购买
下载掌阅APP,畅读海量书库
立即打开
畅读海量书库
扫码下载掌阅APP

2.3 壳聚糖—纳米二氧化钛—荔枝皮提取物涂膜液保鲜苹果

2.3.1 引言

在一些亚洲国家,糖芯苹果由于独特的果肉形态和甜味而特别受欢迎,其售卖价格也很贵。然而,果肉容易褐变导致糖芯苹果的货架寿命变短,因此糖芯苹果的贮藏需要特殊的方法 [30,31] 。近年来的研究表明,糖芯“Fuji”苹果在冷藏过程中,其内部的褐变会逐渐消散,表明冷藏是保持糖芯苹果品质的有效方法 [32] 。然而,也有研究表明,如果不进行其他处理,长期冷藏可能会使苹果表面变黑,并引起生理紊乱 [33] 。因此,单靠冷藏不足以维持糖芯苹果的品质。

活性涂膜液是保持苹果贮藏品质的常用手段,涂膜材料可以调节水、气交换,改善苹果外观,减少机械损伤和病原菌的浸染 [34] 。在众多的活性涂膜材料中,壳聚糖(CS)因其无毒、生物相容性好和可降解性而被广泛应用于保鲜苹果 [35] 。但是壳聚糖膜的机械强度差、阻隔性不强,其涂膜保鲜效果有限,其在食品包装膜和水果保鲜中的应用受到严重限制 [36] 。为了提高壳聚糖膜的性能,人们进行了许多尝试。

最近的研究表明,纳米颗粒和壳聚糖的结合可以提高壳聚糖基材料的力学性能、阻隔性能和热性能 [37] 。在众多的纳米颗粒中,纳米二氧化钛(nano-TiO 2 )因其无毒、稳定、抗菌等特性在食品领域得到了广泛的应用 [38] 。纳米二氧化钛具有良好的乙烯清除能力,可以延缓果实的成熟过程 [39] 。文献 [40] 表明,纳米二氧化钛的加入可以增强壳聚糖膜的力学、水蒸气阻隔和透气性,壳聚糖/纳米二氧化钛涂膜液有效地提高了银杏种子的贮藏品质。文献 [41] 表明,壳聚糖/纳米二氧化钛涂膜液在贮藏过程中保持了杧果的质量,延缓了杧果的后熟。然而,由于纳米二氧化钛的抗氧化能力不足,壳聚糖/纳米二氧化钛复合膜在食品生产和保鲜中的应用仍然受到很多限制。

众所周知,许多植物提取物(如多酚和精油)具有优异的抗氧化活性,一些已被添加到聚合物膜中用来改善膜的抗氧化性能 [42] 。荔枝是一种具有较高商业价值的亚热带水果,因其鲜美的口感和诱人的外观而受到人们的喜爱 [43] 。荔枝皮一般作为废物丢弃。然而,荔枝皮提取物(LPE)含有许多酚类化合物(如原花青素、黄酮和花青素),这些都是熟知的抗氧剂 [44] 。LPE在活性包装膜材料中的应用研究较少,值得进一步研究。本试验将LPE和nano-TiO 2 添加到CS中,开发新型活性涂膜液,最大限度地利用荔枝副产物。试验研究了CS、CS+TiO 2 (CT)、CS+LPE(CL)和CS+TiO 2 +LPE(CTL)4种涂膜液对“Fuji”苹果在(0±1)℃下,贮藏180d的过程中理化性质、生物活性成分和酶活性的影响,用蒸馏水浸泡的苹果用作对照组,记为CK。

2.3.2 材料和方法

2.3.2.1 材料和试剂

壳聚糖(分子量为100~300kDa,脱乙酰度为95%)购于青岛(BZ Oligo Biotech Co.Ltd.,Qingdao,China),纳米二氧化钛(粒径为25nm,纯度≥99.8%)购于上海(Aladdin Biochemical Co.Ltd.,Shanghai,China)。荔枝皮提取物(50%乙醇提取液中的固液比为10∶1,提取2次,每次提取时间为2h)购于广西(Guilin Yitiancheng Biochemical Co.Ltd.,Guangxi,China)。其他试剂均为分析纯级别。

糖芯苹果产自新疆阿克苏,采摘后的苹果于24h内运输送进实验室中。选择大小均匀、无病害、无机械损伤的苹果600个(每个重300~350g)。首先预冷24h,其次将苹果浸泡在浓度为100ppm的次氯酸钠溶液中消毒2min,最后用无菌蒸馏水清洗,风干后将苹果贮藏,贮藏温度为在(0±1)℃,相对湿度为85%~90%。

