购买
下载掌阅APP,畅读海量书库
立即打开
畅读海量书库
扫码下载掌阅APP

4.1 MAP结合精油保鲜杧果

4.1.1 引言

改善气调包装(MAP)是近年来广泛使用的一种用于延长新鲜水果和蔬菜货架期的保鲜技术。MAP系统是利用包装内部的气体(CO 2 浓度增加和O 2 浓度减少)和包装材料的透气性之间的结合来保鲜农产品。MAP技术可以延缓果实成熟过程中的生理生化过程和衰老、减少病害发生和乙烯的产生,一段时间内有助于保持果实的品质、新鲜度和微生物的安全性 [1,2] 。MAP已被用于控制几种食品中的细菌数量,特别是即食的新鲜农产品,因为包装中气氛成分的变化可能导致水果和蔬菜呼吸作用的减慢,从而延长它们的货架期。此前,一些研究人员已经报道了MAP用于保鲜石榴、香蕉、鳄梨和杧果等,文献 [3] 利用MAP(5%CO 2 和10%O 2 )结合微孔聚乙烯膜包装杧果,先贮藏在12℃下3周,然后贮藏在20℃下1周,结果表明该方法能有效降低杧果的冷害损伤。

杧果是重要的热带水果作物之一,有100多个不同的品种。全球有90个国家种植杧果,在世界水果作物总产量中排名第五。杧果营养丰富,香味诱人,味道宜人。富含类胡萝卜素、维生素C、有机酸、碳水化合物和矿物质。然而,采后杧果对一些致病菌是高度敏感的,容易染病腐烂。采后贮藏和运输过程中的腐败被认为是造成杧果采后损失的主要因素,给整个供应链将造成重大的经济损失 [4]

多菌灵是一种全效杀菌剂,广泛应用于杧果等水果和蔬菜的采后病害管理,可通过采前喷雾、采后喷雾或浸泡热杀菌液等方式施用。多菌灵的推荐浓度是0.05%。目前,多菌灵在欧盟被视为有害物质,在美国和澳大利亚已被禁止使用。然而,在一些发展中国家,如印度、中国和巴西,它仍然被广泛使用。这促使人们寻找多菌灵的替代品去控制杧果采后病害 [4]

植物精油(EOs)是一类具有生物活性的化合物,具有安全、易挥发、消费者接受度高、生物可降解、环境友好等特点。这使得EOs成为化学合成杀菌剂的替代品。最近,许多研究人员报道了EOs挥发物在水果和蔬菜采后贮藏过程中可以有效地抑制微生物的腐败 [5,6] 。气相EOs施用浓度低,比液相EOs效率高,而且气相EOs不会改变食物的营养、功能和感官特性。已有很多文献研究了从百里香、肉桂、丁香、薄荷、香茅和柠檬草中提取的精油对采后病原菌的抑菌活性 [7,8]

MAP结合气相EOs天然抗菌剂是一项很有前途的新兴包装技术,主要通过抑制病原微生物的生长来提供高质量、安全的包装食品并延长其货架期。MAP可以保持产品的货架质量,减少食品损失。但是MAP在减少损失方面的益处并没有得到很好的量化,特别是在采后供应链的实践方面。文献 [9] 开发了一种用于延长包装沙拉货架期的复合包装膜材料,该材料为乙烯—乙烯醇共聚物/聚丙烯/牛至EOs或乙烯—乙烯醇共聚物/聚丙烯/柠檬醛。文献 [10] 研究了MAP结合丁香EOs/苄索氯铵复合物对鲜切小白菜的保鲜效果,结果表明,该技术可以降低微生物病害,提高食品安全性,延长鲜切小白菜的货架期。

许多研究人员已经报道了EOs和MAP联合应用的优势,通过最大限度地减少微生物腐烂的发生率,来保持贮藏食品的安全性和质量。但目前对MAP和EOs联合应用对水果的影响的研究较少,目前尚无MAP和EOs联合应用对杧果保鲜效果的报道。此外,对于以气相形式存在的EOs通过抑制腐败和延缓成熟过程来提高食品的货架期的影响,目前的研究还很有限。因此,MAP+EOs在水果保鲜中的联合应用还需要进一步研究,这为本试验提供了理论依据。本试验探讨了气相EOs联合MAP对杧果采后病害防治的作用、抗氧化酶活性的变化及其理化和感官属性的变化。

