性,是最常用的抗乳化性测试方法。当测定40℃运动黏度为28.8~90mm 2 /s的石油和合成液的水分离性时,试验温度为(54±1)℃,当测定40℃运动黏度>90mm 2 /s的石油和合成液的水分离性时,试验温度为(82±1)℃。

试验时,将试样和蒸馏水各40mL装入同一量筒内,在规定温度下,以1500r/min的转速将混合液搅拌5min。停止搅拌并提起搅拌叶片,每隔5min从侧面观察记录量筒内油、水、乳化层体积的毫升数和相应的时间,如图2-18所示。当乳化液为3mL或更少时,认为润滑油和水分开,记录分离时间,结果按照“油层毫升数-水层毫升数-乳化层毫升数(分离时间)”进行报告,如“40-37-3(15)”。一些特殊的油样可能会产生的油层不明显,在这种情况下,如果观测到完全分离的两层,且上层样品<43mL时,将上层记作油层,如果上层样品>43mL,则将上层记作乳化层。

图2-18 润滑油的水分离性

水分离性的测试装置主要由量筒、水浴、搅拌器和秒表等组成,如图2-19所示。其中,量筒刻度误差不应>1mL,水浴温度的自控精度为±1℃,搅拌器转速为(1500±15)r/min。

(2)GB/T 7605—2024《运行中汽轮机油破乳化度测定法》

该方法适用于运行中汽轮机油破乳化度的检测,新油也可参照执行。其测试过程与测试仪器均与GB/T 7305—2003《石油和合成液水分离性测定法》相似,即将试样和蒸馏水各40mL装入同一量筒内,在规定温度下,以1500r/min的转速将混合液搅拌5min。停止搅拌同时开始计时,当乳化层体积减少至≤3mL时,即记录为油品的破乳化时间;当计时超过60min,乳化层体积依旧>3mL时,则停止试验,记录破乳化时间>60min。

(3)GB/T 8022—2019《润滑油抗乳化性能测定法》

该方法主要用于测定高黏度润滑油(如齿轮油)的抗乳化性。其原理是在分液漏斗中加入一定量的试样,恒温至82℃,然后在室温下取一定量的二级水加入至分液漏斗中,将混合液在82℃温度下以一定的速度搅拌5min,静置5h后记录分离水的总体积、乳化液的体积和油中水的百分数。对于不含极压添加剂的样品,试样量选择405mL,加入的二级水体积为45mL,搅拌速度为(4500±500)r/min;对于含有极压添加剂的样品,试样量选择360mL,加入的二级水体积为90mL,搅拌速度为(2500±250)r/min。抗乳化性的测试装置主要由加热浴、搅拌器和量筒等组成,如图2-20所示。

图2-19 水分离性测试仪

图2-20 抗乳化性测试仪

对于新油而言,抗乳化性测试时通常选用蒸馏水,但对于监测在用油的抗乳化性时,最好要用设备现场可能进入润滑油的水质来检测。例如,检测钢厂轴承油的抗乳化性时,用蒸馏水和钢厂冷却水所测的结果差别较大,这是因为钢厂冷却水中的污染物较多,加强了油液的乳化倾向性。因此,要准确判断钢厂轴承油对于特定条件下的抗乳化性,就应该用钢厂轴承冷却水来检测该油的抗乳化性。

2.1.11 泡沫特性

1.基本概念及检测意义

泡沫特性是指润滑油在规定条件下产生泡沫的倾向和生成的泡沫稳定性,它代表着润滑油的抗泡性能。泡沫特性用泡沫倾向性和泡沫稳定性来表征,泡沫倾向性越小,表示生成泡沫的风险越小;泡沫稳定性越低,表明生成的泡沫越容易消失。因此,抗泡性能越好的润滑油,其泡沫倾向性越小,泡沫稳定性越低。

泡沫是在液体内部或表面聚集起来的气泡,从体积上考虑,空气(气体)是主要组成部分。润滑油在使用过程中产生泡沫与油液本身添加剂和油中的污染物有关。润滑油中一些极性添加剂具有表面活性作用,这些添加剂会促使油液产生泡沫。油液在使用过程中,会生成油泥、胶质等氧化产物,也会受到外界固体颗粒和设备磨损产生的磨粒的污染,这些污染物会导致油液表面张力下降,促使产生泡沫。此外,润滑油在使用过程中,会与空气接触,同时也会因振荡、搅拌等作用,将空气带入油中,导致泡沫增多。泡沫对设备润滑的危害极大,主要表现在以下几个方面。

1)在高速齿轮、大容积泵送和飞溅润滑系统中,泡沫会引起的不良润滑、气穴现象和润滑剂的溢流损失均会导致机械故障。

2)溶解在油液中的空气在压力低时会从油中逸出,产生气泡,形成空穴现象。高压下气泡容易被击碎,因急剧被压缩而产生噪声和气穴腐蚀,同时造成油液局部温度急剧升高,加剧油液的氧化变质。

3)润滑油中含有气泡,使润滑油的总体积增加,润滑油从呼吸孔和注油管中溢出,在油位指示器中显示出假的油位,导致供油量不足,甚至会造成跑油事故。

4)润滑油中含有泡沫,使其压缩性增大,油泵效率下降,供油系统发生气阻,从而造成摩擦副断油,泡沫进入摩擦副,会因压力作用而在瞬间破裂,导致油膜形成不良,产生异常干摩擦。

2.检测方法及分析仪器

泡沫特性测试的方法主要有三种:中等温度泡沫特性测试、高温泡沫特性测试和FLENDER泡沫试验法。

(1)中等温度泡沫特性测试

中等温度泡沫特性的测试方式通常采用GB/T 12579—2002《润滑油泡沫特性测定法》。将一定量油样放入量筒内,按程序Ⅰ、Ⅱ、Ⅲ进行测定,每个程序对应的温度分别是24℃、93.5℃、24℃。每个程序都是以94mL/min空气流速,通入洁净干燥的空气5min。通气结束后,立即记录油面上的泡沫体积,即总体积减去液体的体积,这个体积称为泡沫倾向性,用mL表示。停止通气后泡沫不断破灭,10min后再记录油面上残留的泡沫体积,用这个体积来表征泡沫稳定性,同样用mL表示。每个程序的测试结果都表示为“泡沫倾向性(mL)/泡沫稳定性(mL)”,记录下三个程序的测试结果作为泡沫特性的测试结果。某些类型的润滑油在储存过程中,因泡沫抑制剂分散性的改变,致使泡沫增多,如怀疑有以上现象,可以选择步骤A对样品进行处理。步骤A的具体操作过程是将样品放入一个带高速搅拌器的1L洁净容器中,并以最大速度搅拌1min。在搅拌过程中,常会带入一些空气,因此需使其静止,以消除带入的泡沫,再进行泡沫特性的测试。

中等温度泡沫特性测试仪器主要由1000mL量筒、直径为25.4mm的气体扩散头、恒温浴、流量计和进出气导管等组成,如图2-21所示。扩散头一般是由烧结的结晶状氧化铝制成的砂芯球,或是由烧结的5μm多孔不锈钢制成的圆柱形。技术要求满足最大孔径≤80μm,渗透率在2.45kPa压力下为(3000~6000)mL/min。要定期进行气体扩散头最大孔径和渗透率的测定,若不满足技术要求,则应及时更换。当对测试结果有疑问时,应及时确认最大孔径和渗透率的情况。

图2-21 中等温度泡沫特性测试仪

(2)高温泡沫特性测试

高温泡沫特性测试通常采用SH/T 0722—2002《润滑油高温泡沫特性测定法》,主要适用于发动机油和传动液。将试样加热到49℃,恒温30min后冷却至室温,然后将试样转移至带刻度的1000mL量筒内,并加热到150℃,以200mL/min的流速向扩散头内通干燥空气,通气5min,测定停止通气前瞬间的静态泡沫量、运动泡沫量,以及停止通气后规定时间的静态泡沫量、泡沫消失的时间和总体积增加百分数。若采用高速搅拌,先剧烈摇动试样1min,将500mL试样倒入容器,在(22000±2000)r/min速度下搅拌试样1min。

高温泡沫特性测试仪主要由1000mL量筒、直径为25.4mm的气体扩散头、恒温浴、流量计和进出气导管等组成,如图2-22所示。

(3)FLENDER泡沫试验法

FLENDER泡沫试验法通常采用NB/SH/T 6007—2020《工业齿轮油泡沫和空气释放特性的评定FLENDER泡沫试验法》,是一种采用单级直齿轮FLENDER泡沫试验机评价工业齿轮油泡沫和空气释放特性的试验方法。在设定温度下,由恒定转速电动机驱动的一副齿轮搅拌试验油样(300±5)s。电动机停止后的90min内,以固定的时间间隔,测定齿轮箱中试验油样的总体积增加百分数、油-气混合物体积增加百分数和表层泡沫体积增加百分数。

FLENDER泡沫试验机主要由油箱、齿轮和体积百分数刻度尺等组成,如图2-23所示。其中,试验机包含一个容积约为2L的密闭齿轮箱,齿轮箱的前端有一个可开启的密封玻璃观察窗,上面有最小分度值为1%的刻度尺。齿轮箱内安装有加热系统,箱体上方有加油口,箱体下方有放油口。

图2-22 高温泡沫特性测试仪

图2-23 FLENDER泡沫试验机

2.1.12 抗磨性和极压性

1.基本概念及检测意义

润滑油的抗磨性和极压性是衡量润滑油润滑性能的重要指标。抗磨性是指润滑油在轻负荷和中等负荷条件下,能在摩擦副表面形成润滑油薄膜以抵抗摩擦副表面磨损的能力。极压性是指润滑油在低速高负荷或者高速冲击负荷条件下,抵抗摩擦副表面发生烧结、擦伤的能力。评定润滑油抗磨性和极压性的试验方法很多,应用最为广泛的是四球法。

四球法是采用四球极压试验机测试润滑油抗磨性和极压性,主要检测指标有最大无卡咬负荷 P B 值、烧结负荷 P D 值、综合磨损值ZMZ和磨斑直径 D

最大无卡咬负荷 P B 值:即在试验条件下钢球不发生卡咬的最高负荷。它表征油膜强度,在该负荷下测得的磨斑直径不得大于相应补偿线上数值的(1+5%)。

烧结负荷 P D 值:即在试验条件下使钢球发生烧结的最低负荷,它表征润滑油的极限工作能力。

综合磨损值ZMZ:是润滑油在所加负荷下使磨损减少到最小的抗极压能力的一个指数,它等于若干次校正负荷的算术平均值。

磨斑直径 D 是指润滑油在一定载荷下,磨损一段时间后,下部钢球表面的磨损斑痕的直径,常用来评价润滑油的抗磨能力。根据润滑剂种类和使用场合的不同,所施加的载荷和磨损时间也不同,例如, 是指润滑油在392N的载荷下,磨损60min后的钢球表面的磨损斑痕的直径。

为保证工业设备的安全运行和使用寿命,在开展设备润滑磨损状态监测过程中,有必要对新油和在用油的抗磨性进行不定期的抽查,以确保润滑油液的抗磨性和极压性,其重要性主要体现在以下几个方面。

1)润滑油在使用过程中,时常会因新油的品质以及使用过程的劣化而使油液的抗磨性变差,导致设备润滑部件的异常磨损。对于润滑油抗磨性测试的方法很多,但四球法是最简单和实用的方法。

2)在液压系统中,泵及大功率液压马达起动和停止时可能处于边界润滑状态,若液压油润滑不良、抗磨性差,则会发生黏着磨损、磨粒磨损和疲劳破损,使其性能下降,寿命缩短,系统发生故障。

3)极压抗磨性是齿轮油的最重要性能。在齿轮传动中,齿与齿间接触面不大,但齿合部负荷很高,润滑条件苛刻,为了确保齿面间不产生擦伤、胶合、点蚀及磨损,齿轮油应具有良好的极压抗磨性。

4)润滑油中的极压抗磨添加剂与金属发生化学反应,在摩擦副表面生成剪切应力和熔点都比原金属要低的极压固体润滑膜,以此来防止摩擦副表面相互烧结磨损。因此,对有极压性能要求的润滑油必须进行极压性检测。四球法的PD值检测是评价润滑油极压性最简单且最实用的方法之一。

2.检测方法及分析仪器

采用四球法评价润滑油的极压抗磨性的方法有很多,常见的有GB/T 3142—2019《润滑剂承载能力测定 四球法》(主轴转速为1450r/min±50r/min)、GB/T 12583—1998《润滑剂极压性能测定法(四球法)》(1760r/min±40r/min)以及NB/SH/T 0189—2017《润滑油抗磨损性能的测定 四球法》。四球法试验过程是将三个直径为12.7mm的钢球夹紧在一起,装于四球机油盒中,并用试验油浸没。另一个相同直径的钢球安装在四球机主轴上,以不同的转速及负荷向上述三个固定的钢球施加负荷,如图2-24所示。在试验过程中,4个钢球的接触点都被浸没在润滑油中。通过测定每次试验后钢球表面的磨痕直径,求出代表润滑油抗磨极压性的有关指标。

图2-24 四球法试验

抗磨极压性测试装置主要由四球极压试验机、显微镜和计时器等组成,四球极压试验机分为杠杆式四球机和液压式四球机,如图2-25所示。四球极压试验机主轴转速按所选用的试验方法来确定,应满足试验条件的上限要求,负荷范围为60~9810N。四球机应有刚性抗振结构,四球极压试验机上弹簧夹头中的钢球径向圆跳动不应>0. 02mm。显微镜装有测微尺,读数精度为0.01mm,秒表精度为0.1s。四球极压试验机专用试验钢球材质为优质铬合金轴承钢GCr15A、直径为12.7mm、硬度为61~66HRC。

图2-25 四球极压试验机

2.1.13 液相锈蚀

1.基本概念及检测意义

锈蚀是指金属表面与水分和空气中氧接触生成金属氧化物的现象。防锈性是指润滑油阻止与其相接触的金属表面被氧化的能力。

在设备运行过程中,不可避免地接触水分和空气,这些都会使金属生锈,影响设备的正常工作,故检测润滑油的防锈性,其重要性主要体现在以下几个方面。

1)在工矿企业,为了避免发动机、齿轮箱等装置因机械零部件表面与水接触而产生锈蚀,要求相应的发动机油、齿轮油、液压油等具有较好的防锈性,润滑油的防锈能力是新油质量验收的重要指标,特别是对容易进水的设备,在选择油液时必须考虑该油的防锈性。

2)在液压系统中,当水分造成金属表面的锈蚀时,会影响液压元件的精度,若锈蚀颗粒脱落,则会造成磨损。

3)在设备运行中,随着水分和杂质的排除,均会使防锈剂量减少,导致防锈性下降,因此应定期监测油液的防锈性,并适当考虑补加防锈剂。

2.检测方法及分析仪器

液相锈蚀测试方法常用的有GB/T 11143—2008《加抑制剂矿物油在水存在下防锈性能试验法》。该方法常用于表征加抑制剂矿物油(如汽轮机油、液压油及循环油等)在与水混合时对铁质部件的防锈能力。