2.3.2.2 涂膜液的制备

CS加入v=1%醋酸溶液中形成w/v=2%的壳聚糖溶液,再加入30%的甘油做塑化剂。将基于壳聚糖重量的w=0.3%的nano-TiO 2 和w=0.3%的LPE加入前述溶液中,经过充分搅拌和超声脱气后备用。

2.3.2.3 涂膜操作

将苹果分为5组,每组120个,分别为CK(对照组)、CS、CTCL和CTL组。苹果分别在5L前述的涂膜液中浸泡1min,苹果重量(g)与涂膜液体积(mL)的比值为0.06~0.07∶1。涂膜后的苹果在室温下风干,然后放在托盘上装入商用瓦楞纸箱(每箱30个苹果),贮藏在冷库中,温度为(0±1)℃,相对湿度为85%~90%。

2.3.2.4 苹果的质量参数测试

本试验所有测试项目参照文献 [45] 的描述,项目包括腐烂率测试,单位为%;失重率测试,单位为%;呼吸速率测试,单位为mg CO 2 kg -1 h -1 ;硬度测试,单位为kg cm -2 ;可溶性固形物含量测试,单位为%;多酚氧化酶(PPO)活性测试,单位为U g -1 min -1 ;过氧化物酶(POD)活性测试,单位为U g -1 min -1 ;电导率测试,单位为%;丙二醛含量测试,单位为μ mol kg -1

2.3.3 结果与讨论

2.3.3.1 苹果外观分析

从图2-10可以看出,第180天时,对照组的全果外观皱缩,半果果芯褐变。而涂膜的四组苹果基本没有出现外观的皱缩或果芯的褐变现象。结果表明,四种涂膜液可以有效提高苹果的外观质量和减少果芯的褐变。

图2-10 全果和半果在贮藏期180天内的外观变化 [45] (后附彩图)

2.3.3.2 腐烂率分析

从图2-11可以看出,贮藏180天后,对照组苹果的腐烂率为8.89%±1.92%,明显高于涂膜组的苹果。虽然各涂膜组间差异不显著,但CT组、CL组、CTL组苹果的平均腐烂率低于CS组,说明CS、nano-TiO 2 和LPE中的多酚化合物之间存在的协同作用可以显著降低苹果的腐烂率。

图2-11 不同处理组苹果在180天时的腐烂率 [45]

2.3.3.3 失重率、呼吸速率、硬度和可溶性固形物含量分析

从图2-12(a)可以看出,涂膜处理的四组苹果的失重率明显低于对照组苹果,CTL处理是最有效的抑制失重的方法。从图2-12(b)可以看出,对照组的苹果的呼吸峰值大概出现在第50天,而CL组和CTL组苹果的呼吸峰值大概出现在第60天。结果表明,CL和CTL处理具有更强的抑制苹果采后呼吸的作用,这是由于CT、CL和CTL膜具有更致密的结构和更强的气体阻隔性。果实采后变软的主要原因是蒸腾作用、呼吸作用和细胞壁的水解 [46] 。从图2-12(c)可以看出,整个贮藏期内,各组苹果的硬度均出现持续下降,但是,涂膜处理明显地抑制了苹果硬度的下降。添加nano-TiO 2 或LPE有助于保持苹果的硬度。从图2-12(d)可以看出,在贮藏初始阶段,各组苹果的可溶性固形物含量均出现上升趋势,这是由于淀粉分解产生了大量的可溶性糖的缘故 [47] 。60天后,苹果缺少有机物质的供应,自身的可溶固体将作为呼吸底物被逐渐消耗,导致苹果可溶性固形物含量下降。180天时各涂膜处理组苹果的可溶性固形物含量明显高于对照组苹果。

图2-12 贮藏期间不同涂膜处理对苹果的影响

(a)失重率;(b)呼吸速率;(c)硬度;(d)可溶性固形物 [45]