在此之前,作者曾研究了5种不同的EOs在体外和杧果果实上对杧果病原体的拮抗作用 [11] 。以抗真菌活性为基础,选择百里香、丁香和肉桂三种精油做进一步研究。因此,本试验在20℃贮藏温度下,对两个杧果品种(cv.Banganapalli和cv.Totapuri)采后贮藏期间的果实品质进行了检测。旨在评估EOs联合MAP对杧果的综合影响,包括病变发生率;质量参数(失重率、硬度、表皮颜色和感官属性);生物活性化合物(总酚含量和黄酮含量);DPPH自由基的清除率;抗氧化酶活性(POD、SOD、CAT)。

4.1.2 材料和方法

4.1.2.1 材料

百里香精油、丁香精油和肉桂精油购于(Cyrus Enterprises,Chennai,Tamil Nadu,India)公司,在4℃下保存待用。所有的生化分析试剂购于[Sisco Research Laboratories Pvt Ltd.(SRL),Mumbai,India]公司。多菌灵购于(Sulphur mills Ltd.,Mumbai,India.)公司。

4.1.2.2 方法

新鲜的杧果(cv.Banganapalli和cv.Totapuri)购于当地农场,挑选果实颜色和大小一致,无真菌感染和物理损伤的杧果用于试验。先用次氯酸钠(1%)洗涤1min,蒸馏水冲洗,风干。

杧果分成6组,分别是:

第1组是未包装组,记为Non-packed。

第2组是MAP联合定向聚丙烯膜组,记为MAP+CARB:杧果用0.05%多菌灵浸泡5min,定向聚丙烯膜的尺寸为60cm×18cm,孔隙率为0.00313%,氧气透过率为20mL m -2 d -1 atm -1 ,二氧化碳的透过率为10000mL m -2 d -1 atm -1 。MAP初始气体浓度为5%CO 2 +10%O 2

第3组是只使用MAP技术,MAP初始气体浓度为5%CO 2 +10%O 2 ,不含EOs和多菌灵,记为MAP alone组。

第4组是MAP联合含有百里香精油的滤纸条组,MAP初始气体浓度为5%CO 2 +10%O 2 ,记为MAP+TO。

第5组是MAP联合含有丁香精油的滤纸条组,MAP初始气体浓度为5%CO 2 +10%O 2 ,记为MAP+CLO。

第6组是MAP联合含有肉桂精油的滤纸条组,MAP初始气体浓度为5%CO 2 +10%O 2 ,记为MAP+CIN。

其中,第4~6组中的无菌滤纸条尺寸为4cm×4cm,浸泡的精油浓度分别为TO(75μL)、丁香精油(106μL)、肉桂精油(106μL)。精油的浓度是基于本试验作者之前的研究成果 [6] 。将各组杧果贮藏在20℃、80%~85%相对湿度下25天。

4.1.2.3 包装顶空气体分析

使用型号为PBI danssensor CO 2 /O 2 气体分析仪(Checkmate 9900,Denmark)分析贮藏期间包装内的CO 2 和O 2 浓度,单位为%。将一块具有自黏性的小硅胶隔膜贴在包装膜上,探针穿过隔膜进入包装内抽取气体样本,然后注入分析仪中进行分析。

4.1.2.4 杧果质量参数测试

本试验所有测试项目参照文献 [4] 的描述,包括杧果的炭疽病发病率测试,单位为%;感染炭蛆病严重程度分析,严重程度在1%~10%,得1分;严重程度在11%~25%,得2分;严重程度在26%~50%,得3分;严重程度在51%~75%,得4分;严重程度在75%~100%,得5分。失重率测试,单位为%;可溶性固形物含量(TSS)测试,单位为%;可滴定酸含量(TA)测试,单位为%;抗坏血酸(AC)测试,单位为mg/100g;硬度测试,单位为N;颜色参数测试,包括色相角ho和色度值C;感官评定;总酚含量测试,单位为mg GAE/g;黄酮含量测试,单位为mg CE/g;DPPH自由基清除率测试,单位为%;过氧化物歧化酶(SOD)活性测试,单位为U/mg protein;过氧化氢酶(CAT)活性测试,单位为U/mg protein;过氧化物酶(POD)活性测试,单位为U/mg protein。