对于防锈油来讲,防锈是其主要用途,其防锈性的评价更为严格,采用的方法主要有GB/T 2361—1992《防锈油脂湿热试验法》和SH/T 0081—1991《防锈油脂盐雾试验方法》,在此不再赘述。

采用GB/T 11143—2008中方法进行液相锈蚀试验时,需量取300mL试样并置于60℃油浴中,待试样温度达到60℃后,将符合要求的圆柱形试验钢棒完全浸没在试样中,搅拌恒温30min,加入30mL的蒸馏水或合成海水混合。在60℃温度下,以(1000±50)r/min转速进行搅拌,经24h或约定时间后将钢棒取出,用石油醚或异辛烷清洗干净,并立即目测评定试验钢棒的锈蚀程度。在试验中间可以取出钢棒观察锈蚀情况,若已严重锈蚀,可立即停止试验。锈蚀程度分为以下4个等级。

1)无锈:试验钢棒上没有锈斑。

2)轻微锈蚀:锈斑不超过6个,每个锈斑直径≤1mm;

3)中等锈蚀:锈斑超过6个,但锈斑面积小于试验钢棒表面积的5%。

4)严重锈蚀:锈斑面积超过试验钢棒表面积的5%。

此处的锈蚀是指发生腐蚀的试验面积,可以通过颜色的变化来判断,或用无绒棉布或薄纸揩拭后,观察试验钢棒表面的坑点和凹凸不平程度。如果表面褪色或斑点很容易被无绒棉布或薄纸擦掉,则不应认为是锈蚀。

防锈性测试装置主要由油浴、烧杯、搅拌器和试验钢棒组合件等组成,图2-26所示为常见的润滑油液相锈蚀试验器。其中,对试验结果影响较大的是试验钢棒的材质和前处理。试验钢棒化学成分为: w C =0.15%~0.20%、 w Mn =0.60%~0.90%、 w S ≤0.05%、 w P ≤0.04%、 w Si <0.10%。钢棒的处理应严格按照标准要求进行,经过初磨和最后抛光,处理好的钢棒没有纵向划痕,呈均匀精细的磨光表面,平肩处无锈蚀。处理好的钢棒,不要用手触摸,用一块干净且干燥的无绒棉布或纸(或驼毛刷)轻轻揩拭,将试验钢棒装到塑料手柄上,立即浸入试样中。另外,试验钢棒可直接放入热的试样中。

图2-26 润滑油液相锈蚀试验器

2.1.14 铜片腐蚀

1.基本概念及检测意义

金属腐蚀是指金属表面受周围介质的化学或电化学作用而被破坏的现象;防腐性是指润滑油阻止与其相接触的金属表面被腐蚀的能力。

润滑油中的活性硫化物、有机酸、无机酸等腐蚀性物质会引起机械零部件的腐蚀,造成设备故障,影响设备的正常工作,故检测润滑油的防腐性,其重要性主要体现在以下几个方面。

1)润滑油中的腐蚀性物质可能是基础油和添加剂生产过程中残留下来的,为了保证油液对机械设备不产生腐蚀,腐蚀试验几乎是评定新油质量的必检项目。

2)在设备运行过程中,由于油液高温氧化变质,会形成油泥、胶质及腐蚀性酸,因此对金属设备造成腐蚀,影响设备正常工作。

3)腐蚀作用不仅会使机械设备受到破坏,影响用油设备的使用寿命,而且由于金属腐蚀生成物多数是不溶解于石油产品的固体杂质,因此还会影响石油产品的洁净性和稳定性,对储存和使用带来一系列危害。

2.检测方法及分析仪器

润滑油防腐性评价常用的测试方法是GB/T 5096—2017《石油产品铜片腐蚀试验》,该方法通过润滑油对铜片的腐蚀程度来评价油液的防腐性。在检测过程中,将一块已磨好的铜片浸没在一定量的试样中,并按产品标准要求加热到指定的温度,保持一定的时间,待试验周期结束时,取出铜片,经洗涤后与腐蚀标准色板进行比较,以确定相应的腐蚀级别。腐蚀标准色板是在一块铝薄板上印刷四色加工而成,分别代表失去光泽表面和腐蚀程度增加的试验铜片。对于不同的油液,试验温度和时间也不相同,工业润滑油常用的试验温度为100℃,而车辆齿轮油的试验温度为121℃,腐蚀级别分为4级。具体的分级和级别说明见表2-1。

表2-1 铜片腐蚀标准色板的分级

防腐性测试装置由试验压力容器、试管、恒温浴、温度计、试片和标准色板等组成,图2-27所示为常见的石油产品铜片腐蚀试验器。其中,试验压力容器用不锈钢制作,并能承受700kPa的压力。

试片材料为纯度>99.9%的电解铜。电解铜材料应符合GB/T 5231—2022《加工铜及铜合金牌号和化学成分》中的T2铜。试片尺寸为:长750mm,厚1.5~3.0mm,宽12.5 mm。试片的处理应严格按照标准要求进行,经过表面准备和最后磨光两个步骤,且磨光阶段采用的磨料粒度要比表面准备阶段采用的磨料粒度更大,以便是在铜片表面产生微凸体(可控的表面粗糙度),以作为腐蚀反应的始发地。

铜片腐蚀标准色板由按变色和腐蚀程度增加顺序排列的典型试验铜片的颜色复制品组成,其由典型试片全色复制而成,是在一块铝薄板上采用四色加工过程制成的,并嵌在塑料板中以便防护,且避光存放,如图2-28所示。

图2-27 石油产品铜片腐蚀试验器

图2-28 铜片腐蚀标准色板

2.1.15 抗氧化性

1.基本概念及检测意义

润滑油的抗氧化性是指润滑油在受热和金属的催化作用下抵抗氧化变质的能力。它是反映润滑油在实际使用、储存和运输过程中氧化变质和老化倾向的重要指标,若润滑油抗氧化性差,则会导致油液氧化变质,造成以下危害。

1)润滑油的氧化衰变会导致润滑油性能劣化,酸值增大,颜色变深,使用性能下降,使用寿命缩短;同时还会引起金属腐蚀,增加轴承磨损,直接影响到设备的安全。

2)若润滑油在使用过程中氧化,则易产生油泥和沉淀物,从而导致油液变稠、黏度增大,不利于设备散热。过多的油泥因堵塞油路而影响润滑油的流动,增加设备的磨损。

3)润滑油的氧化变质还会使油液的相关理化性能发生劣化,如油液的泡沫性、乳化性、抗磨性等都会明显下降。

由于润滑油的氧化安定性测试很费时、费力,因此在工矿企业的油液监测工作中往往是通过检测油液的黏度、酸值和不溶物等指标来间接反映在用润滑油液的氧化劣化程度。除了上述外界条件,在用润滑油液的氧化安定性最主要的还是取决于新油的品质,其中更主要的是受基础油的影响。因此主要是对大量采购的新油进行氧化安定性检测,以保证新油的品质。

2.检测方法及分析仪器

评价润滑油抗氧化性的方法指标有多种,常见的有SH/T 0193—2022《润滑油氧化安定性的测定 旋转氧弹法》和GB/T 12581—2006《加抑制剂矿物油氧化特性测定法》。

(1)SH/T 0193—2022

旋转氧弹法是最常见的氧化安定性评价方法。该方法是将试样、二级水和打磨后的金属铜线圈(用作催化剂)放入一个带盖的玻璃盛样器内,置于装有压力表的氧弹中,氧弹充入620kPa压力的氧气。将氧弹放入规定的恒温油浴中,使其以100r/min的速度与水平面呈30℃角轴向旋转。不同的油液采用不同的恒温温度,例如,汽轮机油的恒温温度为150℃,矿物绝缘油的恒温温度为140℃。当氧气压力下降至某一规定压力值时,停止试验并记录试验时间,根据试验时间的长短来表征润滑油的氧化安定性。试验时间越长,表明润滑油的氧化安定性越好。

旋转氧弹测试装置主要由氧弹、带有4个孔的聚四氟乙烯盖子的玻璃盛样器、固定弹簧、催化剂线圈、压力表、温度计和试验油浴等组成,如图2-29所示。氧弹由不锈钢制成,具有良好的导热性,内表面光滑便于清洗,且能在150℃下承载3450kPa的压力。

图2-29 旋转氧弹试验装置及示意

(2)GB/T 12581—2006

润滑油的氧化安定性除了主要取决于自身的化学组成外,还与测试的温度、氧压、金属催化片、金属接触面积及氧化时间等条件有关。因此必须根据所测试润滑油的实际使用环境来选择合理的试验条件。目前,常用的测试方法是GB/T 12581—2006。

该方法测试过程为试样在水和铁-铜催化剂存在的条件下,在95℃条件下与氧反应,试验连续进行并定期监测试验的酸值,待酸值达到2.0mgKOH/g或试验时间达到10000h,试验结束。使酸值达到2.0mgKOH/g的试验时间称为试样的“氧化寿命”。

由于GB/T 12581—2006中规定试验时间较长,实际应用中,可执行性差,因此在实际检测中多依据SH/T 0193—2022来评价不同批次相同组成及加工过程的润滑油氧化安定性的连续性或润滑油的剩余氧化试验寿命。

氧化特性测试装置主要由氧化管、加热浴、流量计及温度计等组成,如图2-30所示。其中,氧化管包括试管、冷凝器和氧气导管;流量计满足流量至少为3L/h,精度为0.1L/h。

图2-30 石油产品氧化特性测试装置

2.1.16 润滑油剩余抗氧剂含量测定(RULER)

1.基本概念及检测意义

润滑油中的抗氧剂,可通过与自由基发生氧化还原反应,使自由基转变为稳定的物质,从而中断了链增长,因此能明显提高润滑油的抗氧化性,大大延长润滑油的使用寿命。在设备的长期高温运行过程中,润滑油中的抗氧剂会不断地消耗降解,当其含量降到临界值时,润滑油的物理和化学性能发生急剧变化,甚至失效。因此,将出现油泥与沉积物的生成、过滤堵塞、油液变稠以及油液酸度增加等异常状况,继而导致设备损坏。为此,定期监测润滑油中抗氧剂使用状态,对设备的状态监测有重要意义,其重要性主要体现在以下几个方面。

1)通过检测剩余抗氧剂含量,及时了解油液中抗氧剂的消耗情况,有助于确定油液的剩余使用寿命和预测最佳的换油期,保证设备的安全运行。

2)对新油进行剩余抗氧剂含量的检测,可以了解油中抗氧剂的种类,通过与标准的RULER曲线对比,还可以辅助辨别伪劣油液。

3)不同油液的RULER曲线也不相同,对在用油进行抗氧剂含量检测,还可以发现加错油、混油等现象,帮助企业及早发现润滑管理中存在的不规范操作,以便及时纠正。

2.检测方法及分析仪器

剩余抗氧剂含量的测量主要采用线性伏安法,溶液中抗氧剂在特定电压值下被氧化会形成氧化电流,而不同的抗氧化剂在特定电压下被氧化形成氧化电流的时间不同,因此根据形成电流的时间不同可以判断抗氧化剂的类型,而根据电流峰值大小就可以判断抗氧化剂含量多少,而伏安法就是依据这个原理来测定油液中剩余抗氧化剂的含量。该方法能够在没有水、燃料、积炭、灰尘、金属、残渣或其他污染物的干扰下对宽范围的抗氧化剂进行评估。伏安法测定剩余抗氧化剂含量的方法较多,常用的有NB/SH/T 0910—2015《无锌涡轮机油中受阻酚型抗氧剂含量测定法 线性扫描伏安法》、SH/T 0968—2017《无锌涡轮机油中受阻酚型和芳胺型抗氧剂含量测定 线性扫描伏安法》、ASTM D7590《用线性扫描伏安法测定在用工业润滑油中剩余抗氧剂含量的标准方法》、ASTM D6971《用线性扫描伏安法测定无锌涡轮机油中受阻酚型和芳胺型抗氧剂含量的试验方法》、ASTM D6810《用线性扫描伏安法测定无锌涡轮机油中受阻酚型抗氧剂含量的试验方法》。

剩余抗氧化剂含量的测试仪器主要由伏安分析仪、玻璃样品瓶和磁力搅拌器等组成,伏安分析仪如图2-31所示。检测时将<0.5mL的油样加至含电解试验溶液和一层细沙的样品瓶中,充分振荡样品瓶,将所测物质萃取到电解质溶液中,再将检测仪器的探头插入到此溶液里,在特定的电压值下,溶液中抗氧化剂的化学活性被激活,形成氧化电流,并得出一条电流-时间曲线,称之为RULER曲线。将被测油的RULER曲线与参比新油的RULER曲线进行对比(见图2-32),通过软件计算出两者相对应的峰值面积比,即为剩余抗氧化剂的含量。该方法的测试结果为被测油与新油的添加剂含量比值,并非油中含有的添加剂的质量分数。

图2-31 伏安分析仪

图2-32 RULER曲线

2.1.17 漆膜倾向指数

1.基本概念及检测意义

漆膜是一种薄、坚硬、有光泽,且不溶于油的沉积物,这种沉积物主要由有机残留物质组成。漆膜有极性,容易沉积附着在金属表面,一旦形成,不仅会影响摩擦副的散热,还会降低摩擦副表面的润滑油膜厚度,导致油膜承载能力下降,产生异常磨损,特别是对于滑动轴瓦、伺服阀等部件,漆膜的形成几乎是致命的。

漆膜倾向指数是指通过滤膜光度分析技术(MPC)检测油液中的降解产物,包括溶解态降解产物和非溶解态降解产物。通过漆膜倾向指数来评估油品产生漆膜的倾向和风险。因此,漆膜倾向指数作为企业监测的一个重要项目,其重要性主要体现在以下几个方面。

1)通过漆膜倾向指数来表征油中氧化不溶物浓度。漆膜倾向指数越高,说明油中含有的极性不溶物越多。

2)检测漆膜倾向指数能够评估涡轮机油,尤其是高温条件下工作的燃汽轮机油在使用过程中产生漆膜的倾向,指导工矿企业及时采取措施防止漆膜的形成。

3)与RULER曲线相结合,共同监测汽轮机油中抗氧化剂胺类和酚类的使用状态,当胺类消耗到一定程度时,设备更容易产生漆膜。

2.检测方法及分析仪器

润滑油漆膜倾向指数的评价方法有GB/T 34580—2017《运行涡轮机油中不溶有色物质的测定方法 膜片比色法》和NB/SH/T 0975—2018《在用涡轮机油中漆膜生成倾向值的测定 膜片比色法(MPC法)》。这两个方法的原理一致,都是先对样品进行前处理,即将样品摇匀,置于65℃条件下加热24h,然后置于室温、无紫外线的环境下放置72h进行老化;再将经过前处理的样品与石油醚溶剂充分混合,使用真空泵,在真空度为71kPa的条件下,采用直径为47mm、孔径为0.45μm硝酸纤维素膜对混合液进行过滤,将硝酸纤维素膜在室温下风干。最后用光度分析仪测量硝酸纤维素膜的颜色等级Δ E ,如图2-33所示。不同的颜色代表降解产物形成的多少,颜色越深,Δ E 值越大,产生漆膜的倾向也越大。