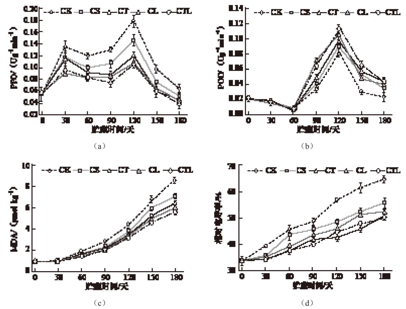
2.3.3.4 PPO活性、POD活性、MDA含量和电导率分析

从图2-13(a)和图2-13(b)可以看出,PPO活性的峰值出现在第30天和第120天,而POD活性的峰值出现在第120天。各涂膜组苹果的PPO活性明显低于对照组苹果,这是由于涂膜处理后的苹果的呼吸速率下降导致的 [48] 。CTL处理具有最强的抑制PPO活性、提高POD活性的能力,这是由CS、nano-TiO 2 和LPE协同作用的结果。从图2-12(c)和图2-13(d)可以看出,整个贮藏期内,各组苹果的MAD含量和电导率呈现出逐渐增加的趋势,但是对照组增加得更多,CTL组增加得最少。MDA含量是氧化细胞损伤的常用指标,而相对电导率表示细胞膜损伤程度 [49] 。贮藏过程中因低温或其他原因引起的疾病或损伤可导致各种代谢失衡,导致细胞损伤、MDA含量和相对电导率增加 [50] 。四种涂膜处理显著延缓了细胞损伤和MDA的积累。结果表明,涂膜诱导了苹果的防御系统,涂膜处理可以抑制MDA积累和相对电导率的增加。添加nano-TiO 2 增强了CS的阻隔性能,并可能减少了毛霉和链格孢菌的感染,从而进一步延缓了MDA的积累和相对电导率的增加。与CS处理相比,CL处理进一步抑制了MDA积累和相对电导率,表明LPE可以通过降低细胞膜氧化损伤来延缓苹果衰老。

图2-13 贮藏期间不同涂膜处理对苹果的影响

(a)PPO活性;(b)POD活性;(c)MDA含量;(d)相对电导率 [45]

2.3.4 结论

本试验首次报道了一种基于壳聚糖、纳米二氧化钛和荔枝皮提取物的新型抗氧化苹果保鲜液。四种涂膜液均能显著抑制苹果的呼吸速率、失重、果实软化和腐烂,并抑制PPO活性、电解质泄漏和MDA的积累。添加nano-TiO 2 和LPE的CS涂膜液是延缓糖芯苹果衰老最有效的处理方法。

参考文献:

[1]BAERT K, VALERO A, DE MEULENAER B, et al.Modeling the Effect of Temperature on the Growth Rate and Lag Phase of Penicillium Expansum in Apples[J].International Journal of Food Microbiology, 2007, 118(2): 139–150.

[2]DA ROCHA NETO A C, LUIZ C, MARASCHIN M, et al.Efficacy of salicylic acid to reduce Penicillium expansum inoculum and preserve apple fruits[J].International Journal of Food Microbiology, 2016(2021):54–60.

[3]CALO J R, CRANDALL P G, O’BRYAN C A, et al.Essential oils as antimicrobials in food systems—A review[J].Food Control, 2015(54): 111–119.

[4]HU Y, ZHANG J, KONG W, et al.Mechanisms of antifungal and anti-aflatoxigenic properties of essential oil derived from turmeric (Curcuma longa L.) on Aspergillus flavus[J].Food Chemistry,2017(220): 1–8.

[5]RIBEIRO-SANTOS R, ANDRADE M, DE MELO N R, et al.Use of essential oils in active food packaging: Recent advances and future trends[J].Trends in Food Science & Technology, 2017(61):132–140.

[6]DA ROCHA NETO A C, BEAUDRY R, MARASCHIN M, et al.Double-bottom antimicrobial packaging for apple shelf-life extension[J].Food Chemistry, 2019(279): 379-388.

[7]NGUEFACK J, TAMGUE O, DONGMO J B L, et al.Synergistic action between fractions of essential oils from Cymbopogon citratus, Ocimum gratissimum and Thymus vulgaris against Penicillium expansum[J].Food Control, 2012, 23(2): 377–383.

[8]HUANG Y, ZHAO J, ZHOU L, et al.Antifungal activity of the essential oil of Illicium verum fruit and its main component trans-an-ethole[J].Molecules, 2010, 15(11): 7558–7569.

[9]CAVOSKI I, WIECZYŃSKA J.Antimicrobial, antioxidant and sensory features of eugenol, carvacrol and trans-anethole in active packaging for organic ready-to-eat iceberg lettuce[J].Food Chemistry,2018, 259(1): 251–260.

[10]SACCHETTI G, MAIETTI S, MUZZOLI M V, et al.Comparative evaluation of 11 essential oils of different origin as functional antioxidants, antiradicals and antimicrobials in foods[J].Food Chemistry, 2005, 91(4): 621–632.

[11]BALAGUER M P, FAJARDO P, GARTNER H, et al.Functional properties and antifungal activity of films based on gliadins containing cinnamaldehyde and natamycin[J].International Journal of Food Microbiology, 2014(173): 62–71.

[12]ALMENAR E, CATALA R, HERNANDEZ-MUÑOZ P, et al.Optimization of an active package for wild strawberries based on the release of 2-nonanone[J].LWT – Food Science and Technology, 2009,42(2): 587–593.

