购买
下载掌阅APP,畅读海量书库
立即打开
畅读海量书库
扫码下载掌阅APP

2.4.2 多项式运算

多项式系数向量的多项式运算包括多项式求值、多项式求根、多项式乘除以及多项式微分。

1.多项式求值

多项式求值分为以下两种形式:

(1)数组为单元的运算:多项式求值调用内置函数polyval;

(2)矩阵为单元的运算:多项式求值调用内置函数polyvalm。

2.多项式求根

多项式求根有以下两种方法:

(1)方法一:直接调用内置函数roots求多项式的所有根;

(2)方法二:先调用compan内置函数求得多项式的伴随矩阵,再求该矩阵的特征值。

3.多项式乘除运算

(1)多项式的乘法:调用内置函数conv实现,等同于系数向量的卷积;

(2)多项式的除法:调用内置函数deconv实现,等同于系数向量的解卷函数求值。

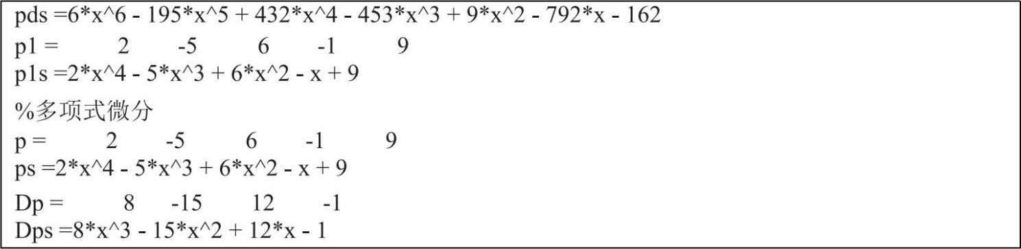
4.多项式微分

(1)方法一:调用内置函数polyder实现;

(2)方法二:调用内置函数diff实现。

2.16 多项式运算。

(1)多项式运算——多项式系数向量创建。

在Matlab命令行窗口运行ex2_16.m中的这些语句,得到如下结果。可以看出,通过直接输入系数、伴随矩阵以及根三种方法,均可创建多项式的系数向量。

(2)多项式运算——多项式求值、求根。

在Matlab命令行窗口运行ex2_16.m中的这些语句,得到如下结果。可以看出,多项式求值的数组运算结果 pv 与矩阵运算结果 pvm 差别很大,多项式求根的直接调用结果 rt 1 与多项式伴随矩阵特征值求根结果 rt 2 一致。

(3)多项式运算——多项式乘除法、微分。

在Matlab命令行窗口运行ex2_16.m中的这些语句,得到如下结果。 sqOeE4esubhYQcv9QSUekO1IGGwjNnOh3fhG7pCMMpxAvK8w450ETiGPDdGtUZ/p

点击中间区域
呼出菜单
上一章
目录
下一章
×