购买
下载掌阅APP,畅读海量书库
立即打开
畅读海量书库
扫码下载掌阅APP

2.1 具有双层底结构的抗菌包装盒包装苹果

2.1.1 引言

苹果作为一种常见的温带水果,为了延长保质期,便于全年食用,通常需要在冷藏室中长期保存。冷藏虽然能延缓苹果的失重,但是却不能阻止由青霉菌引起的腐烂 [1] 。巴西农业和畜牧部推荐使用含有咪唑和二甲酰亚胺类的抗菌剂来防止由青霉菌引起的腐烂,但是这些抗菌剂中所含的抗菌成分不符合当前消费者对健康和生态食品的期望和愿望,而且还有增加微生物耐药性的风险,这些缺点引起了需要找到替代物来解决苹果因青霉菌引起的腐烂问题的思考 [2] 。植物精油做抗菌剂,不仅对多种真菌和细菌具有抗菌能力,还具有生物安全性、可生物降解性、致病菌耐药风险低等特点 [3] 。此外,植物精油被美国食品和药物管理局认定归类为安全的,并允许在有机农业上使用 [4] 。然而,植物精油具有强烈的气味、挥发性和容易氧化的特点,会改变食品的感官和理化特性,这些都限制了其直接添加到食品中 [5] 。为了弥补植物精油的这些缺点,可行的策略是使用具有捕获植物精油中挥发成分的材料来控制挥发成分的释放速率,可使用的材料包括环糊精、涂层、膜和纳米纤维 [6] 。抗菌包装通常采用的是各种聚合物膜材料,然而,在含有植物精油抗菌剂的聚合物树脂膜的生产中,在膜挤出成型过程中的高温会导致抗菌活性成分的显著损失。因此,需要一种新的方法来设计抗菌包装。本试验的目的是开发一种具有双层底结构的抗菌包装盒,两层底之间放置已封装的玫瑰草精油和大茴香精油复合物,这两种精油能够抑制青霉菌的生长,从而延长苹果的保质期。

2.1.2 试验部分

2.1.2.1 试验原料

玫瑰草精油和大茴香精油购于巴西某公司,β-环糊精购于美国某公司,试验中使用的其他试剂均为分析纯级别,购于美国某公司。

红苹果于当年8月从超市购买,然后置于6℃±2℃的冷库中几小时。将苹果从冷库中取出,用0.5%(v/v)次氯酸盐溶液消毒120s,再用自来水冲洗,最后风干备用。

从一个外观明显腐烂的苹果上分离出青霉菌,将分离物置于马铃薯葡萄糖琼脂培养基上于23℃下培养,14d后收集青霉菌孢子并添加到无菌蒸馏水中。用于体外检测和原位检测的青霉菌孢子悬液的浓度分别为10 5 个/mL和10 4 个/mL。

2.1.2.2 制备精油封装复合物

360mg真空干燥的β-环糊精(β-CD)加入70℃、20mL去离子水中,在200r/min的加热搅拌器(MS-H-pro Circular top LCD Digital,SCILOGEX LLC,Connecticut,U.S.A.)中充分搅拌300s。然后冷却溶液至室温,分别将浓度都是3%(v/v)的玫瑰草精油和大茴香精油加入前述溶液中。然后将β-环糊精与精油混合液在200r/min的磁力搅拌器中搅拌2h,然后在23℃下将前述混合液离心操作1h,最终得到250g离心浓缩物备用。将离心浓缩物置于60℃的干燥箱中干燥24h,得到封装有精油的β-环糊精复合物,其中封装玫瑰草精油复合物(ICp)中精油含量为63.7%;封装大茴香精油复合物(ICsa)中精油含量为70.7%。将两种封装精油复合物密封在玻璃杯中保存于冰箱中备用 [6]

2.1.2.3 体外抗菌试验

将25L、浓度为10 5 个/mL的青霉菌孢子悬浮液(P.expansum)滴在马铃薯葡萄糖琼脂培养基(PDA)上,将350mg的ICp或ICsa和含有青霉菌孢子悬浮液的培养基密封于玻璃罐中在23℃下培养5d。只包含PDA,PDA和P.expansum,以及PDA,P.expansum和β-CD的玻璃罐作对照组和空白组。每天用尺子在不打开罐子的情况下测定菌落的直径。所有试验均重复3次,结果以cm表示 [6]