图2-33 漆膜倾向指数测定

2.2 润滑脂理化指标检测

润滑脂是由基础油、稠化剂和添加剂组成的,常温下呈半流体(或半固体)状的膏状物质。不同的基础油、稠化剂和添加剂组成的润滑脂,其性能也有明显的差异。因此,了解润滑脂各性能的理化指标,如外观、锥入度、强度极限、相似黏度、低温转矩、滴点、蒸发损失、氧化安定性、胶体安定性、抗磨极压性、铜片腐蚀、抗水淋性、水分、皂分、机械杂质、游离有机酸、游离碱及橡胶相容性等,对润滑脂的生产、应用、研究均具有重要的意义。

2.2.1 外观

1.基本概念及检测意义

润滑脂的外观是通过目测和感观检验来控制其质量的一个检验项目。外观检验的内容主要包括颜色、光泽、透明度、纤维结构、稠度、杂质、析油情况和均匀性等。

一般通过观察外观,可以大概了解润滑脂的一些基本信息,主要体现在以下几个方面。

(1)初步区别润滑脂的类型

石墨润滑脂一般是黑色或灰黑色、有金属光泽的均匀油膏,黏附性强;钠基润滑脂一般呈淡黄色到暗褐色的均匀软膏,具有长纤维状,黏附性较差;通用锂基脂呈浅黄色到褐色的均匀光滑油膏,并有细小的纤维;普通钙基润滑脂呈淡黄色到暗褐色,纤维很短,呈半透明的均匀油膏;而用中黏度油制的铝基脂,为呈淡黄色到暗褐色的光滑透明的凝胶状油膏;复合钙基脂色泽深黄,纤维较长;钙钠基脂则为大多呈黄色到深棕色的均匀软膏,具有团粒状结构。

(2)初步判断润滑脂稠化剂种类

通常,由天然脂肪酸制得的润滑脂颜色较浅;由合成脂肪酸制得的润滑脂的颜色较深且暗,并稍有特殊臭味;烃基脂类产品的外观一般为淡黄色至黄褐色半透明或不透明的油膏,不具有光泽,有很强的黏稠性、拉丝性和黏附性;由无机稠化剂制成的润滑脂带有纤维结构。

(3)初步判断润滑脂的锥入度牌号

润滑脂越硬,锥入度越小,润滑脂的稠度级号越高。一般可通过外观和手的捻压感觉来初步判断,具体的级号要根据工作锥入度的大小来决定。

(4)初步判断润滑脂质量的优劣

有的润滑脂表面氧化变色;有的严重析油、析皂;有的呈现明显龟裂或凝胶状,由此可推断出产品在原料组成上存在一定的问题。若样品皂基严重分离时,可能呈液体状态,不宜继续使用。

(5)初步判断润滑脂的污染情况

有的润滑脂表面乳化发白;触摸润滑脂有明显颗粒等,可能是因水分污染、外来杂质污染、内部磨损而产生的磨损颗粒等。

矿物油(或合成润滑油)通常经过深度精制,杂质少,颜色较浅,颜色一般不会有太大的差别,故润滑脂的初始颜色主要由稠化剂、添加剂颜色决定,以琥珀色、棕色为主色,但一些润滑脂会加入一些固体添加剂,如二硫化钼、石墨、金属粉末及炭黑等,导致润滑脂外观呈黑色或灰色;还有一些润滑脂中加入特定的染色剂如红色、深绿、蓝色及紫色等,改变原来的颜色。这样做的目的主要是为了视觉上区别于其他油脂,一是便于在使用时发现润滑脂泄漏,二是可以区分不同的产品线。染色剂不会起到润滑保护的作用,因此润滑脂的性能和颜色并没有直接关系,颜色浅的润滑脂不一定性能好,颜色深的不一定性能差。

2.检测方法及分析仪器

润滑脂的外观检验方法是在玻璃板上用刮刀涂抹1~2mm脂层,仔细地对光进行观察。外观的主要检查内容包括以下几项。

1)观察颜色和结构是否正常、是否均匀一致,有无明显析油倾向。

2)观察有无皂块、粗大颗粒、硬粒杂质及外来杂质。

3)观察纤维状况、黏附性和软硬程度。

4)观察有无乳化、结焦、析皂现象。

2.2.2 锥入度

1.基本概念及检测意义

锥入度是衡量润滑脂稠度及软硬程度的指标,它是指在规定的负荷、时间和温度条件下,全尺寸标准圆锥体自由下落而穿入装有标准脂杯内试样的深度,其单位以0.1mm表示。锥入度值越大,表示润滑脂越软,反之就越硬。根据GB/T 7631.1—2008《润滑剂、工业用油和有关产品(L类)的分类 第1部分 总分组》将润滑脂稠度等级分为9个,分别是000号、00号、0号、1号、2号、3号、4号、5号和6号,对应的润滑脂状态由流体到极硬状态。

锥入度是润滑脂的重要理化性能指标,设备所用润滑脂的软硬程度是否合理,直接影响设备的润滑效果。因此,企业在选择润滑脂时,锥入度是重要指标,其重要性主要体现在以下几个方面。

1)锥入度反映了润滑脂的稠度大小。

润滑脂的锥入度值越大,稠度越小,润滑脂也越易变形和流动;润滑脂的锥入度值越小,稠度越大,润滑脂就越硬,也越不易变形和流动。反映润滑脂在低剪切速率条件变形与流动性能。

2)锥入度能简单反映出润滑脂的剪切安定性。

润滑脂经过一定强度的剪切后,若工作锥入度和不工作锥入度相差较大,则表明润滑脂的剪切安定性较差。润滑脂经长时间的剪切后,若延长工作锥入度与工作锥入度或不工作锥入度相差越小,则表明润滑脂的剪切安定性越好。

3)以锥入度变化表示润滑脂的其他性能。如以加水后工作10万次和无水工作60次锥入度的差值表示润滑脂抗水性;以加热后样品锥入度变化表示热硬化倾向;通过润滑脂在一定条件下储存一定时间后锥入度变化值来评价储存安定性等。

2.检测方法及分析仪器

锥入度是润滑脂质量评定的一项重要指标,测定标准有GB/T 269—2023《润滑脂和石油脂锥入度测定法》。该方法可以测定润滑脂的工作锥入度、不工作锥入度、延长工作锥入度和块锥入度等4种锥入度。

1)工作锥入度是指润滑脂样品在工作器中以60次/min的速度工作1min后,在25℃下测得的锥入度。

2)延长工作锥入度指的是润滑脂样品在工作器中超过60次往复工作后测得的锥入度。延长工作锥入度是反映润滑脂结构稳定性的重要指标,在一定程度上反映润滑脂的使用寿命。

3)不工作锥入度是将润滑脂样品在尽可能不搅动的情况下,移到润滑脂工作器中,在25℃下测得的锥入度,可用于指导润滑脂生产和使用。

4)块锥入度是指润滑脂样品在没有容器的情况下,具有保持其形状的足够硬度时测定的锥入度。

锥入度测试仪主要由锥入度计、锥体、恒温浴、润滑脂工作器、润滑脂切割器、温度计、刮刀和秒表等组成,如图2-34所示。

图2-34 润滑脂锥入度测定仪及全尺寸锥体

除上述按标准方法规定的全尺寸圆锥体测定锥入度外,还有用1/4比例或1/2比例的圆锥体测定的锥入度,但只适用于样品量少且不能用全尺寸测定的情况。

2.2.3 滴点

1.基本概念及检测意义

滴点是表示润滑脂在规定的加热条件下,从脂杯中滴落第一滴并到达试管底部时的温度。

滴点在不同情况下可以分别表示润滑脂的几种性质。

1)表示分油。在测定热安定性不良的润滑脂滴点时,往往会因皂油分离而滴油。此时并不代表其熔点,仅能代表其明显的分油温度或分解温度。

2)表示软化。某些润滑脂并没有发生明显的相转变,也没有完全熔化,而仅仅是变软,若软到一定程度(相当于锥入度≥400×0.1mm),则成油柱而自然垂下,拉长条而不成滴。此时滴点仅代表其软化温度。

滴点是选择高温润滑脂的重要理化性能指标,因此润滑脂若在高温条件下使用,则应重点监测滴点,主要体现在以下几个方面。

1)评估润滑脂最高使用温度。滴点并不是润滑脂使用的最高温度,如果润滑脂使用部位的工作温度高于润滑脂的滴点,就会造成润滑脂变稀,逐渐流出摩擦面或机械部件,使润滑失效。一般要求最高使用温度要比滴点至少低20~30℃。

2)润滑脂的滴点主要取决于稠化剂的类型。普通皂基的润滑脂滴点一般比较低,与皂基的种类相关;复合皂基润滑脂的滴点一般较高,可达到200℃、260℃以上,比普通的皂基润滑脂滴点高;有机润滑脂的滴点可达260℃、300℃以上。用同一种稠化剂制成的润滑脂,稠化剂含量越高,润滑脂的滴点也越高。

2.检测方法及分析仪器

目前,滴点测试的方法主要有两种,分别是润滑脂滴点测定法和润滑脂宽温度范围滴点测定法。

(1)润滑脂滴点测定法

目前,我国主要采用GB/T 4929—1985《润滑脂滴点测定法》进行测试。主要测试过程是将润滑脂按规定装入脂杯中,再将脂杯和温度计放入试管中,并将试管挂在油浴里,搅拌油浴,按照标准要求控制升温速率,随着温度的升高,润滑脂逐渐从脂杯孔漏出,当润滑脂从脂杯孔滴出第一滴流体时,立即记录试管里温度计和油浴温度计的温度。试管里温度计和油浴温度计的温度平均值即为润滑脂的滴点,该方法可检测的最高滴点为300℃。滴点测定仪主要由油浴、温度计、脂杯和试管等组成,如图2-35、图2-36所示。

图2-35 润滑脂滴点测定仪

(2)润滑脂宽温度范围滴点测定法

目前,我国主要采用GB/T 3498—2008《润滑脂宽温度范围滴点测定法》进行测试。主要测试过程是将润滑脂填入脂杯,放入试管中,再将试管放在预先设置恒温的铝块炉中。试管中放置温度计,温度计不与润滑脂试样接触,在同试样无接触的条件下测量试管内温度。当试管内温度升高到第一滴润滑脂试样从脂杯中滴落到试管底部时,记录温度计显示的温度,作为观测滴点,精确至1℃,同时记录铝块炉的温度,精确至1℃。取铝块炉的温度与试管中温度计温度差的1/3作为修正系数,与观测滴点相加,即为润滑脂试样的滴点。该方法采用铝块炉进行加热,测定时间短,可检测高达330℃的滴点。润滑脂宽温度范围滴点测定仪主要由铝块炉、温度计、脂杯和试管等组成,如图2-37所示。

图2-36 滴点测定示意

图2-37 润滑脂宽温度范围滴点测定仪

2.2.4 强度极限

1.基本概念及检测意义

润滑脂呈半固态时具有一定的弹性和塑性,当所受到的外力较小时,像固体一样表现出变形,但不会流动,所产生的变形和所受外力呈直线关系;当所受外力逐渐增大到某一临界数值时,润滑脂开始产生不可逆的变形,润滑脂开始流动。将润滑脂开始产生流动所需的最小剪应力,称为润滑脂的剪切强度极限,简称强度极限。强度极限用字母 τ 表示,单位为Pa。

润滑脂的强度极限很大程度上取决于稠化剂的种类及含量。皂含量增加,则强度极限也增加。因此,企业在选择润滑脂时,强度极限是重要指标,其重要性主要体现在以下几个方面。

1)润滑脂使用工况不同,对其极限强度要求也不同。

在垂直面上使用润滑脂,极限强度不应过小,避免润滑脂流出,或所受剪应力大于其强度极限时出现滑落现象;在不密封的摩擦部位,应避免强度极限过小,润滑脂滚出,造成异常磨损;在高速旋转的机械中,若强度极限过小,则润滑脂会被离心力甩出。

2)润滑脂使用温度不同,对其极限强度要求也不同。

润滑脂的强度极限与温度有关,温度越高,强度极限越小;温度下降,润滑脂的强度极限增大。因此,根据高温时的强度极限,可大致说明润滑脂的适用温度上限。如果在高温下能保持适当的强度极限,则不易滑落,适合高温下使用;如果高温下润滑脂的强度极限变得过小,那么润滑脂就容易滑落,不适合高温下使用。与此相反,在低温使用时,要求润滑脂在低温下强度极限不应过大,否则会使机械设备难于起动,造成润滑系统中润滑脂难于泵送至润滑部位,从而导致润滑失效,机械设备受损。

2.检测方法及分析仪器

润滑脂强度极限按SH/T 0323—1992《润滑脂强度极限测定法》进行测定。其方法原理是在规定的温度下,使填充在毛细管中的样品受到缓慢递增的剪切力作用,测定润滑脂在管内开始发生位移时的压力,换算成强度极限,用Pa表示。

测试时是将试样装满工作器,并将活塞中的小孔填满试样,再将准备好的工作器在20℃下恒温30min,然后牵引孔塞往复100次,再将试样竖直抹入正剖管的螺纹管中,将两个螺纹管合起来,并装入套管,再放入塑性计壳体内的台架上。打开供油漏斗阀门,使润滑油充满塑性计后关闭供油漏斗阀门。若系统压力升高时,打开供油漏斗阀门,驱出过剩的润滑油。将塑性计壳体按规定温度恒温20min,恒温阶段,供油漏斗的阀门应一直打开。

恒温结束后,关闭供油漏斗阀门,开启加热储油器的电炉电门,同时注意压力表。在应用长螺纹管时,体系增压速度不应超过0.005MPa/min;在应用短螺纹管时,则增压速度不应超过0.0025MPa/min。当系统的压力达到某一个最大值后,压力开始下降,记录最大压力值。按式(2-5)计算试样的强度极限 r (Pa),即

式中 P ——最大压力(MPa);

R —— 螺纹管的半径(cm);

L —— 螺纹管的长度(cm)。

强度极限测定仪主要由玻璃罩、压力表、供油漏斗、储油器和电炉等组成,如图2-38所示。

图2-38 强度极限测定仪结构示意

1—壳体 2—螺母 3—玻璃罩 4—压力表 5—供油漏斗 6—阀门 7—储油器 8—电炉 9—连接管

2.2.5 相似黏度

1.基本概念及检测意义

液体在流动时相互阻止的能力,称为黏度或者内摩擦力。润滑脂的黏度在一定温度条件下是随着剪切速率而变化的变量,这种黏度称为相似黏度,或表观黏度,单位为Pa·s。

润滑脂流动时的黏度和普通润滑油的黏度不完全一样,普通润滑油是符合牛顿流体定律运动的,其黏度在温度一定时是一个常数,不随着剪切速率的变化而变化。但润滑脂是非牛顿流体,其相似黏度随着剪切速率的增高而降低,但当剪切速率继续增加,润滑脂的相似黏度接近其基础油的黏度后便不再变化。润滑脂相似黏度与剪切速率的变化规律称为黏度-速度特性。黏度随剪切速率变化越显著,其能量损失越大。另外,因为润滑脂的相似黏度也随温度上升而下降,但仅为基础油的几百分之一甚至几千分之一,所以润滑脂的黏温特性比润滑油好。因此,在说明润滑脂的相似黏度时,必须说明测定时的剪切速率和温度,才有实际指导意义。