4.1.3 结论和讨论

4.1.3.1 包装顶空气体成分分析

从表4-1和表4-2可以看出,在整个贮藏期间,所有处理组中,杧果(cv.Banganapalli和cv.Totapuri)包装内的CO 2 浓度均有明显的升高,而O 2 浓度则有明显的下降。CO 2 的积累和O 2 的消耗与杧果果实成熟过程中的呼吸作用有关 [12] 。MAP+EOs组和MAP+CARB组杧果的呼吸速率均低于MAP alone组杧果的呼吸速率。第25天时,MAP+TO组杧果(cv.Banganapalli)的CO 2 和O 2 浓度分别为7.62%和5.45%。而MAP+TO组杧果(cv.Totapuri)20天时的CO 2 和O 2 浓度为分别为9.26%和3.28%。MAP+CARB组杧果(cv.Banganapalli)的CO 2 和O 2 浓度分别为7.34%和5.98%。气相EOs分子干扰了杧果的代谢模式,改变了其呼吸活动,EOs对不同杧果品种的作用方式不同。在不同的采后处理组中,包装中的气体浓度有轻微的变化。MAP+TO可以保持杧果的整体品质,而且包装内CO 2 的浓度不超过10%。MAP alone组包装内CO 2 的浓度超过10%,与其他处理组相比,MAP alone组杧果成熟得更快,这也会导致MAP alone组的杧果比MAP+EOs组的杧果更容易腐烂。

表4-1 贮藏期间各处理组杧果(cv.Banganapalli)包装内的气体成分 [4]

续表

注:结果用平均值±标准差表示,同一列数字上的不同小写字母表示基于Tukey测试的差异显著性(P<0.05)

表4-2 贮藏期间各处理组杧果(cv.Totapuri)包装内的气体成分 [4]

注:结果用平均值±标准差表示,同一列数字上的不同小写字母表示基于Tukey测试的差异显著性(P<0.05)

4.1.3.2 炭蛆病发病率分析

从图4-1、表4-1和表4-2可以看出,MAP+EOs和MAP alone组杧果的炭疽病发病率均显著低于未包装组杧果。EOs的抗真菌性能与精油的成分和水果的品种有关。未包装组杧果(cv.Totapuri)的货架期最长可达9天,而未包装组杧果(cv.Banganapalli)的货架期为10±1天。贮藏10天后,未包装组杧果表现出明显的炭疽病症状,而MAP alone和MAP+EOs处理组的杧果,肉眼观察均未发现炭疽病发病和腐烂症状。MAP alone组中,两种品种的杧果均在贮藏15±2天后开始发病。cv.Banganapalli种杧果的发病率和严重程度低于cv.Totapuri种杧果,而未包装组杧果的严酷度评分得分更高。MAP alone组杧果比未包装组杧果具有更长的货架期,这可能是因为MAP包装中存在较高的CO 2 浓度,通过阻止叶绿素降解可以延缓杧果果实的成熟。贮藏期内,MAP+TO组和MAP+CARB组杧果(cv.Banganapalli和cv.Totapuri)的病变率显著低于其他处理组和未包装组杧果。结果表明,MAP+TO处理能有效地保持两个杧果品种的品质。

图4-1 贮藏期间MAP+TO组和MAP alone组杧果(cv.Banganapalli和cv.Totapuri)的照片 [4] (后附彩图)

图4-2 各处理组杧果(cv.Banganapalli和cv.Totapuri)在贮藏期间的炭疽病发病率 [4]

图4-3 贮藏期间各处理组杧果(cv.Banganapalli和cv.Totapuri)的病变严酷度得分 [4]