青霉菌的活力是通过它的呼吸活动来确定的。每天使用SGE气密注射器(Supelco Analytical,California,U.S.A.)从每个玻璃罐中抽取50μL的顶空气体样本,将前述抽取的气体注入气相色谱仪中进行分析。每天使用仪器(DVB/CAR/PDMS SPME fiber,Bellefonte,California,U.S.A.)定量分析ICp和ICsa中进入玻璃罐顶空间的精油含量。

2.1.2.4 具有双层底结构的包装盒结构

图2-1为具有双层底结构的包装盒结构图,刚性的盒体尺寸为7cm×7cm×10cm,两层底之间的距离为2cm,上层底均布有0.06mm的孔若干,PET易撕盖膜的厚度为50μm。根据前述体外抗菌试验的结果,下层放置的药品质量分别为1g的β-CD,1g的ICp和1g的ICsa。

图2-1 双层底包装盒 [6]

A—下层底;B—上层底;C—盒体;D—易撕盖膜

注:所有材料都是PET聚酯

2.1.2.5 苹果抗菌试验

在苹果周身中间处用针扎出两个伤口,将其沉入青霉菌悬浮液(10 4 个/mL)中2min,然后立即将苹果放置在上述包装盒中,将易撕盖膜热封。其中:包装盒中未放置抗菌剂样品+苹果未接菌的记为Non-inoculated;包装盒中未放置抗菌剂样品+苹果接菌的记为Inoculated;包装盒中放置β-CD+苹果接菌的记为Inoculated+β-CD;包装盒中放置ICp+苹果接菌的记为Inoculated+ICp;包装盒中放置ICsa+苹果接菌的记为Inoculated+ICsa。最后,将各处理组包装盒在23℃下避光保存12d。每个取样日,每个处理样品随机选取3个重复进行分析。

病变生长速度(LGR)测试通过用尺子每隔4d测量每个苹果周身上的两个伤口直径的变化,结果用cm/day表示。第12天试验结束时,用出现青霉菌病症损伤的总次数除以果实的损伤总次数,计算发病率,结果用百分数表示。

2.1.2.6 苹果参数测试

本试验所有测试项目参照文献 [6] 的描述,项目包括失重率测试,单位为%;硬度测试,单位为N/mm 2 ;pH值测试;可溶性固形物含量测试,单位为°Brix%。

2.1.3 结果与分析

2.1.3.1 ICp和ICsa对青霉菌的体外抗菌活性分析

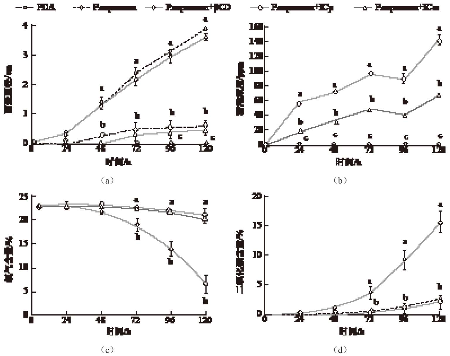
从图2-2(a)和图2-2(b)中可以看出,24h内封装玫瑰草精油的复合物在玻璃罐中释放了大约57ppm浓度的精油分子,完全可以抑制青霉菌的生长,120h时精油释放的浓度达到了140ppm,和未添加精油的对照组相比,微生物的生长减少了90%。基于以上试验结果,玫瑰草精油对青霉菌的抗菌能力相比大茴香精油更强,因为要达到同样的抗菌效果下,大茴香精油的浓度需要达到1000ppm [7]

图2-2 玫瑰草精油和大茴香精油在室温下体外抗菌效果 [6]

(a)青霉菌斑的直径;(b)释放的精油浓度;(c)青霉菌呼吸产生的氧气含量;(d)青霉菌呼吸产生的二氧化碳含量各曲线上不同的小写字母表示不同处理间的差异显著性(P≤0.05)