相似黏度是选择低温润滑脂的重要理化性能指标,因此若润滑脂在低温条件下使用,则应重点监测相似黏度,主要体现在以下几个方面。

1)润滑脂的黏温特性具有重要的实用性。特别是在较低温度下,如果相似黏度很大,则流动性差,不易进入摩擦部位的工作表面,而且会增加机械的动力消耗;当环境和工作部位的温度变高时,如果相似黏度下降过大,润滑脂就大大变软甚至流失。

2)反映润滑脂的低温流动性能,一般可以根据低温条件下润滑脂相似黏度的允许值来确定润滑脂的低温使用极限,预测润滑脂是否容易通过导管被移动或泵送到使用部位。

一般来说,润滑脂的流动性经常是以高温下的强度极限来预测其是否易于流失,而以低温下的相似黏度来预测其是否能够正常流动。

2.检测方法及分析仪器

润滑脂相似黏度测定法有SH/T 0048—1991《润滑脂相似黏度测定法》。该方法是采用一种变动流量式压力毛细管黏度计,利用弹簧作用于顶杆,试样管内试样经受压力后从毛细管流出,随着弹簧的松弛,管内的压力逐步下降,通过这种变动流量式压力毛细管黏度计进行一次试验,即可得到一系列平均剪切速率下的相似黏度值。

由于这种黏度计的流量是变动的,在毛细管一定的情况下则取决于顶杆的下降速度,但这个下降速度不易直接测得,因此利用一定线速度旋转的记录筒,记下工作曲线,曲线上的任意一点代表某一瞬间的黏度特性,由该点的切线与水平线夹角的正切乘以记录筒的线速度即为顶杆的下降速度。根据这个原理,可计算出润滑脂在毛细管中各个瞬间的平均剪切速率,其平均剪切速率范围可根据毛细管的半径进行选择。

相似黏度测定仪主要由自动毛细管黏度计、样品管、供压系统和记录系统等组成,如图2-39所示。毛细管有三种不同的半径,分别是0.1020cm、0.0540cm和0.0214cm,样品管容积约21mL,供压系统由两个不同弹性系数的弹簧组和压缩弹簧用的螺杆等组成,记录系统包括可转动的记录筒、记录纸和记录笔等。测定时,在预先被压缩的弹簧作用下,顶杆就使润滑脂样品经过毛细管流出,在记录筒上记下弹簧的压缩度和顶杆下降速度的工作曲线,最后计算出相似黏度。

图2-39 润滑脂相似黏度测定仪

2.2.6 低温转矩

1.基本概念及检测意义

润滑脂的低温转矩是指在低温时,润滑脂阻滞低速滚珠轴承转动的程度,用来评价润滑脂的低温性能。

低温转矩是在一定低温下,试验润滑脂润滑D204型单列向心球轴承,以轴承内环1r/min的速度转动时,其作用在轴承外环上润滑脂的阻力。由于这个阻力与转矩成正比,因此低温转矩用起动转矩和运转转矩来表示,即起动转矩为开始转动时测得的最大转矩,运转转矩为在规定的转动时间(60min)后测得的平均转矩值。

目前,我国的低温和宽温用润滑脂规格中,一般是要求低温黏度不应过大。在美国军用润滑脂规格中,低温和宽温用的航空润滑脂,大多数要求在其使用温度下的起动转矩≤0.15mN·m,运转转矩≤0.05mN·m。

润滑脂低温转矩是衡量润滑脂低温性能的一项重要指标,因此润滑脂在低温条件下使用时,也会考虑低温转矩,主要体现在以下几个方面。

1)润滑脂低温转矩特性好,则表明润滑脂在规定的轴承中,在低温试验条件下的转矩小。润滑脂低温转矩的大小,关系到用润滑脂润滑的轴承低温起动的难易和功率损失,如果低温转矩过大,将造成起动困难且功率损失增多。

2)微型电动机和精密控制仪表要求轴承的转矩小且稳定,以确保在低温环境下,容易起动和灵敏可靠地工作。

3)使用润滑脂润滑的轴承开始运转时,首先要克服润滑脂的强度极限,而润滑脂的强度极限、相似黏度和稠度在低温环境下会增大,将导致润滑脂在低温下阻滞轴承转动的程度增大。

2.检测方法及分析仪器

润滑脂低温转矩常用的测试方法有SH/T 0338—1992《滚珠轴承润滑脂低温转矩测定法》。

主要测试过程:将一个合格的清洗干净的D204型单列向心球轴承,用装脂杯反复填满试样,在规定的温度下恒温静止2h后,以轴承内环(1±0.05)r/min速度转动,测定其作用在轴承外环上的润滑脂阻力,这个阻力与转矩成正比,结果用测定的起动转矩和运转转矩来表示。

1)起动转矩:开起驱动电动机,观察测力计指针,记下达到的最大读数,这个读数出现在开始运转后的几秒钟内,将刻度读数值 P (lb)乘以 K 值作为起动转矩值 M (mN·m)。

2)运转转矩:继续转动试验轴60min,保持试验温度温差在±0.5℃以内,在60min后的15s内观察测力计的平均读数,将这个读数值 P (lb)乘以 K 值作为运转转矩值 M (mN· m)。

式中 K ——常数,289( K 值由测力计刻度读数值(lb)换算到mN再乘以轴承座转矩半径0.065m);

P —— 测力计读数(lb)。

滚珠轴承润滑脂低温转矩试验装置主要由低温箱、传动装置、低温试验装置、转矩测定装置及脂杯、心轴、专用装脂器和D204角接触球轴承等组成,如图2-40所示。

图2-40 滚珠轴承润滑脂低温转矩试验装置示意

1—测力计 2—测力绳 3—温度控制热电偶 4—低温箱 5—齿轮减速器 6—电动机 7—鼠笼式负荷轴承座 8—干冰出口处挡盘 9—干冰调节活门

2.2.7 蒸发损失

1.基本概念及检测意义

蒸发损失是指润滑脂在规定条件下蒸发后,其损失量所占的质量百分数。润滑脂的蒸发损失可用蒸发量和蒸发度来表示。

润滑脂的蒸发损失主要取决于所采用的基础油种类、馏分组成和分子量,不同种类和由不同黏度的基础油制成的润滑脂,其蒸发特性也不同。润滑脂的蒸发性是影响润滑脂使用寿命的一个重要因素,尤其是对于在高温、宽温度范围或高真空条件下使用的润滑脂显得特别重要。

蒸发损失是选择高温润滑脂的重要理化性能指标,在高温条件下使用润滑脂,其重要性主要体现在以下几个方面。

1)若在高温或真空条件下,基础油蒸发损失过大,则会使润滑脂的稠度增大、使用寿命缩短,因此在高温下和真空下使用的润滑脂要求有低的蒸发量。

2)在一些精密仪器或封闭的轴承(如用于光学仪器仪表或人造卫星的轴承)中,由于不能更换润滑脂,为保证仪器的长期正常使用,所以同样要求润滑脂蒸发性小。

2.检测方法及分析仪器

目前,我国主要采用GB/T 7325—1987《润滑脂和润滑油蒸发损失测定法》、SH/T 0661—1998《润滑脂宽温度范围蒸发损失测定法》和SH/T 0337—1992《润滑脂蒸发度测定法》测试润滑脂的蒸发损失。

(1)GB/T 7325—1987

GB/T 7325—1987适用于测定在99~150℃内的任一温度下润滑脂或润滑油的蒸发损失,主要测试过程是将润滑剂试样放在蒸发器里,置于规定温度的恒温浴中,将热空气持续通过试样表面22h,然后根据试样的失重计算出蒸发损失。蒸发损失测定仪主要由蒸发器、空气供给系统、油浴、温度计和流量计等组成,如图2-41所示。

(2)SH/T 0661—1998

SH/T 0661—1998的方法原理与GB/T 7325—1987一致,但测试范围不同,SH/T 0661—1998中的方法测试的是93~316℃内润滑脂的蒸发损失,是将GB/T 7325—1987中方法的温度范围予以扩大。

(3)SH/T 0337—1992

SH/T 0337—1992适用于自然气流下测定润滑脂的蒸发损失。主要测试过程是将盛满厚1mm润滑脂的蒸发皿置于专门的恒温器内,在规定温度下保持1h(或润滑脂产品标准规定的时间),测定其损失的质量,以蒸发量的质量百分数表示。蒸发度测定仪主要由恒温器、钢饼、蒸发皿、温度计和温度调节器等组成,如图2-42所示。

图2-41 润滑脂和润滑油蒸发损失测定仪

图2-42 润滑脂蒸发度测定仪

2.2.8 氧化安定性

1.基本概念及检测意义

润滑脂的氧化安定性表示润滑脂在储存和使用过程中抗氧化的能力。润滑脂的氧化主要决定于其组分的性质,与基础油、添加剂及稠化剂有关。润滑脂中的稠化剂和基础油,在储存或长期处于高温的情况下很容易被氧化。

润滑脂的氧化安定性是影响润滑脂使用寿命的重要因素之一,氧化安定性差时,会影响润滑脂的使用和存储,其重要性主要体现在以下几个方面。

1)润滑脂氧化后理化性质会发生改变。例如,游离碱减少或酸值增加、强度极限下降、滴点降低、锥入度改变,以及外观颜色变深等。另外,润滑脂严重氧化后表面可能产生裂纹或硬块,出现分油现象。

2)相转变温度、介电性能及结构的改变。例如,电子显微镜观察显示,润滑脂氧化后出现皂纤维结构骨架的破坏,影响润滑脂的正常使用。

3)润滑脂氧化安定对于润滑脂的储存和使用都有影响,尤其是对于高温、长期使用的润滑脂,更具有重要的意义。润滑脂在高温氧化后,其抗磨性变差,由于酸性物质增加,因此会降低润滑脂的防护性能,甚至出现腐蚀现象。润滑脂氧化后,性质发生改变,影响存储和使用,因而氧化安定性是关系润滑脂最高使用温度和使用寿命长短的一个重要因素。

2.检测方法及分析仪器

目前,我国主要采用SH/T 0325—1992《润滑脂氧化安定性测定法》和SH/T 0335—1992《润滑脂化学安定性测定法》测试润滑脂氧化安定性。

(1)SH/T 0325—1992

SH/T 0325—1992的主要测试过程是在5只洁净干燥的玻璃皿中各装入4g润滑脂,并均匀分布在器皿中,再将5只装有润滑脂的器皿放在一个加热到99℃、充有758kPa氧气的不锈钢氧弹中氧化。此过程要确保氧弹不发生漏气现象,并按规定的时间间隔观察、记录压力。样品经过规定的时间氧化后(如100h、200h等),通过测定压力降来确定润滑脂的氧化程度。此方法是测定润滑脂在储存于氧气密闭系统中的抗氧化性,用氧化诱导期的长短、试验周期内氧弹中压力降多少来表示润滑脂的氧化安定性。不表示在动态工作条件下润滑脂的安定性和长期储存在容器里润滑脂的安定性,也不表示在轴承和电动机部件上薄层润滑脂的安定性。氧化安定性测定仪主要由氧弹、试样皿、皿架、压力表和油浴等组成,如图2-43所示。

图2-43 润滑脂氧化安定性测定仪

(2)SH/T 0335—1992

SH/T 0335—1992是在5只洁净干燥的玻璃皿中分别装入约4g润滑脂样品,放入氧弹中并按照规定充入氧气,此过程要确保氧弹不发生漏气现象。将氧弹放入恒温水浴后,记录时间及氧弹内的初压力,在试验过程中,每2h记录一次压力。经过一段时间,由于氧弹内试样变热,氧弹内压力开始升高,当达到一定限度后,氧弹内压力保持不变。再经过一段时间后,氧弹内的压力开始下降,这段时间就是试样的诱导期。在氧化结束后,测定试样氧化后的酸值或游离碱,并与氧化前进行比较,以变化值和压力降表示该试样的化学安定性,变化值、压力降越小,表示润滑脂的氧化安定性越好。

2.2.9 胶体安定性

1.基本概念及检测意义

润滑脂的胶体安定性是指润滑脂在储存和使用时抑制润滑油析出的能力。润滑脂在短时间内出现分油,表明胶体安定性差,若经较长时间储存仍没有出现分油现象,则表明润滑脂的胶体安定性好。

润滑脂的胶体安定性取决于其组成,主要是基础油和稠化剂。基础油和稠化剂的种类、黏度及含量都会影响润滑脂的胶体安定性。一般来说,基础油的黏度越小,润滑脂越容易分油。对于相同条件下制造的同一种润滑脂,含皂量越少,则越容易分油且分油量越大。

润滑脂是一个由稠化剂和基础油形成的胶体结构分散体系,基础油在有些情况下会自动从体系中分出。例如,当形成结构骨架的分散相动力聚沉时,结构骨架空隙中的基础油就会有一部分被挤出;在结构被压缩时,也会有一部分基础油被压出;当分散相聚结程度增大时,膨化到皂纤维内部的基础油也会有一部分被挤出,从而使润滑脂出现分油。图2-44所示为桶装润滑脂分油现象。

图2-44 桶装润滑脂分油现象

当润滑脂胶体安定性差时,将直接导致润滑脂稠度改变,进而影响润滑脂的性能。因此,在储存和使用润滑脂之前,检测润滑脂的胶体安定性具有重要意义,主要体现在以下几个方面。

1)胶体安定性反映的是润滑脂在长期储存中析油的倾向。如果润滑脂胶体安定性差,就可能在储存期间发生大量的析油现象,从而引起稠化剂和基础油比例改变,润滑脂的稠度、相似黏度、强度极限等指标也会发生相应变化。这种情况下,润滑脂就不能长期保存,要尽快使用。

2)测定胶体安定性有助于了解润滑脂的保质期限,是保证润滑脂质量和延长润滑脂储运期的重要参考指标。

3)胶体安定性也反映了润滑脂实际应用时的析油倾向。润滑脂在实际应用时,会受到压力、离心力和温度的影响。胶体安定性好的润滑脂,即便是在高温、高载荷下使用,也不会产生严重析油。反之,胶体安定性差的润滑脂,则可能在受到压力和热作用的情况下迅速析油,使润滑脂变稠变干,失去润滑作用。