MAP+TO和MAP+CIN两个处理组中,两个杧果品种的炭疽病发病率均降低了75%~80%。MAP+CIN和MAP+CLO处理能减少杧果的病原菌腐烂率。不同处理对杧果炭疽病发病的抑制力依次为:MAP+TO>MAP+CARB>MAP+CIN>MAP+CLO>M AP alone>Non-packed。两个杧果品种中,MAP+EOs比MAP alone更有效地降低了炭疽病的发病率,可能是由于气相EOs的作用。本试验结果表明,适宜的百里香精油浓度为66.7μL/L、肉桂精油的浓度为106μL/L、丁香精油的浓度为106μL/L。

4.1.3.3 失重率分析

从图4-4可以看出,在贮藏的最后一天,未包装组cv.Banganapalli种杧果的失重率为8.16%,而cv.Totapuri种杧果的失重率为11.36%,均高于MAP alone组cv.Banganapalli杧果的7.05%和cv.Totapuri杧果的8.56%。与MAP alone组和未包装组相比,MAP+EOs组杧果的失重率更少。EOs与杧果表皮间的疏水性和相容性可能会导致表皮气孔关闭,从而防止杧果水分流失。总体来看,cv.Totapuri种杧果的失重率明显高于cv.Banganapalli种杧果。

图4-4 贮藏期间各处理组杧果(cv.Banganapalli和cv.Totapuri)的失重率变化 [4]

4.1.3.4 硬度分析

从图4-5可以看出,所有处理组杧果的硬度在贮藏期间均发生显著变化,其中未包装组杧果和MAP alone组杧果的硬度降幅最大。MAP+TO和MAP+CARB组杧果的硬度优于MAP+CLO和MAP+CIN组。MAP+EOs处理对延缓杧果软化、保持杧果硬度的效果最好。与其他处理组相比,采后腐烂是MAP alone组和未包装组杧果硬度损失的主要原因。

图4-5 贮藏期间各处理组杧果(cv.Banganapalli和cv.Totapuri)的硬度变化 [4]

4.1.3.5 理化参数分析

从表4-3可以看出,贮藏期间,两种品种杧果的TSS显著增加,表明杧果的成熟过程持续进行。由于水果体内复杂的代谢过程和多种碳水化合物可分解为水溶性糖,都会增加水果的TSS [13] 。与其他处理组相比,未包装组杧果在贮藏末期的TSS值最大。贮藏期间杧果的TA值持续下降,未包装组杧果(cv.Banganapalli和cv.Totapuri)的TA值分别从2.18%和2.34%降至0.46%和0.45%。结果表明,杧果的酸度值随贮藏时间的延长而降低,这可能是由于在贮藏过程中杧果的呼吸作用以及细胞利用有机酸作为贮藏能量的来源引起的。文献 [14] 研究表明,在改善气调包装下贮藏的杧果的TA值也表现出类似的持续下降的结果。本试验结果表明,在贮藏末期,相比于MAP alone组,MAP+EOs组杧果的TSS含量更高,TA值更低。在MAP贮藏过程中,抗坏血酸(AC)的损失增加,这可能与杧果的成熟过程有关。贮藏初始时杧果(cv.Banganapalli和cv.Totapuri)的AC值分别为13.75mg/100g和18.92mg/100。而贮藏末期,MAP alone组杧果的AC含量显著下降,数值分别为9.80mg/100g(cv.Banganapalli)和11.15mg/100g(cv.Totapuri)。未包装组杧果的AC值分别为10.54mg/100g(cv.Banganapalli)和12.73mg/100g(cv.Totapuri)。MAP+EOs处理可以延迟杧果的成熟过程,也可以减慢杧果中AC的分解。

表4-3 贮藏期间各处理组杧果(cv.Banganapalli和cv.Totapuri)的理化参数 [4]

注:结果用平均值±标准差表示,同一列数字上的不同小写字母表示基于Tukey测试的差异显著性(P<0.05)