48h时封装大茴香精油的复合物对青霉菌生长的抑制比封装玫瑰草精油的复合物抑制效果更好。在72~120h,抑制微生物生长数值相同的情况下,玻璃罐中精油的释放浓度少了一半。120h后,大约70ppm的大茴香精油就可以将微生物的生长繁殖减少90%。据报道,80~90ppm大茴香精油可以减缓番茄链孢霉菌、小麦镰刀菌和番茄根核菌菌丝的生长 [8] 。这说明相比上述微生物,大茴香精油对青霉菌具有更强的抑制效果。这可能是由于青霉菌的细胞壁和细胞质膜等结构对大茴香精油化合物的亲和力高于其他微生物。这些结果还表明,β-环糊精本身并不能抑制青霉菌的体外生长,因为在含有β-环糊精的玻璃罐中青霉菌的生长速度与空瓶子中是相同的。玫瑰草精油和大茴香精油的抑菌能力可能与它们的主要成分香叶醇和反式-乙基醇有关,因为这两种成分都有很强的抑菌活性 [9,10]

从图2-2(c)和图2-2(d)可以看出,含有封装精油复合物的玻璃罐中菌落呼吸产生的氧气和二氧化碳含量在整个观察期内的变化少于2%。而β-环糊精组玻璃罐中氧气含量减少了大概16%,二氧化碳含量增加了大概15%。表明两种精油对于青霉菌的生长有明显的抑制作用,降低了青霉菌的呼吸作用。同时,在封装精油的玻璃罐中,菌落的颜色一直保持白色,而β-环糊精玻璃罐中菌落的颜色则呈现出绿色。基于上述结果,选择ICp或ICsa的数量以实现包装顶空精油的目标数量。由于ICsa在控制青霉菌方面的效果是ICp的两倍,故ICsa的用量是ICp的一半。

2.1.3.2 具有双层底的包装盒抗菌活性分析

从图2-3(a)和图2-3(b)可以看出,12天储存期后,在装有ICp和ICsa的包装盒中的苹果,其病变生长速度为0.09cm/d,病变直径为1.08cm。而对照组包装盒中的苹果,其病变生长速度为0.23cm/d,病变直径为2.88cm。因此,室温条件下两种抗菌包装盒能在两周内抑制苹果上青霉菌的生长。从图2-3(c)可以看出,从第4天开始,包装盒内开始有精油分子从包封复合物中散出来,这是由于开始的几天内环境的pH值不够理想导致的 [2] 。在第12天,包装盒中玫瑰草精油的浓度是2.1ppm,大茴香精油的浓度是33.7ppm。这些数值低于图2-2(b)中体外试验的数据,这主要归因于易撕盖膜的渗漏、苹果本身或微生物吸收了部分精油分子导致的。有报道表明,炭疽菌对肉桂醛有吸收和代谢能力,从而降低其抑菌活性 [11] 。包装草莓中的2-壬酮含量增加,就是由于草莓对抗菌剂的吸收引起的 [12] 。从图2-3(d)可以看出,保存在装有精油抗菌剂包装盒中的苹果呼吸产生的乙烯浓度低于未装精油抗菌剂包装盒的苹果呼吸产生的乙烯。装有玫瑰草精油复合物的包装盒和装有β-环糊精的包装盒中的乙烯浓度是装有大茴香精油复合物包装盒的2倍,是对照组含量的4倍。装大茴香精油复合物的包装盒中乙烯含量低的原因可能是大茴香精油中的某些化合物具有与乙烯受体结合的能力 [13]

2.1.3.3 包装盒中氧气含量和二氧化碳含量分析

从图2-4(a)可以看出,12天时各包装盒中氧气的含量值为0.8%~2.9%,差异不显著。从图2-4(b)可以看出,β-环糊精组包装盒和空白组包装盒中接菌苹果呼吸产生的二氧化碳含量约为14%,差不多是大茴香精油包装盒中二氧化碳含量的两倍。乙烯能提高苹果的呼吸速率,产生更多的二氧化碳,而且青霉菌的呼吸也会提高二氧化碳含量。