2.检测方法及分析仪器

润滑脂的胶体安定性主要有两种测试方法,一种是利用升高温度来加速分油的方法,如NB/SH/T 0324—2010《润滑脂分油的测定 锥网法》;另一种是利用加压来加速分油的方法,如GB/T 392—1977《润滑脂压力分油测定法》。

(1)NB/SH/T 0324—2010

NB/SH/T 0324—2010是评价润滑脂在受热情况下,通常是100℃、30h条件下的分油倾向。其检测过程是将已称量的试样放入到一个锥形的镍丝、镍铜合金丝或不锈钢丝网中,悬挂在烧杯内,试样在100℃条件下恒温(30±0.25)h后,测定润滑脂从锥圆网中分出的油量,结果用质量百分数表示。但此标准不适用于锥入度>340(0.1mm)的润滑脂产品。钢网分油器主要由锥网、烧杯、挂钩、天平和恒温箱等组成,如图2-45所示。

(2)GB/T 392—1977

GB/T 392—1977是评价润滑脂在常温、受压情况下的分油倾向,也是模拟润滑脂在大桶中储存时的析油倾向。其检测过程是将润滑脂装入压力分油器的皿中,在15~25℃下对其加压30min,利用加压分油器将油从润滑脂内压出,测定压出的油量,以质量百分数表示。压力分油器主要由加压分油器架子、玻璃板、连杆和金属球等组成,如图2-46所示。

图2-45 钢网分油器

图2-46 压力分油器

2.2.10 抗磨极压性

1.基本概念及检测意义

润滑脂的抗磨极压性是指在重负荷、冲击负荷下,润滑脂降低金属摩擦磨损的性能。

四球机评定润滑脂性能的指标很多,国内外最常用的评定指标有最大无卡咬负荷、烧结负荷及综合磨损值ZMZ(负荷磨损指数LWI)等。

1)最大无卡咬负荷 P B ,即表示在试验条件下不发生卡咬的最大负荷,在该负荷下所测得的磨痕平均直径不超过相应负荷补偿线上数值的5%。表示在此负荷下摩擦表面间尚能保持完整的油膜,如超过此负荷则油膜破裂,摩擦表面的磨损将急剧增大。

2)烧结负荷 P D ,即表示在试验条件下,转动球与三个静止球发生烧结的最小负荷,它表示润滑脂的极压能力,超过此负荷后,润滑剂完全失去润滑脂作用。

3)综合磨损值ZMZ,即表示润滑脂在所加负荷下抗极压能力的一个指数。综合磨损值ZMZ与国外所用相似指标负荷磨损指数LWI的意义是相同的,表示单位润滑脂从低负荷到烧结负荷整个过程中的平均抗磨性能。

润滑脂的抗磨极压性是评价润滑脂在重负荷、冲击负荷下润滑脂降低金属摩擦磨损的性能。由于润滑脂含有稠化剂,而稠化剂具有润滑作用,所以有些基础润滑脂,如复合磺酸钙、复合钙、聚脲等就具有良好的抗磨极压性,但如果要求更高的抗磨极压性,则必须添加极压抗磨剂,以此来提高抗磨极压性。

2.检测方法及分析仪器

润滑脂抗磨极压性的评价方法有:SH/T 0202—1992《润滑脂极压性能测定法(四球机法)》、SH/T 0204—1992《润滑脂抗磨性能测定法(四球机法)》、SH/T 0203—2014《润滑脂极压性能测定法(梯姆肯试验机法)》、SH/T 0427—1992《润滑脂齿轮磨损测定法》、SH/T 0716—2002《润滑脂抗微动磨损性能测定法》和NB/SH/T 0721—2016《润滑脂摩擦磨损性能的测定(高频线性振动试验机(SRV)法)》等。

(1)SH/T 0202—1992

SH/T 0202—1992方法的测试过程是在规定的负荷下,用上面一个钢球对着下面静止的三个钢球旋转,转速为(1770±60)r/min,试样温度为(27±8)℃,然后逐级增大负荷进行一系列10s试验,每次试验后测量球盒内任何一个或三个钢球的磨痕直径。测试最大无卡咬负荷时,应要求其磨痕直径不大于相应负荷补偿线上的磨痕直径的5%,否则就要在较低一级的负荷下进行试验,再次比较磨痕直径,继续此过程,直到磨痕直径满足要求为止,此时所施加的负载就是最大无卡咬负荷。测试烧结负荷时,逐级加载,记录所测得的磨痕直径,并更换试验钢球和润滑脂,直到发生烧结为止,并予以核实,此时施加的负载就是润滑脂的烧结负荷。试验装置主要由四球极压试验机、显微镜和计时器等组成,四球摩擦试验机分为杠杆式四球机和液压式四球机,与润滑油抗磨极压性试验装置相同。

(2)SH/T 0204—1992

润滑脂抗磨性能是指润滑脂在高负荷运转设备中保持润滑部件不被磨损的能力。此方法适用于润滑脂在钢对钢摩擦副上的抗磨性能,不能用来区分极压润滑脂和非极压润滑脂。

SH/T 0204—1992方法的测试过程是在加载的情况下,上面的1个钢球对着表面涂有润滑脂的下面3个静止钢球旋转。在试验结束后,测量下面3个钢球的磨痕直径,以磨痕直径平均值的大小来判断润滑脂的抗磨性能。

(3)SH/T 0203—2014

此方法适合于用梯姆肯试验机测定润滑脂的承载能力,用试验结果OK值(即试件不发生擦伤或卡咬的最大负荷)来表征润滑脂的极压性能。

SH/T 0203—2014方法是采用梯姆肯试验机测定润滑脂极压性能,试验润滑脂在(24±6)℃被压到试验环上,由试验机主轴带动试验环在静止的试块上转动,主轴转速为(800±5)r/min,试验时间为10min±15s。试环和试块之间承受压力,通过观察试块表面磨痕,可以得出不出现擦伤时的最大负荷OK值。梯姆肯试验机主要由试验机、试验机主轴、杠杆系统、加载装置、进料装置和显微镜等组成,如图2-47所示。

图2-47 梯姆肯试验机

1—试块 2—试环 3—试块架 4—负荷杠杆 5—摩擦杠杆 6—游码 7—定位销 8—水平器

(4)SH/T 0427—1992

SH/T 0427—1992方法是用于测定润滑脂的齿轮磨损值,用来表明润滑脂的相对润滑性能。该方法是将涂有试验润滑脂的已知磨损性的试验齿轮在规定的负荷下进行往复运转,达到规定周数后以铜齿轮平均质量损失作为磨损值。

(5)SH/T 0716—2002

SH/T 0716—2002方法测定轴承摆动时润滑脂抗微动磨损的特性。试验时,两套装有试验脂的推力球轴承在弧度为0.21rad(12°)、摆动频率为30Hz(1800CPM),负荷为2450N(550lbf)以及室温条件下做摆动运动,试验时间为22h。以两套轴承座圈的质量损失之和的平均值作为试验润滑脂抗微动磨损性能的评定标准。该方法可用于预测长途运输中的汽车车轮轴承润滑脂的抗微动磨损性能。

(6)NB/SH/T 0721—2016

NB/SH/T 0721—2016方法适用于测定给定温度和负载条件下润滑脂的磨损性能和摩擦系数。其方法是在高频现行振动试验机(SRV)上用一个试验球,在恒定负荷下对着试验盘进行往复振动,然后测定试验球的磨痕和摩擦系数。该方法适用于检验使用在汽车前轮驱动的恒速球节润滑脂和用于滚柱轴承的润滑脂。

2.2.11 铜片腐蚀

1.基本概念及检测意义

腐蚀是指金属与其存在的环境之间发生的化学或电化学反应,使金属的性能降低。润滑脂的防护性是指对金属的保护作用,防止金属表面受到腐蚀和生锈的能力,防护效果的好坏与润滑脂的黏附性、氧化安定性、抗水性,以及是否含有游离酸或碱,是否添加防锈剂、防腐剂、金属钝化剂等因素有关。铜片腐蚀是测定润滑脂对铜的腐蚀性,以评估润滑脂对金属铜的防护效果。

作为润滑脂,在实际使用时不允许出现对钢、铜部件产生腐蚀作用,特别是对于防护型润滑脂,腐蚀试验是重要监测的项目,主要体现在以下几个方面。

1)腐蚀试验是润滑脂的重要质量指标之一。任何润滑脂均不允许对金属产生腐蚀。

2)通过铜片腐蚀试验定性检查润滑脂对金属是否产生腐蚀。金属产生腐蚀,主要是因润滑脂中有过多的游离酸或碱、活性硫化物而引起的。

3)在潮湿环境下使用润滑脂,具有良好的防腐蚀性能,能有效阻止外界的空气、水分与金属直接接触,或者延缓空气和水渗透到金属表面,起到保护设备的作用。

2.检测方法及分析仪器

润滑脂腐蚀试验常见的方法有两种,分别是采用铜片和轴承来测定润滑脂的防腐性能。

(1)GB 7326—1987《润滑脂铜片腐蚀试验法》

GB 7326—1987是常用的润滑脂防腐性能测试法。测试过程中,将一块已磨光好的铜片全部浸入到润滑脂试样中,在烘箱或液体浴中加热一定时间(一般是100℃×24h)。在试验结束后,取出铜片,经过洗涤后,检查铜片有无变色,或者将试验铜片与铜片腐蚀标准色板进行比较,确定腐蚀级别。标准色板和腐蚀级别参考润滑油腐蚀。

试片材料为纯度>99.9%的电解铜,符合GB/T 5231—2022《加工铜及铜合金牌号和化学成分》中的T2铜片可满足试验要求。试片尺寸:长为75mm,宽为12.5mm、厚为1.5~3.0mm。试片的处理应严格按照标准要求进行,需经过表面准备和最后磨光。将铜片所有的表面均匀地磨光,可以使铜片均匀着色。如果边缘有磨损(表面呈椭圆形),将可能导致边缘比中心出现更严重的腐蚀。

(2)GB/T 5018—2008《润滑脂防腐蚀性试验法》

GB/T 5018—2008规定了在潮湿条件下用涂有润滑脂的圆锥滚子轴承来测定润滑脂的防腐性能。在测试过程中,将新的清洗干净的涂有润滑脂试样的轴承在轻微负载推力下运转(60±3)s,使润滑脂的分布接近实际使用时的分布。将轴承在(52±1)℃和100%的相对湿度条件下存放(48±0.5)h,然后清洗并检查轴承外圈滚道的腐蚀痕迹。一般是将轴承外圈滚道上的红锈或者黑斑确定为腐蚀,若污点下仍可见金属面,一般不认为是腐蚀。结果用合格和不合格来评价,当出现任何尺寸为1.0mm及更大的斑点时,评价为不合格。润滑脂轴承防锈测定仪主要由轴承、电动机、运转台和轴承加脂器等组成,如图2-48所示。

图2-48 润滑脂轴承防锈测定仪

2.2.12 抗水淋性

1.基本概念及检测意义

润滑脂的抗水淋性是指润滑脂在使用过程中与水和水蒸气接触时抗水冲洗和抗乳化的能力。润滑脂稠化剂的抗水性决定其抗水淋性的好坏,烃类稠化剂的抗水淋性最好,有机稠化剂和无机稠化剂均好,皂基润滑脂的抗水淋性取决于金属皂的水溶性。钠皂既能吸水又能被水溶解,因此钠基润滑脂抗水淋性很差,遇水后,轻则颜色变白,重则乳化变稀,甚至变为流体失去润滑作用。钙-钠基润滑脂的抗水淋性较差,钙基、复合钙基、锂基、复合锂基、铝基、复合铝基脂和钡基润滑脂均有良好的抗水淋性。

润滑脂的抗水淋性与其润滑效果和耐用时间有着密切的关系,在潮湿环境下使用润滑脂,抗水淋性是重要理化指标,主要体现在以下几个方面。

1)抗水淋性好的润滑脂在有水或水蒸气存在下仍能起到良好的润滑作用。抗水淋性较差的润滑脂,在潮湿环境使用过程中,会因吸水而逐渐乳化变质,导致结构被破坏而流失,润滑失效,进而导致金属设备产生锈蚀或者腐蚀,最终被损坏。

2)润滑脂的抗水淋性与实际应用有着密切关系,对润滑脂的抗水淋性进行评价,可以预测其是否适用于与水接触的操作部位,指导企业合理选用润滑脂。

2.检测方法及分析仪器

评价润滑脂抗水淋性的方法主要有SH/T 0109—2004《润滑脂抗水淋性能测定法》和SH/T 0643—1997《润滑脂抗水喷雾性测定法》。

(1)SH/T 0109—2004

润滑脂抗水淋性是指在试验条件下,评价润滑脂抵抗从滚动轴承中被水淋洗出来的能力。润滑脂抗水淋性测试指标为“水淋流失量”,其测试过程是将润滑脂试样装入球轴承中,以(600±30)r/min的速度转动,用控制在38℃或79℃的水以(5±0.5)mL/s的速度喷淋在轴承套内,以60min内被水冲掉的润滑脂量来衡量润滑脂的抗水淋能力。此法用来评价轴承内润滑脂抵抗被水淋洗出的能力,水淋损失的质量越少,表示抗水淋性越好。

抗水淋性测定仪主要由水淋仪器、球轴承、轴承套和防护板和加热器等组成,如图2-49所示。

图2-49 润滑脂抗水淋性测定仪

(2)SH/T 0643—1997

润滑脂抗水喷雾性能是指润滑脂在直接接触水喷雾时,润滑脂对金属表面的黏附能力,其测定结果可以预测润滑脂在直接接受水喷雾冲击的工作环境下的使用性能。

该方法是将润滑脂涂在一块不锈钢板上,用规定试验温度和压力下的水进行喷雾。经5min后,测定喷雾前后不锈钢板上润滑脂的质量,计算出失重百分数,作为润滑脂抗水喷雾性的量度。

2.2.13 水分

1.基本概念及检测意义

水分是指润滑脂含水的质量分数,即在产品规格上是用来控制含水的百分率。水分在润滑脂中存在有两种形式,一种是作为润滑脂结构胶溶剂的结合水,另一种是游离水。

结合水是润滑脂的稳定剂,水分损失会引起润滑脂分油现象,是不可缺少的成分;结合水含量多少也会影响润滑脂的稠度,例如钙基润滑脂,其稠度随水含量的增加而减少,在使用过程中如果因温度过高而失水,其胶体结构就会遭到破坏,从而导致油皂分离,失去润滑脂的状态。

游离水是被吸附或夹杂在润滑脂中,对润滑脂是有害的,不仅会破坏润滑脂的结构骨架,还会降低润滑脂的防护能力,游离水过多时甚至引起腐蚀现象,同时还会降低润滑脂的润滑性、机械安定性和化学安定性。

对于不同类型的润滑脂,对水分的要求也不相同。一般烃基润滑脂、铝基润滑脂及锂基润滑脂均不允许含水;钙基润滑脂水分根据不同牌号润滑脂的皂分多少而规定在某一范围,水分过多或过少均将影响润滑脂的质量;钙钠基润滑脂允许含有少量水;钠基润滑脂不允许含有游离水。