4.1.3.6 颜色分析

从表4-4可以看出,未包装组杧果(cv.Banganapalli和cv.Totapuri)的L*值(颜色亮度)显著低于其他处理组,表明果皮发生了由炭疽病和腐烂引起的褐变和病变。MAP+EOs组杧果a*值较MAP alone组和未包装组的杧果变化慢。相比于未包装组杧果,各处理组杧果的ho值变化显著。色相角表示的是人们感知的颜色,色相角0ᵒ表示红色,60ᵒ表示黄色,120ᵒ表示绿色。MAP+TO组杧果显示出较高的ho值,表明杧果果皮颜色在光谱的黄绿范围内,色差C值表示杧果颜色的鲜亮程度。本试验中,MAP+TO处理延迟了杧果的成熟过程,使杧果保持持久的绿色。所有处理组杧果的a*值在整个贮藏期间均呈下降趋势。在保持绿色方面,MAP+EOs组杧果比未包装组和MAP alone组杧果呈现出更好的绿色。b*值代表黄度,各处理组杧果的b*值呈上升趋势,cv.Banganapalli种杧果从13.3上升到39.97,cv.Totapuri中杧果从17.44上升到41.72。贮藏期间,杧果的软化和成熟对杧果的生长发育有一定的影响。由于果皮中的叶绿素减少或损失,杧果果皮的绿色在成熟过程中逐渐变成黄色,这可能跟类胡萝卜素的增加有关 [15,16]

表4-4 贮藏期间各处理组杧果(cv.Banganapalli和cv.Totapuri)的颜色参数 [4]

续表

注:结果用平均值±标准差表示,同一列数字上的不同小写字母表示基于Tukey测试的差异显著性(P<0.05)

4.1.3.7 感官评定分析

从图4-6可以看出,贮藏期结束时,对两种杧果在颜色、口感、风味、质地、外观和总体可接受度方面进行评定,感官分析显示,各处理组杧果(cv.Banganapalli和cv.Totapuri)的总体可接受度得分没有很大的差异。在颜色方面,处理组杧果的评分分值变化很小,这表明MAP+EOs没有改变或破坏杧果的颜色。在风味方面,MAP alone组和MAP+EOs组得分差异不大,MAP+EOs组杧果的风味评分均高于5分。尽管评定小组成员的结论显示,MAP+TO组和MAP+CARB组杧果的口感得分相当,但MAP+TO组杧果的表面颜色和总体可接受度更好。而且,打开包装后,MAP+TO组杧果也没有不愉快的味道。

图4-6 贮藏期间各处理组杧果(cv.Banganapalli和cv.Totapuri)的感官评分 [4]