[13]LI J, LEI H, SONG H, et al.1-methylcyclopropene (1-MCP) suppressed postharvest blue mold of apple fruit by inhibiting the growth of Penicillium expansum[J].Postharvest Biology and Technology, 2017(125):59–64.

[14]BARAD S, HOROWITZ S B, KOBILER I, et al.Accumulation of the mycotoxin patulin in the presence of gluconic acid contributes to pathogenicity of Penicillium expansum[J].Molecular and Plant Microbe Interactions, 2014, 27(1): 66–77.

[15]NYAMENDE N E, DOMTCHOUANG F R, BELAY Z A, et al.Alternative postharvest pre-treatment strategies for quality and microbial safety of ‘Granny Smith’apple[J].Heliyon, 2021,7(e7): 1104.

[16]CHEN C, JIANG A L, LIU C H, et al.Hydrogen sulfide inhibits the browning of fresh-cut apple by regulating the antioxidant, energy and lipid metabolism[J].Postharvest Biology and Technology,2021(175): 111–487.

[17]USALL J, IPPOLITO A, SISQUELLA M, et al.Physical treatments to control postharvest diseases of fresh fruits and vegetables[J].Postharvest Biology and Technology, 2016(122): 30–40.

[18]MAXIN P, HUYSKENS-KEIL S, KLOPP K, et al.Control of postharvest decay in organic grown apples by hot water treatment[J].In: V International Postharvest Symposium, 2004(682): 2153–2158.

[19]MAXIN P.Improving Apple Quality by Hot Water Treatment.2012, PhD dissertation[D].University of Aarhus, Aarslev, Denmark.

[20]NEUWALD D, KITTEMANN D.Influence of hot water dipping on the fruit quality of organic produced ‘Topaz’apples[J].Acta Horticulture, 2016(1144): 355–358.

[21]LÓPEZ-LÓPEZ M, VEGA-ESPINOZA A, AYÓN-REYNA L, et al.Combined effect of hot water dipping treatment, N-acetylcysteine and calcium on quality retention and enzymatic activity of fresh cut apple[J].Journal of Food Agriculture & Environment, 2013(11): 243–248.

[22]FERRI V, YASEEN T, RICELLI A, et al.Effects of electrolyzed water on apples: field treatment and postharvest application[J].Acta Horticulture, 2016(1144): 439–445.

[23]MBILI N C, OPARA U L, LENNOX C L, et al.Citrus and lemongrass essential oils inhibit Botrytis cinerea on ‘Golden Delicious’, ‘Pink Lady’ and ‘Granny Smith’ apples[J].Journal of Plant Diseases and Protechtion, 2017, 124 (5): 499–511.

[24]MOSCETTI R, CARLETTI L, MONARCA D, et al.Effect of alternative postharvest control treatments on the storability of ‘Golden Delicious’ apples[J].Journal of the Science of Food and Agriculture, 2013, 93(11): 2691–2697.

[25]LI L, LI X, WANG A, et al.Effect of heat treatment on physiochemical, colour, antioxidant and microstructural characteristics of apples during storage[J].International Journal of Food Science and Technology, 2013, 48 (4): 727–734.

[26]CHERIAN S, FIGUEROA C R, NAIR H.‘Movers and shakers’ in the regulation of fruit ripening.A cross-dissection of climacteric versus non-climacteric fruit[J].Journal of Experimental Botany, 2014,65 (17): 4705–4722.

[27]SHAO X F, TU K, TU S, et al.A combination of heat treatment and chitosan coating delays ripening and reduces decay in “Gala” apple fruit[J].Journal of Food Quality, 2012, 35 (2): 83–92.

[28]GUENTZEL J L, LAM K L, CALLAN M A, et al.Postharvest management of gray mold and brown rot on surfaces of peaches and grapes using electrolyzed oxidizing water[J].International Journal of Food Microbiology, 2010, 143(1–2): 54–60.

[29]SHENG L, SHEN X, ULLOA O, et al.Evaluation of JC9450 and neutral electrolyzed water in controlling Listeria monocytogenes on fresh apples and preventing cross-contamination[J].Frontiers in Microbiology, 2020(10): 3128.

[30]KASAI S, ARAKAWA O.Antioxidant levels in watercore tissue in‘Fuji’apples during storage[J].Postharvest Biology and Technology, 2010(55): 103–107.

[31]BOWEN J H, WATKINS C B.Fruit maturity, carbohydrate and mineral content relationships with watercore in ‘Fuji’ apples[J].Postharvest Biology and Technology, 1997(11): 31–38.