2.检测方法及分析仪器

润滑脂水分测定方法按GB/T 512—1965《润滑脂水分测定法》进行。其试验过程是将20~25g润滑脂试样放入预先清洁干燥的圆形烧瓶中,加入直馏汽油150mL,安装好接收器和冷凝管后,缓慢加热,当回流开始后,应保持落入接收器的冷凝液为每秒2~4滴。接近终点时,当接收器中水的容积不再增加及上层溶剂完全透明时,停止蒸馏,蒸馏时间不超过1h,待降至室温后,记录接收器中水的容积。测定水分结果以质量百分数表示。试验装置与润滑油蒸馏法水分测定仪相同(见图2-8)。

2.2.14 皂分

1.基本概念及检测意义

皂分是指润滑脂中含皂基的质量分数。

润滑脂的皂分对产品性能影响较大,因此对未知组成的润滑脂测定皂分,在实际应用中具有一定的意义,主要体现在以下几个方面。

1)测定皂分,初步判断润滑脂的物理性能。当润滑脂的原料和制造工艺条件一定时,随着润滑脂的皂分增多,它的稠度、强度极限增大,分油量减少,滴点也较高。

2)润滑脂的皂分过高,其低温性能可能变差,在使用过程中易硬化结块,缩短使用寿命;但润滑脂的皂分过低,会使润滑脂机械安定性下降。

3)如果润滑脂的皂分稠化能力强、制造工艺条件好,则制造某一稠度的润滑脂所需皂量少,产品收率高,可降低成本。

2.检测方法及分析仪器

润滑脂皂分按SH/T 0319—1992《润滑脂皂分测定法》测定。测定过程中,称量1~2g的润滑脂样品溶于5~10mL的苯中,加热至样品全部溶解(不许苯沸腾)后,冷却至室温,再用50mL丙酮在室温下将皂从苯溶液中沉淀析出、过滤,然后用热丙酮洗涤沉淀数次至完全去掉油为止,烘干后称重,所得结果计算为质量百分数,并减去润滑脂中的机械杂质(按SH/T 0330—1992《润滑脂机械杂质测定法(抽出法)》测定)的含量,即得皂分。皂分测试需用到滴定管、锥形烧瓶、漏斗、回形冷凝管和烘箱等实验室常见仪器,不需要使用特定仪器。

2.2.15 机械杂质

1.基本概念及检测意义

润滑脂内的机械杂质主要是指磨损性的机械杂质,一般是指溶剂不溶物,也有指显微镜观察到的不透明的外来杂质和半透明纤维状的外来杂质。机械杂质主要有砂粒、尘土、金属屑及铁锈等,主要来源是制造润滑脂时,因原料过滤不彻底或生产环境不达标而引入;设备上磨损的金属;包装、储运和使用过程中自外界混入的杂质等。

润滑脂内如存在机械杂质,既不能沉淀也不能过滤,使用时会加剧被摩擦副工作面的磨损,造成摩擦面损伤,引发噪声,使机械设备运转时产生振动甚至缩短使用寿命。另外,金属屑或金属盐会促进润滑脂氧化等。因此,规定润滑脂中不允许含有酸分解法机械杂质,抽出法机械杂质允许含微量。

2.检测方法及分析仪器

润滑脂机械杂质的测定方法主要有SH/T 0336—1994《润滑脂杂质含量测定法(显微镜法)》、GB/T 513—1977《润滑脂机械杂质测定法(酸分解法)》(1988年确认)、SH/T 0330—1992《润滑脂机械杂质测定法(抽出法)》和SH/T 0322—1992《润滑脂有害粒子鉴定法》。

(1)SH/T 0336—1994

该方法是用显微镜测定润滑脂中外来粒子的尺寸和数量的方法。外来粒子是指在透射光下用显微镜观察润滑脂时,呈不透明和半透明纤维状的外来杂质。不是指制造时润滑脂的组分。

主要测试过程是将少量润滑脂涂在血球计数板中间平面上,用玻璃盖片压紧,润滑脂应完全装满在玻璃盖片和血球计数板平面之间的空隙,然后放在显微镜下观察,测定润滑脂内存在的颗粒杂质的大小和数目,记录10~25μm、25~75μm、75~125μm和>125μm共4组尺寸级别的外来粒子数量,即为显微镜杂质的含量。显微镜法测试杂质含量主要由显微镜、血球计数板和纵横移动架等组成,如图2-50所示。

图2-50 显微镜及血球计数板

(2)GB/T 513—1977

该方法用于测定润滑脂中不溶于盐酸、石油醚(溶剂汽油或苯)、乙醇-苯混合液及蒸馏水的机械杂质含量,以质量分数表示。主要测试过程是用锥形烧瓶称取样品,加入定量的10%盐酸和石油醚(溶剂汽油或苯)。将锥形烧瓶装上回流冷凝管在水浴或电炉上加热,使样品全部溶解,然后将溶解物缓慢倒入已知重量的微孔玻璃坩埚过滤,再用乙醇-苯混合液洗涤,并用热蒸馏水洗涤沉淀物呈中性为止,最后烘干恒重,此时的沉淀物即为机械杂质。

酸分解法不能测出溶于盐酸的机械杂质,如铁屑、碳酸钙等,主要测试的物质是尘土、砂粒等硅化物类磨损性杂质,对于大多数润滑脂来讲,这种机械杂质是不允许存在的。

(3)SH/T 0330—1992

测定润滑脂中不溶于乙醇-苯混合液及热蒸馏水内的杂质含量,以质量分数来表示。该方法比较简单,用乙醇-苯混合液抽出润滑脂,用热蒸馏水处理滤器上的沉淀物,并测定不溶解的残留物质量,即为润滑脂中的机械杂质。抽出法能测出润滑脂中全部机械杂质,包括金属屑和其他能溶于10%盐酸的杂质。

在润滑脂规格中,一般规定不许含有酸分解法机械杂质,但允许含微量抽出法机械杂质。如在皂基润滑脂中允许其质量分数最高不超过0.5%,烃基润滑脂内允许其质量分数一般在1/10000~1/1000。

(4)SH/T 0322—1992

SH/T 0322—1992采用测定划伤磨光过的塑料表面纹痕数量的手段来估算润滑脂中有害粒子。所谓有害粒子是指能划伤用聚甲基丙烯酸甲酯制成的磨光塑料试片的表面,但不一定能划伤钢及其他轴承材料的粒子。主要测试过程是将润滑脂放在两块洁净的经过高度磨光的塑料片之间,在一定压力下,使一块塑料片相对于另一块旋转30°,当润滑脂中含有硬度大于塑料片的粒子时,就会在一块或者两块塑料片上划出特殊的弧形纹痕,以纹痕总数来估计这类固体粒子的相对含量。

有害粒子鉴定法较其他机械杂质测定法能更好地反映出润滑脂中所有磨损性杂质,是评价润滑中磨损性杂质含量的一个简单方法。

2.2.16 游离有机酸和游离碱

1.基本概念及检测意义

游离有机酸和游离碱是指生产润滑脂过程中,未经充分皂化后的有机酸和过剩的碱量。游离碱含量用含KOH的质量分数来表示。游离酸用酸值表示,即中和1g润滑脂内的游离酸所消耗的KOH的毫克数。

过量的游离有机酸或游离碱,会影响润滑脂的使用性能,因此要监测润滑脂中的游离有机酸和游离碱,主要体现在以下几个方面。

1)由于润滑脂中含有少量的游离碱可以抑制皂的水解,且对润滑脂起到一定的氧化抑制作用,对氧化后产生的酸性物质起到中和作用,所以一定量的游离碱的存在是必要的。但润滑脂中含有游离碱量过大时,润滑脂的胶体安定性和机械安全性都将受到影响,会产生分层、析油现象,损失润滑性能。

2)润滑脂中含有少量的有机酸,会导致润滑脂稠度下降、滴点降低,过量的有机酸会对金属产生腐蚀作用,使润滑脂骨架失效,分油量增大,影响使用性能。

2.检测方法及分析仪器

润滑脂游离碱和游离有机酸的测定按照SH/T 0329—1992《润滑脂游离碱和游离有机酸测定法》进行。该标准测定采用的是滴定法,即按要求称取一定量的润滑脂试样,加入中和过的溶剂油(或苯)-乙醇混合溶剂中,加热回流至试样完全溶解。以酚酞为指示剂,用盐酸标准滴定溶液滴定其游离碱,或用KOH-乙醇标准滴定溶液滴定其游离有机酸,最终通过消耗的滴定溶液质量计算出游离碱或游离酸的含量。

在游离有机酸和游离碱测试过程中,主要用到磨口锥形瓶、微量滴定管、冷凝管和电热板等常规仪器。

2.2.17 橡胶相容性

1.基本概念及检测意义

润滑脂与橡胶的相容性又称橡胶适应性,是指润滑脂与橡胶接触时不使橡胶体积和硬度发生变化的能力。

润滑脂在使用中,会与不同类型的橡胶密封元件接触,不同橡胶在不同润滑脂的作用下会发生不同的反应,无论是收缩还是膨胀,都会影响密封元件的工作性能。因此,测试润滑脂橡胶相容性很有意义,主要体现在以下几个方面。

1)测定润滑脂对橡胶的相容性,以确保所选用的润滑脂不影响橡胶密封件的工作性能。橡胶与润滑脂接触一定时间后,可能发生体积膨胀或收缩,重量增加或减少,硬度也可能变大或变小,其他力学性能如抗拉强度也可能变化。若润滑脂与橡胶相容性好,则上述变化较小,能保证密封元件工作性能。

2)润滑脂在使用中,要在金属与橡胶间进行润滑并起密封作用。在润滑脂同时满足润滑和辅助密封作用时,橡胶适当少量的膨胀对润滑和密封有利。若橡胶相容性差,橡胶将发生过分溶胀、变软变黏,或过分收缩、硬化,导致密封失效。

2.检测方法及分析仪器

润滑脂与橡胶相容性常用的测定方法为SH/T 0429—2007《润滑脂和液体润滑剂与橡胶相容性测定法》。主要测试过程是将具有规定尺寸的标准橡胶试片丁腈橡胶(NBR-L)或氯丁橡胶(CR)置于润滑脂或液体润滑剂试样中,在100℃(CR或类似的橡胶)或150℃(NBR-L)或润滑剂产品规格要求的其他温度下,经70h试验后,根据其体积和硬度变化来评价试样与橡胶的相容性。

在橡胶相容性测试过程中,需要用到邵尔A型硬度计、天平、表面皿、试片挂钩、悬挂丝及烘箱等试验仪器。

2.3 变压器油理化指标检测

变压器油是石油的一种分馏产物,其主要成分是烷烃、环烷族饱和烃、芳香族不饱和烃等化合物。根据石油中所含烃类成分的不同,可分为石蜡基、环烷基和中间基,相应的由这3种原油炼制的变压器油也分为石蜡基、环烷基和中间基3种变压器油。变压器油是变压器的重要工作介质,主要起到绝缘、散热、冷却及灭弧的作用。衡量变压器油性质的指标有很多,如溶解气体组分、糠醛、击穿电压、耐压性、体积电阻率、介质损耗因数、析气性、带电倾向、稠环芳烃、pH值、界面张力、二苄基二硫醚及多氯联苯等。本节主要对上述指标进行详细介绍。

2.3.1 溶解气体组分

1.基本概念及检测意义

变压器油溶解气体组分是指溶解在油中各种气体的总含量,一般以体积分数(μL/L)表示。

变压器油中溶解气体主要来源于以下4个方面。

1)变压器油的分解:电或热故障可以使某些C—H键和C—C键断裂,伴随生成少量活泼的氢原子和不稳定的碳氢化合物的自由基,这些氢原子或自由基通过复杂的化学反应迅速重新化合,形成H 2 和低分子烃类气体。

2)固体绝缘材料的分解:固体绝缘材料指的是纸、层压纸板和木块等,属于纤维素绝缘材料。纤维素是由很多葡萄糖单体组成的长链状高聚合碳氢化合物,其中的C—O键及葡萄糖甙键的热稳定性比油中的C—H键还要弱,高于105℃时聚合物就会裂解,高于300℃时就会完全裂解和碳化。聚合物裂解在生成水的同时,还生成大量的CO和CO 2 、少量低分子烃类气体,以及糠醛及其系列化合物。

3)气体其他来源:变压器油中含有的水可以与铁作用生成H 2 ;在温度较高、油中有溶解O 2 时,设备中某些油漆(醇酸树脂)在某些不锈钢的催化下,可能生成大量的H 2 ,或者不锈钢与油的催化反应也可生成大量的H 2 ;新的不锈钢中也可能在加工过程中吸附H 2 或在焊接时产生H 2 ;有些改型的聚酰亚胺型绝缘材料与油接触也可生成某些特征气体;油在阳光照射下也可以生成某些特征气体。气体的来源还包括注入的油本身含有某些气体;设备故障排除后,器身中吸附的气体未经彻底脱除又缓慢释放到油中等。

4)气体在油中溶解和扩散:油、纸绝缘材料分解产生的气体在油里经对流和扩散不断地溶解在油中。当产气速率大于溶解速率时,会有一部分聚集成游离气体进入气体继电器或储油柜中。因此,气体继电器或储油柜内有集气时检测其中的气体,有助于对设备内部状况做出判断。

因此,绝缘油中溶解气体组分含量的测定,对充油电气设备制造、运行部门是十分重要的检测项目,是充油电气设备出厂检验和运行监督过程中判断设备潜伏性故障的有效手段。

2.检测方法及分析仪器

目前,普遍采用气相色谱测试变压器油中溶解的气体组分,测试方法为GB/T 17623—2017《绝缘油中溶解气体组分含量的气相色谱测定法》和DL/T 703—2015《绝缘油中含气量的气相色谱测定法》。测试原理是采用恒温定时振荡器或自动顶空进样器(见图2-51)萃取出油样中溶解的气体,然后用气相色谱仪分离、检测各气体组分,通过计算得到油中溶解气体组分含量。油中溶解气体分析结果以温度为20℃、压力为101.3kPa下,每升油中所含各气体组分的微升数(μL/L)表示,测试仪器如图2-52所示。

图2-51 自动顶空进样器

图2-52 气相色谱仪

2.3.2 二苄基二硫醚

1.基本概念及检测意义

二苄基二硫醚(DBDS)是含有两个苄基官能团的芳香二硫化物,分子式C 14 H 14 S 2 ,分子量为246,熔点71~72℃。二苄基二硫醚会提高绝缘液体的氧化稳定性,但二苄基二硫醚可与变压器、反应器以及其他类似设备中的金属铜和其他金属导体发生反应,生成铜和其他金属硫化物,当前大多数研究单位均认为二苄基二硫醚是变压器油中主要的腐蚀性硫。因此,目前对油中腐蚀性硫的定量检测就是测定油中二苄基二硫醚的浓度。