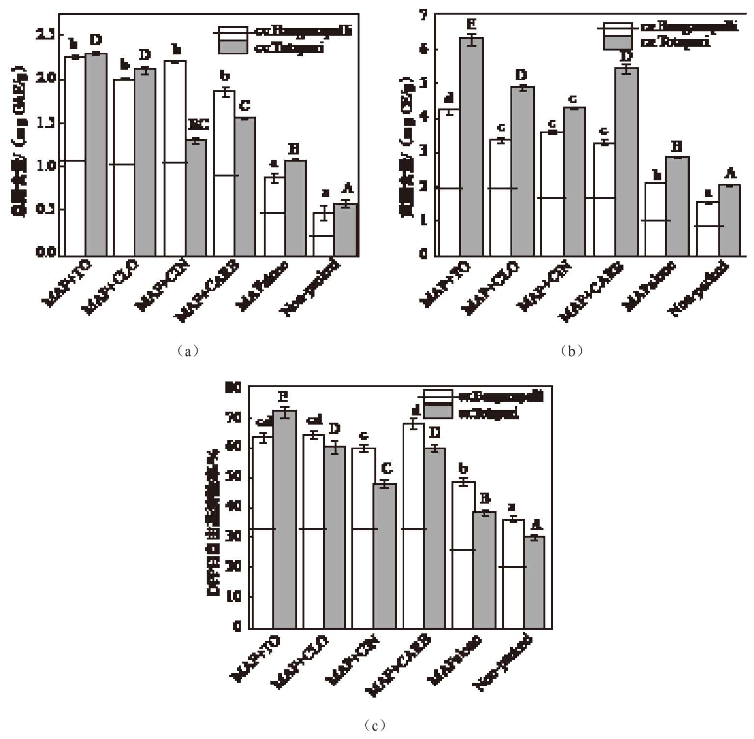
4.1.3.8 总酚含量、黄酮含量和DPPH自由基清除率分析

从图4-7可以看出,MAP+TO组杧果的总酚含量和黄酮含量均显著高于MAP+CARB组、MAP alone组和未包装组,不同品种间总酚含量变化幅度基本一致,但cv.Totapuri种杧果的黄酮含量高于cv.Banganapalli种杧果。MAP+TO组杧果的总酚含量和黄酮含量越高,表明MAP+TO处理越有助于保留杧果总的活性物质。MAP+TO组杧果的DPPH自由基清除率显著高于其他组,这可能是由于杧果的抗氧化活性很大程度上来自于自身的酚类化合物,精油成分也增强了杧果的抗氧化能力,也提高了果实组织对病原菌的抵抗力 [17]

图4-7 贮藏期间各处理组杧果(cv.Banganapalli和cv.Totapuri)的总酚含量、黄酮含量和DPPH自由基清除率 [4]

4.1.3.9 SOD、CAT和POD活性分析

从图4-8可以看出,MAP+TO组杧果抗氧化酶的活性最高,未处理组杧果抗氧化酶的活性最低。EOs处理操作均显著提高了杧果的抗氧化酶活性。MAP+CARB组杧果(cv.Banganapalli)的SOD活性最高,MAP+TO组杧果(cv.Totapuri)的SOD活性最高。作者前期研究表明,使用浓度为66.7μL/L的气相TO处理后,杧果(cv.Banganapalli和cv.Totapuri)中的POD、SOD、CAT等抗氧化酶活性显著增强,有助于保持果实中酚类物质的含量。

图4-8 贮藏期间各处理组杧果(cv.Banganapalli和cv.Totapuri)的抗氧化酶活性

(a)SOD;(b)CAT;(c)POD [4]

MAP+TO组杧果的POD活性最高,MAP+CARB组次之。在CAT活性方面,MAP+TO组杧果(cv.Banganapalli)和MAP+CARB组杧果(cv.Banganapalli)基本一致。而MAP+CARB组杧果(cv.Totapuri)略高于MAP+TO组杧果(cv.Totapuri)。EOs处理的杧果果实对DPPH自由基的清除率显著高于未包装组和MAP alone组杧果。MAP+EOs组杧果比未包装组和MAP alone组杧果具有更高的抗氧化酶(SOD、POD和CAT)活性。众所周知,水果清除自由基的活性与抗氧化酶活性或总酚类和黄酮类化合物含量有关。EOs可能刺激了抗氧化机制或次级代谢产物,从而增强了抗氧化能力。由此可见,EOs对杧果抗氧化酶活性有一定的促进作用 [18]

4.1.4 结论

本试验表明,气相EOs的使用能有效降低杧果采后病害的发生,显著提高杧果采后品质。经气相EOs处理的杧果的整体品质高于单独使用MAP处理组和未包装组。在20℃贮藏期间,总体感官评分保持在可接受的范围内的MAP+TO处理操作,可使杧果(cv.Banganapalli)的无霉变贮藏期延长至26±2天,杧果(cv.Totapuri)的无霉变贮藏期延长至23±2天,可见MAP+TO处理对杧果的保鲜效果因品种而异。MAP+CIN和MAP+CLO处理对延缓杧果采后腐烂和延长货架期也有显著作用。MAP+CIN处理组杧果的货架期分别为22±2天(cv.Banganapalli)和19±1天(cv.Totapuri)。MAP+CLO处理组杧果的货架期分别为21±2天(cv.Banganapalli)和20±1天(cv.Totapuri)。综上所述,MAP+EOs作为一种新型的天然杀菌剂,可以用于延长杧果的货架期和维持其采后品质。 mxvLzTenIwI+OtkZGf0PFbWlGuWkRm6yBLldlI39auonfKOvzcE2wqeqVzeNKDqY

点击中间区域
呼出菜单
上一章
目录
下一章
×