2.1.3.4 苹果理化参数分析

从图2-5(a)可以看出,在未放置精油抗菌剂的包装盒中,接菌苹果的失重率在13%~18%,未接菌苹果的失重率在1%~3%。在装有精油抗菌剂包装盒中的苹果的失重率下降了,装有两种精油包装盒中的苹果失重率为7%~9%,而β-环糊精包装盒中苹果失重率为16%。两种精油包装盒中的数据差异不显著。从图2-5(b)可以看出,未接菌苹果的硬度是0.53N/mm 2 ,整个12天储存期内基本维持不变。而所有接菌苹果的硬度均下降,呈现出不同程度的变软,其中β-环糊精包装盒中的苹果硬度在第4天是0.35N/mm 2 ,第12天是0N/mm 2 。装有两种精油的包装盒中苹果硬度在第4天是0.53N/mm 2 ,第12天分别是0.19N/mm 2 和0.23N/mm 2 。分析结果表明,苹果伤口病变直径大的硬度更软,由于青霉菌在苹果上繁殖分泌的酸和酶,降解了苹果的营养底物,导致了苹果组织变软 [14] 。从图2-5(c)可以看出,未接菌苹果的可滴定酸含量从0.33%降到了0.28%,而在各组接菌的苹果中,第12天时,大茴香精油包装盒中苹果的可滴定酸含量升高到0.34%,其他处理组苹果的可滴定酸含量均升高很多,空白组包装盒中苹果的可滴定酸含量为0.48%,玫瑰草精油包装盒中可滴定酸含量为0.39%。由此表明大茴香精油能延缓苹果的后熟。从图2-5(d)可以看出,在整个储存期内,大茴香精油包装盒中接菌苹果的pH值在3.73~3.83,而空白盒中接菌苹果的pH值最大为3.23,玫瑰草精油包装盒中接菌苹果的pH值最大为3.57。

图2-3 包装盒中玫瑰草精油和大茴香精油在室温下的抗菌活性 [6]

(a)病变生长速度;(b)病变直径;(c)包装盒中精油的释放浓度;(d)苹果呼吸产生的乙烯浓度

注:各图上不同的小写字母表示不同处理间的差异显著性(P≤0.05)

图2-4 各包装盒中氧气和二氧化碳含量 [6]

(a)氧气含量;(b)二氧化碳含量

注:柱状图上不同的小写字母表示不同处理间的差异显著性(P≤0.05)

图2-5 各包装盒中苹果的理化参数 [6]

(a)失重率;(b)硬度;(c)可滴定酸含量;(d)pH值

注:各柱状图上不同的小写字母表示不同处理间的差异显著性(P≤0.05)

从表2-1可以看出,β-环糊精包装盒或空白包装盒中的接菌苹果的可溶性固形物含量从第4天开始升高,而玫瑰草精油包装盒中的接菌苹果的可溶性固形物含量直到第12天才开始明显升高,大茴香精油包装盒中的接菌苹果的可溶性固形物含量在整个储存期内没有明显的变化。比较某一具体的观察天,不同包装盒内接菌苹果的可溶性固形物含量最高的是β-环糊精包装盒或空白包装盒,另外,含有两种精油的包装盒内接菌苹果的可溶性固形物含量差异不显著。原因可能是失水率越大,苹果中的可溶性固形物浓度越大。与对照组相比,除含精油包装盒减缓了接菌苹果的重量损失和后熟外,被抑制的青霉菌繁殖也降低了酶反应活性,减少了糖的分解作用,这有助于保持苹果的可溶性固形物含量。

表2-1 各包装盒中苹果可溶性固形物含量 [6]

注:表中不同的小写字母表示整个贮藏期内某一处理组内数据的差异显著性(P≤0.05),不同的大写字母表示某一天时不同处理组间数据的差异显著性(P≤0.05)

2.1.4 小结

具有双层底结构的包装盒中放入封装玫瑰草精油或大茴香精油抗菌剂,是一种新型高效的抗菌包装形式,有利于抑制苹果青霉菌的繁殖。体外试验结果表明这种包装形式中的两种精油成分完全能够抑制青霉菌对苹果的影响。对比开发的两种抗菌包装盒,含大茴香精油的双层底包装盒在降低苹果乙烯产量、呼吸速率、软化速率、可滴定酸增加、pH值降低方面优于含玫瑰草精油的双层底包装盒。 mxvLzTenIwI+OtkZGf0PFbWlGuWkRm6yBLldlI39auonfKOvzcE2wqeqVzeNKDqY

点击中间区域
呼出菜单
上一章
目录
下一章
×