2.检测方法及分析仪器

二苄基二硫醚定量分析主要采用测试标准为GB/T 32508—2016《绝缘油中腐蚀性硫(二苄基二硫醚)定量检测方法》、NB/SH/T 0936.1—2016《未使用和使用过的绝缘液中腐蚀性硫化物的测定 第1部分:二苄基二硫醚(DBDS)测定法》、IEC 62697-1—2012《绝缘油中腐蚀性硫(二苄基二硫醚)定量检测方法》,其中,GB/T 32508—2016与IEC 62697-1—2012无技术性差异,测试仪器为通用型气相色谱仪,如图2-53所示。

图2-53 通用型气相色谱仪

GB/T 32508—2016通过在离心管中称取一定量的样品和内标溶液母液,加入甲醇振荡萃取、离心分离,取上层清液注入气质联用仪分析二苄基二硫醚的含量,结果用浓度(mg/kg)表示。

NB/SH/T 0936.1—2016将试样用合适的溶剂以一定比例稀释,加入一定量内标物后,注入气相色谱仪的分流/不分流进样器中,选择合适检测器。使用合适色谱柱及合适固定相,以H 2 或其他合适气体为载气,分离试样中的二苯基二硫醚DPDS和二苄基二硫醚。

2.3.3 多氯联苯

1.基本概念及检测意义

多氯联苯(PCB)指在联苯分子中两个或两个以上的氢原子被氯原子取代后,得到的一些同分异构物和同系物混合而成的绝缘液体。多氯联苯是一种有毒化合物,会对肝脏、神经和内分泌系统等造成损伤,也是致癌物质,因此被严格控制。但由于其电气性能良好、燃点高,因此过去曾被一些国家作为绝缘介质使用,在我国也曾有少量电容器使用过。由原油精制而成的变压器油不含任何多氯联苯,为防止变压器油受到污染,多氯联苯含量被列入控制指标。

2.检测方法及分析仪器

多氯联苯测试标准有SH/T 0803—2007《绝缘油中多氯联苯污染物的测定 毛细管气相色谱法》、IEC 61619—1997《绝缘油中多氯联苯污染物的测定 毛细管气相色谱法》、ASTM D4059—2000(2018)《气相色谱法分析无机绝缘液体中多氯联苯含量标准试验方法》,其中SH/T 0803—2007与IEC 61619—1997无技术性差异,测试仪器也是通用型气相色谱仪(见图2-53)。

上述三个标准均是采用合适的溶剂稀释试样,所得溶液通过去除干扰物质的程序进行处理后,将一小部分处理后溶液注入气相色谱柱。当这些组分与载气一起通过色谱柱时,组分被分离,由电子捕获检测器检测,并记录为色谱图。

2.3.4 击穿电压

1.基本概念及检测意义

击穿电压是在规定的试验条件下绝缘体或试样发生击穿时的电压。通常标准规定的均指油在工频电压作用下的击穿电压,反映绝缘油在电场作用下失去介电性能成为导体的最低电压。

击穿电压表征油耐受电应力的能力,该值与油的组成和精制程度等油本质因素无关,受油中杂质的影响,影响最大的杂质是水分和纤维,特别是两者同时存在时,温度对该值也有影响。油经净化处理后,不同油的击穿电压都可得到很大提高。因此,从某种意义上说,击穿电压不是油本身的电气特性,而是对油物理状态的评定。击穿电压是反映绝缘油耐受极限电压情况的重要指标,可用于判断绝缘油受污染或变质的程度,适用于设备监测和保养时对试样的评定。

2.检测方法及分析仪器

目前,击穿电压常用测试标准有GB/T 507—2002《绝缘油击穿电压测定法》、IEC 60156—2018《绝缘液体 工频下击穿电压的测定试验方法》、ASTM D877/D877M—2013《用圆盘电极测定电绝缘液体介电击穿电压的试验方法》,其中GB/T 507—2002等效采用IEC 60156—1995。测试原理是油中的杂质和溶解于油并与油分子紧密结合的水分子,在纯净的油分子远未在电极之间极化和电离之前,就沿电场强度方向排列、聚集,进而电离形成微小通路,即所谓的“小桥”,小通路连接贯穿两极,导致油被迅速击穿。油中杂质越多,越易形成小桥,击穿电压也就越低。测试步骤则是向置于规定设备中的被测试样上施加按一定速率连续升压的交变电场,直至试样被击穿,击穿电压数值会因纤维、导电颗粒、污垢和水等污染物质的存在而降低。所需仪器如图2-54所示,击穿电压所用电极分为球型电极和球盖型电极,通常采用球型电极测试,如图2-55所示。

图2-54 击穿电压试验仪

图2-55 球型电极和球盖型电极

2.3.5 体积电阻率

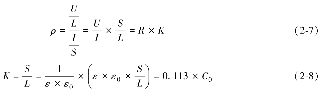
1.基本概念及检测意义

液体内部的电场强度与稳态电流密度的商称为液体介质的体积电阻率,通常用 ρ 表示。

式中 ρ ——被试液体的体积电阻率(Ω·m);

U —— 两电极间所加的电压(V);

I —— 两电极间流过直流电流(A);

S —— 电极面积(m 2 );

L —— 电极间距(m);

R —— 电极间被试液体的体积电阻(Ω);

K —— 电极常数( S/L )(m);

ε —— 空气的相对介电常数;

ε 0 —— 真空介电常数[8.85×10 -12 ,A·s/(V·m)];

C 0 —— 空电极电容(pF)。

液体的体积电阻率测定值不仅与液体介质性质及内部溶解导电粒子有关,还与测试电场强度、充电时间、液体温度等测试条件因素有关。因此,除特别指定外,电力用油体积电阻率是指“规定温度下测试电场强度为250V/mm±50V/mm、充电时间60s”的测定值。它反映液体介质的导电性质及内部溶解导电粒子的情况。

体积电阻率在某种程度上能反映出油的老化和受污染程度,当油受潮或被污染后,会降低其绝缘电阻。一般来说,若绝缘油的体积电阻率高,则其介质损耗因数就很小,击穿电压就高。体积电阻率对油的离子传导损耗反应最为灵敏,不论是酸性还是中性氧化物,都能引起电阻率的明显变化,因此通过对油的体积电阻率进行测定,能可靠有效地监督油的质量。

2.检测方法及分析仪器

体积电阻率常用测试方法为DL/T 421—2009《电力用油体积电阻率测定法》,测试原理是同时测出电阻两端的电压和流过电阻的电流,通过内部的大规模集成电路完成电压除以电流的计算,然后将所得到的结果经过A/D转换后以数字显示出电阻值。体积电阻率测试仪如图2-56所示。

图2-56 体积电阻率测试仪

影响体积电阻率的因素主要包含以下三方面。

1)温度:电阻率对温度的变化特别敏感,是按1/ K 指数变化,因此需要在足够精确的温度条件下进行。

2)电场强度的值:给定试样的电阻率可受施加电场强度的影响。为了获得可比的结果,应在近似相等的电压梯度下进行测量,并应在相同极性下进行,此时应注明其梯度值和极性。

3)电化时间:当施加直流电压时,由于电荷向两电极迁移,因此流经试样的电流将逐渐减少到一定极限值。一般规定电化时间为1min,不同的电化时间可导致试验结果明显不同。

2.3.6 介质损耗因数

1.基本概念及检测意义

介质损耗因数是在工频电压作用下,利用电桥测量标准试油杯中流过油的有功电流与无功电流的无量纲的比值,是检验油电气性能的方法之一。介质损耗因数是由于介质电导和介质极化的滞后效应,在油内部引起的能量损耗,取决于油中可电离的成分和极性分子的数量,同时还受到油精制程度的影响。介质损耗因数增大,表明油受到水分、带电颗粒或可溶性极性物质的污染。

介质损耗因数主要反映油中因泄漏电流而引起的功率损失,介质损耗因数的大小对判断变压器油的劣化与污染程度是很敏感的。因为新油中所含极性杂质少,所以介质损耗因数也甚微小,一般仅有0.01%~0.1%量级,但由于氧化或过热而引起油质老化时,或混入其他杂质时,所生成的极性杂质和带电胶体物质逐渐增多,介质损耗因数也就会随之增加,在油的老化产物甚微,用化学方法尚不能察觉时,介质损耗因数就能明显地分辨出来。因此,介质损耗因数的测定是变压器油检验监督的常用手段,具有特殊的意义。

2.检测方法及分析仪器

介质损耗因数检测多采用GB/T 5654—2007《液体绝缘材料 相对电容率、介质损耗因数和直流电阻率的测量》及IEC 60247:2004《液体绝缘材料 相对电容率、电介质损耗因数(tan)和直流电阻率的测量》,两个测试方法基本无技术性差异,测试仪如图2-57所示。介质损耗因数测试仪将直流高压加在油杯加压极上,经过测试回路,产生微弱电流信号,该微弱电流信号经测量电路放大后送进AD采样,将数字信号送入数字信号处理器(DSP)中进行进行处理,计算出相应参数。

图2-57 介质损耗因数测试仪

电气绝缘液体的介质损耗因数在相当大程度上取决于试验条件,特别是温度和施加电压频率,介质损耗因数是介质极化和材料电导的度量。

在工频和足够高的温度下,损耗可仅归因于液体电导,即归因于液体中自由载流子的存在。介质损耗因数影响因素主要有以下三个方面。

1)测量频率:介质损耗与测量频率成反比,随介质黏度的变化而变化,试验电压值对介质损耗因数影响不大,它通常只是受电桥的灵敏度所限制。但是应考率到高电场强度会引起电极的二次效应、介质发热、放电等影响。

2)杂质:较大杂质的电容率变化相对较小,而其介质损耗强烈地受极小量的可电离溶解杂质或胶体微粒的影响。因为某些液体有大的极性,所以对杂质的敏感性较碳氢化合物液体要强得多。极性还会导致它有较高的溶解和电离能力。

3)温度:介质损耗因数对温度变化很敏感,通常随温度的增加呈现指数型增长。

2.3.7 析气性

1.基本概念及检测意义

析气性指绝缘油在受到足以引起在油、气交界中放电的电场强度(或电离)作用下,油本身表现出吸收或放出气体的能力。变压器油的析气性取决于它的组成和分子结构,变压器油中的饱和烃成分在高电压作用下,放出氢气等大量低分子气体,同时形成很多高分子烃。在同样条件下,芳烃成分能够吸氢,且析出高分子烃很少。由此可见,变压器油析气性的好坏,由变压器油中芳烃的含量决定。一般情况下,当变压器油中芳烃含量>16%时,变压器油呈吸气状态。

析气性可应用于确定采购规格、绝缘油的一般选择、产品开发和质量保证。目前,尽管普遍认为绝缘油的气体吸收对减少在高压电场下浸渍绝缘系统的电离有正面的影响,然而析气性试验结果与设备性能之间的关联是有限的。在解释试验结果与任何预期应用的关联性上,应进行实际应用的判断。

2.检测方法及分析仪器

析气性测试设备如图2-58所示,常用测试标准有GB/T 11142—1989《绝缘油在电场和电离作用下析气性测定法》、NB/SH/T 0810—2010《绝缘液在电场和电离作用下析气性测定法》、IEC 60628—1985《绝缘液在电场和电离作用下析气性测定法》,其中,NB/SH/T 0810—2010与IEC 60628—1985无技术性差异。

图2-58 析气性测试设备

油在电场作用下吸收气体的实质是:电场的作用使油含有芳香烃中芳环被电离后打开双键,并与游离的氢离子多次结合,最终形成稳定的新环烷烃。析气性所体现的是油的吸氢(吸收氢离子)能力和油被裂解形成的烃类气体(分溶在油中)在油面反映出的压力变化的综合效应:吸氢使油面压力降低,而裂解出的气体使油面压力升高,其结果是油中芳香烃含量逐渐减少,环烷烃含量增加,部分饱和烃被裂解。显然,芳香烃含量越多,可被打开的苯环双键就越多,吸气效果也越好。如果设备内部存在极低能量的局部放电(以裂解出氢离子为主要特征),油中芳香烃含量较多时,会对放电起到抑制作用。

NB/SH/T 0810—2010中要求绝缘液经干燥和氢气饱和后,绝缘液体和液面上的氢气层在电压为10kV、频率为50Hz或60Hz、油温为80℃、测试时间为120min(50Hz)或100min(60Hz)的条件下,受到径向电场的作用,油、氢气交界面因放电反应而导致油本身吸收或放出气体的倾向。其析气倾向以单位时间内试样吸收或放出气体的体积表示。在规定的试验条件下,当吸收气体量大于释放气体量时,析气速率(L/min)为负,反之为正。析气速率小的油析气性相对较好。

GB/T 11142—1989中要求用高纯氢气饱和后,油及油面上的氢气层在电压为10kV、频率为50Hz、油温为80℃电极间隙为3mm和持续60min的条件下,由于受到径向电场的作用,油、氢气交界面因放电反应而导致油本身吸收或放出气体。其析气倾向以单位时间内试样吸收或放出气体的体积表示。

2.3.8 带电倾向

1.基本概念及检测意义

油在变压器内流动时,与固体绝缘表面摩擦会产生电荷,这种现象称为油的带电倾向性,其能力用电荷密度表示,单位是pC/mL或μC/m 3

变压器油的油流带静电现象直接关系到变压器的寿命和安全。变压器的泄漏电流和变压器油的带电倾向是导致变压器内放电性故障的起因。

2.检测方法及分析仪器

变压器油带电倾向测试方法为DL/T 385—2010《变压器油带电倾向性检测方法》,测试仪如图2-59所示,通过采用“过滤法”测试原理,油样以一定流速通过滤纸摩擦产生电荷电流,如图2-60所示。根据式(2-9)计算电荷密度,即

式中 ρ ——电荷密度(pC/mL);

I —— 电荷电流(A);

v —— 油流速度(mL/s)。

图2-59 带电倾向测试仪

图2-60 测试原理

变压器的固体绝缘材料(如绝缘纸或纸板)的主要成分是纤维素和木质素,其中纤维素带有羟基(—OH),木质素带有羟基、醛基(—CHO)和羧基(—COOH)。在变压器油的不断流动下,与绝缘纸板发生摩擦,使得这些基团发生电子云的偏移。绝缘纸板表面就如同覆盖着一层正极性的氢原子。带正电性的氢原子对油中负离子具有较强的亲和作用,进而吸附油中负离子,并在油-纸界面上形成偶电层。

当变压器油以一定速度流动时,偶电层的电荷发生分离,负电荷仍附着在纸板表面,正电荷进入油中并随油流动,形成冲击电流。这样,油就带正电,而纸板表面带负电。随着油的循环流动,油中正电荷越积越多,当积聚到一定程度时,就可能向绝缘纸板放电。

2.3.9 糠醛

1.基本概念及检测意义

糠醛又名2-呋喃甲醛(C 4 H 3 OCHO),是只有绝缘纸老化才生成的主要特征产物,它是纤维素大分子降解后形成的一种主要的氧杂环化合物,且可溶解于油中(可测性),绝缘纸的老化程度越高,油中的糠醛含量越大,绝缘纸纤维素聚合度越低,绝缘性能就越差。