[32]KWEON H J, KANG I K, KIM M J, et al.Fruit maturity, controlled atmosphere delays and storage temperature affect fruit quality and incidence of storage disorders of‘Fuji’apples[J].Scientia Horticulture, 2013(157): 60–64.

[33]MDITSHWA A, FAWOLE O A, OPARA U L.Recent developments on dynamic controlled atmosphere storage of apples–a review[J].Food Packaging and Shelf Life, 2018(16): 59–68.

[34]ZHANG W, LI X, JIANG W.Development of antioxidant chitosan film with banana peels extract and its application as coating in maintaining the storage quality of apple[J].International Journal of Biological Macromolecules, 2020(154): 1205–1214.

[35]ZHANG W, ZHAO H, ZHANG J, et al.Different molecular weights chitosan coatings delay the senescence of postharvest nectarine fruit in relation to changes of redox state and respiratory pathway metabolism[J].Food Chemistry, 2019(289): 160–168.

[36]ELSABEE M Z, ABDOU E S.Chitosan based edible films and coatings[J].Materials Science &Engineering C-Materials for Biological Applications, 2013(33): 1819–1841.

[37]QIN Y, LIU Y, YUAN L, et al.Preparation and characterization of antioxidant, antimicrobial and pH sensitive films based on chitosan, silver nanoparticles and purple corn extract[J].Food Hydrocolloids,2019(96): 102–111.

[38]LI W, ZHENG K, CHEN H, et al.Influence of nano titanium dioxide and clove oil on chitosan-starch film characteristics[J].Polymers, 2019(11): 1418.

[39]ZHANG X, LIU Y, YONG H, et al.Development of multifunctional food packaging films based on chitosan, TiO 2 nanoparticles and anthocyanin-rich black plum peel extract[J].Food Hydrocolloids,2019(94): 80–92.

[40]TIAN F, CHEN W, WU C, et al.Preservation of Ginkgo biloba seeds by coating with chitosan/nano TiO 2 and chitosan/nano-SiO 2 films[J].International Journal of Biological Macromolecules, 2019(126):917–925.

[41]XING Y, YANG H, GUO X, et al.Effect of chitosan/Nano-TiO 2 composite coatings on the postharvest quality and physicochemical characteristics of mango fruits[J].Scientia Horticulture, 2020(263):109–135.

[42]NGUYEN T T, THI DAO U T, THI BUI Q P, et al.Enhanced antimicrobial activities and physiochemical properties of edible film based on chitosan incorporated with Sonneratia caseolaris (L.) Engl.leaf extract[J].Progress in Organic Coatings, 2020(140): 105–487.

[43]LI S, XIAO J, CHEN L, et al.Identification of A-series oligomeric procyanidins from pericarp of Litchi chinensis by FT-ICR-MS and LC-MS[J].Food Chemistry, 2012(135): 31–38.

[44]LIU L, XIE B, CAO S, et al.A-type procyanidins from Litchi chinensis pericarp with antioxidant activity[J].Food Chemistry, 2007(105): 1446–1451.

[45]LIU Z T, DU M J, LIU H P.Chitosan films incorporating litchi peel extract and titanium dioxide nanoparticles and their application as coatings on watercored apples[J].Progress in Organic Coatings,2021(151): 103–106.

[46]ALI U, BASU S, MAZUMDER K, Improved postharvest quality of apple (Rich Red) by composite coating based on arabinoxylan and beta-glucan stearic acid ester[J].International Journal of Biological Macromolecules, 2020(151): 618–627.

[47]BOWEN J H, WATKINS C B.Fruit maturity, carbohydrate and mineral content relationships with watercore in ‘Fuji’ apples[J].Postharvest Biology and Technology, 1997(11): 31–38.

[48]ALI K G, BADII F, HASHEMI M, et al.Effect of nanochitosan based coating on climacteric behavior and postharvest shelf-life extension of apple cv.Golab Kohanz [J].LWT- Food Science and Technology, 2016(70): 33–40.

[49]LIU X, LU Y Z, YANG Q, et al.Cod peptides inhibit browning in fresh-cut potato slices: a potential anti-browning agent of random peptides for regulating food properties[J].Postharvest Biology and Technology, 2018(46): 36–42.

[50]LIU X, WANG T, LU Y Z, et al.Effect of high oxygen pretreatment of whole tuber on anti-browning of fresh-cut potato slices during storage[J].Food Chemistry, 2019(301): 125–287. T9p+CO1cZdMC0wuRevhKqeOsw9ypEPfbMIngDyx2rBDsaXFrvYsyVZnCxga1WGo2

点击中间区域
呼出菜单
上一章
目录
下一章
×