在新油中,糠醛表征某些油在炼制过程中经糠醛精制后的残留量,与油性能无关。运行中的油则可由糠醛含量了解变压器中纤维绝缘的老化程度,限制新油中糠醛含量是为了尽量避免对运行中绝缘老化程度判断的干扰。变压器绝缘老化会导致电网的绝缘机械强度下降,降低抵抗电路中大电流冲击的能力,从而导致电压不稳、短路、停电等故障频发;绝缘老化还会伴随着变压器内部局部放电危险,降低抵抗电流击穿强度等,导致变压器烧毁;绝缘老化会导致变压器在负荷运行时,出现发热、放电情况,容易引发火灾、触电情况发生。因此,需通过测试变压器油中的糠醛含量来评估变压器绝缘纸的老化状况。

2.检测方法及分析仪器

糠醛测试方法有DL/T 1355—2014《变压器油中糠醛含量的测定 液相色谱法》、NB/SH/T 0812—2010《矿物绝缘油中2-糠醛及相关组分测定法》、IEC 61198—1993《矿物绝缘油中2-糠醛及相关组分测定法》,测试仪器如图2-61所示,其中,NB/SH/T 0812—2010与IEC 61198—1993无技术性差异。三种测试标准都是利用极性有机萃取剂萃取出变压器油中糠醛,再采用液相色谱柱分离萃取液中的糠醛,选用高灵敏度的紫外检测器实现糠醛含量测定,测试原理如图2-62所示。

图2-61 高效液相色谱仪

图2-62 糠醛测试原理

油中糠醛含量虽能反映绝缘老化状况,但测试结果会受多种因素影响。因此,设备在运行过程中可出现糠醛含量波动的情况,主要有以下影响因素。

1)作为一般多相平衡体系,糠醛在油和绝缘纸之间的平衡关系受温度影响。当变压器运行温度变化时,油中糠醛含量会随之波动。

2)变压器进行真空滤油处理时,随着脱气系统真空度的提高、滤油温度的升高、脱气时间的增加,油中糠醛含量相应下降。变压器油经过某些吸附剂处理后,油中糠醛全部消失。

3)变压器油中放置硅胶(或其他吸附剂)后,由于硅胶的吸附作用,油中糠醛含量明显下降。装有净油器的变压器,油中糠醛含量随吸附剂量和吸附剂更换时间的不同而有不同程度的下降,每次更换吸附剂后可能出现一个较大降幅。

4)变压器更换新油或油经处理后,纸绝缘中仍然吸附有原变压器油,这时油中糠醛含量先大幅度降低,然后由于纸绝缘中的糠醛向油中扩散,油中糠醛含量逐渐回升,最后达到平衡。

5)在绝缘纸接近寿命末期时,纤维素降解产生糠醛的速度较慢,甚至低于糠醛自身热分解的速度,有可能导致末期糠醛含量降低,进行诊断时需要加以分析。

2.3.10 稠环芳烃

1.基本概念及检测意义

稠环芳烃(PCA)含量,通常将二环以上的芳香烃称为多环芳香烃或稠环芳香烃。某些稠环芳烃被认为有致癌作用,因此作为控制指标。从绝缘性能看,稠环芳烃对变压器油的冲击击穿电压有降低作用,对抗氧化性能不利,且具有易吸潮、易产生油流静电等缺点。

2.检测方法及分析仪器

稠环芳烃测试标准为NB/SH/T 0838—2010《未使用过的润滑油基础油及无沥青质石油馏分中稠环芳烃含量的测定 二甲基亚砜萃取折光指数法》及IP 346—1992(2004)《未使用过的润滑油基础油及无沥青质石油馏分中稠环芳烃含量的测定 二甲基亚砜萃取折光指数法》,两者无技术性差异,测试仪器也是使用高效液相色谱。

如有必要可预先对试样进行减压分馏,再用二甲基亚砜(DMSO)萃取两次。将萃取物合并,用盐类水溶液稀释,再用环己烷萃取两次。通过用环己烷将样品稀释,对环己烷萃取物清洗并干燥后,除去溶剂,称量稠环芳烃残留物质量,测定折光指数,以确定残留物的芳构性。

2.3.11 界面张力

1.基本概念及检测意义

界面张力,是指两相界面上相邻部分间单位长度上的相互牵引力,其方向与界面相切。液-气界面上这种牵引力称为表面张力,液-液界面间的这种牵引力称为界面张力。

油-水之间界面张力的测定是检查油中含有因老化而产生的可溶性极性杂质的一种间接有效的方法。油在初期老化阶段,界面张力的变化是相当迅速的,到老化中期,其变化速度也就降低,而油泥生成则明显增加。因此,界面张力对生成油泥的趋势可做出可靠的判断。同时,界面张力可以反映新油在精制时的纯净程度。纯净的油通常在水相的界面上可产生40~50mN/m的力。但对于运行油,由于受到油的氧化产物和其他杂质的影响,使这些亲水性的杂质既对水分有吸引力,又对油分子有吸引力,所以界面张力也就减小了。因此,油的界面张力值是与新油的洁净程度和运行油的氧化程度密切相关的。

2.检测方法及分析仪器

界面张力通常采用GB/T 6541—1986《石油产品油对水界面张力测定法(圆环法)》和ASTM D971—2020《用环法测定绝缘液体对水的界面张力的标准试验方法》,这两种方法均采用圆环法测试液体界面张力,无技术性差异,测定仪如图2-63所示。

图2-63 全自动界面张力测定仪

测试过程中,界面张力是通过一个水平的铂丝测量环从界面张力较高的液体表面拉脱铂丝圆环,也就是从水-油界面将铂丝圆环向上拉开所需的力来确定。在计算界面张力时,所测得的力要用一个经验测量系数进行修正,该修正系数取决于所用的力、油和水的密度以及圆环的直径。测量在严格标准化的非平衡条件下进行,即在界形成后1min内完成此测定。

影响界面张力因素主要包含以下三个方面。

1)液体的种类:不同液体的分子间作用力也不同,分子间作用力大,界面张力就大。水有较大的界面张力,油的界面张力较小。

2)温度:当温度升高时,液体分子间引力减弱,同时其共存蒸气的密度加大,分子受到液体内部分子的引力减小,受到气相分子的引力增大,界面张力减小。

3)液体性质:一种溶剂中溶入其他物质,界面张力会发生变化,如果在纯水中加入少量表面活性剂,其界面张力就会急剧下降。

2.3.12 水溶性酸碱

1.基本概念及检测意义

石油产品的水溶性酸碱是指加工中落入石油产品内的可溶于水的矿物酸碱,矿物酸主要有硫酸及其衍生物,包括磺酸和酸性硫酸脂,水溶性碱主要为苛性钠和碳酸钠,它们多是由酸碱精制时处理不完全的残余物所形成。

若储存和使用过程中的油含有水溶性酸或碱,则表明润滑油被污染或氧化分解。油中含有水溶性酸碱,会促使油老化、腐蚀设备,对于变压器油而言,水溶性酸碱还会使变压器的耐压性能下降。

2.检测方法及分析仪器

石油产品中水溶性酸碱测试方法有GB/T 7598—2008《运行中变压器油水溶性酸测定法》和GB 259—1988《石油产品水溶性酸及碱测定法》。

这两种测试标准均是采用蒸馏水或乙醇溶液提取试样中的水溶性酸碱,然后分别用甲基橙或酚酞指示剂检查抽取液颜色的变化情况,或用酸度计(见图2-64)测定抽提物的pH值,来判断有无水溶性酸碱。

图2-64 酸度计

2.3.13 腐蚀性硫

1.基本概念及检测意义

硫可能以稳定而有益的化合物存在于变压器油中,起天然抗氧剂作用,也可能以不安定化合物或游离状态的形式存在于油中,会促使有害皂类的形成和油的酸性反应以及金属的腐蚀。

腐蚀性硫指存在于油中的腐蚀性硫化物(包括游离硫)。某些活性硫化物对铜、银(开关触头)等金属表面有很强的腐蚀性,特别是在温度作用下,能与铜导体化合形成硫化铜侵蚀绝缘纸,从而降低绝缘强度。因此,变压器油中不允许存在腐蚀性硫。

2.检测方法及分析仪器

腐蚀性硫测试方法有SH/T 0304—1999《电器绝缘油腐蚀性硫试验法》、SH/T 0804—2007《电气绝缘油腐蚀性硫试验 银片试验法》、DL/T 285—2012《矿物绝缘油腐蚀性硫检测法 裹绝缘纸铜扁线法》、IEC 62535—2008《矿物绝缘油腐蚀性硫检测法 裹绝缘纸铜扁线法》、GB/T 25961—2010《电气绝缘油中腐蚀性硫的试验法》、ASTM D1275《电气绝缘油中腐蚀性硫的试验法》,其中,DL/T 285—2012与IEC 62535—2008无技术性差异,GB/T 25961—2010与ASTM D1275无技术性差异,不同试验检测设备一般为烘箱,不同测试方法见表2-2。基本原理都是通过不同条件下、不同规格的铜材料与电力绝缘油中的硫化物发生反应,试验后观察铜材料的外观,当表面显示出石墨灰、深褐色或黑色中的任何一种结果时就判定为有腐蚀性硫,其他颜色为非腐蚀。

表2-2 腐蚀性硫测试方法

2.3.14 苯胺点

1.基本概念及检测意义

苯胺点指等体积苯胺与待测样品混合物的最低平衡溶解温度,以“℃”表示。

油中各种烃类的苯胺点是不同的,各种烃类的苯胺点高低顺序是:芳香烃<环烷烃<烷烃。烯烃和环烯烃的苯胺点比分子量与其接近的环烷烃稍低,多环环烷烃的苯胺点比相应的单环环烃更低。对于同一烃类,其苯胺点均随分子量和沸点的增加而增加。通常,油中芳香烃含量越低,苯胺点就越高。此外根据苯胺点的数据,还可以计算柴油指数和十六烷指数。

2.检测方法及分析仪器

苯胺点测试方法主要有GB/T 262—2010《石油产品和烃类溶剂苯胺点和混合苯胺点测试法》和ASTM D611—2004《石油产品和烃类溶剂苯胺点和混合苯胺点的试验方法》,两者无技术性差异,测试仪如图2-65所示。测试过程中,将规定体积的苯胺与试样或苯胺与试样加正庚烷置于试管中,搅拌混合物。以控制的速度加热混合物,直到混合物中的两相完全混溶,然后按控制的速度将混合物冷却,记录混合物两相分离时的温度,作为试样的苯胺点或混合苯胺点。

图2-65 苯胺点测试仪

参考文献

[1]贺石中,冯伟.设备润滑诊断与管理[M].北京:中国石化出版社,2017.

[2]杨其明,严新平,贺石中,等.油液监测分析现场实用技术[M].北京:机械工业出版社,2006.

[3]朱延彬.润滑脂技术大全[M].3版.北京:中国石化出版社,2015.

[4]蒋明俊,郭小川.润滑脂性能及应用[M].北京:中国石化出版社,2010.

[5]谢泉,顾军慧.润滑油品研究与应用指南[M].2版,北京:中国石化出版社,2007.

[6]何云强.石油产品试验技术标准规范实用手册(全4卷)[M].北京:北京科大电子出版社,2005.

[7]王毓民,王恒.润滑材料与润滑技术[M].北京:化学工业出版社,2004.

[8]T.曼格,W.德雷泽尔.润滑剂与润滑[M].北京:化学工业出版社,2003.

[9]王先会.润滑脂选用指南[M].北京:中国石化出版社,2013.

[10]史永刚,刘绍璞,陈铿,等.基于电化学分析的润滑油酸值和碱值测定[J].润滑与密封,2006(8):42-45.

[11]张健健,胡建强,杨士钊,等.温度滴定法中滴定剂对航空润滑油水分测定的有效性研究[J].应用化工,2017,46(11):2275-2277.

[12]王玉睿涵,何懿峰,刘辉,等.电位滴定法测定润滑油酸值的影响因素及条件优化研究[J].石油炼制与化工,2023,54(6):111-119.

[13]王雁生.四球机摩擦磨损试验相关问题的探讨[J].分析测试学报,2010,29:266-268.

[14]赵锡荣,阴亭,朱军.在用导热油闪点降低的原因分析及对策[J].润滑油,2018,33(6):41-45

[15]左凤,孙大新,王建华,等.润滑油氧化安定性评价方法的相关性研究[J].润滑油,2016,31(1):50-53.

[16]汤菁,周家兴,严青,等.紫铜在含S有机润滑油中的腐蚀行为[J].南京工业大学学报(自然科学版),2019,41(1):41-46.

[17]林瑞玲,庞晋山.润滑油漆膜倾向指数测试及应用研究[J].润滑油,2017,32(2):50-54.

[18]钱艺华,孟维鑫,汪红梅.大型调峰机组透平油漆膜问题研究现状[J].润滑与密封,2016,41(10):103-106.

[19]黄丹,刘祥萱,王留云.微分脉冲伏安法监测润滑油中抗氧剂的研究[J].石油炼制与化工,2015,46(1):74-77.

[20]刘茜,许扬,桃春生.润滑脂抗磨性能试验研究[J].润滑油,2024,39(1):21-23.

[21]丁娟红,周丽珍.润滑油四球磨损试验结果准确性影响因素考察[J].石油商技,2017(4):78-81.

[22]ADHVARYU A,ERHAN S Z,PEREZ J M.Preparation of soybean oil-based greases:effect of composition and structure on physical properties[J].Journal of Agricultural and Food Chemistry,2004,52(21):6456-6459.

[23]LIU Z SH,BIRESAW G,BISWAS A,et al.Effect of polysoap on the physical and tribological properties of soybean oil-based grease[J].Journal of the American Oil Chemists' Society,2018,95(5):629-634.

[24]SAXENA A,KUMAR D,TANDON N.Development of eco-friendly nano-greases based on vegetable oil:an exploration of the character via structure[J].Industrial Crops and Products,2021,172:114033.

[25]RAZAVI S,SABBAGHI S,RASOULI K.Comparative investigation of the influence of CaCO 3 and SiO 2 nanoparticles on lithium-based grease:physical,tribological,and rheological properties[J].Inorganic Chemistry Communications,2022,142:109601.

[26]PRASAD D K,AMARNATH M,CHELLADURAI H.Impact of multi-walled carbon nanotubes as an additive in lithium grease to enhance the tribological and dynamic performance of roller bearing[J].Tribology Letters,2023,71(3):88.

[27]BEDIAN L,VILLALBA-RODRÍGUEZ A M,HERNÁNDEZ-VARGAS G,et al.Bio-based materials with novel characteristics for tissue engineering applications -A review[J].International Journal of Biological Macromolecules,2017,98:837-846. NK5lEN+IRbRjc3j3tRf4hUQWutFwIml4q6ciy6nu47GPcu+uJSMzqAV+T1IfGOEO

点击中间区域
呼出菜单
上一章
目录
下一章
×

打开