购买
下载掌阅APP,畅读海量书库
立即打开
畅读海量书库
扫码下载掌阅APP

3.1 聚乙烯醇/茶多酚复合膜保鲜草莓

3.1.1 引言

草莓因其独特的香气、多汁的质地、高营养价值和高含量的生物活性化合物而受到人们的喜爱。草莓也很容易腐烂,保质期有限。草莓因为果皮薄容易受到机械损伤和微生物感染,感染可以通过使用喷雾杀菌剂来控制,但是残留在草莓上的残留物和喷雾杀菌剂的环境问题限制了它们的使用 [1] 。由于最近的资源限制以及围绕传统塑料使用中出现的环境和食品安全问题,可再生、可回收、可生物降解的生物基包装材料已成为研究的焦点。与可食用膜相比,生物基包装材料具有更低的水蒸气渗透率和更低的人类过敏风险 [2]

聚乙烯醇(PVA)是一种无毒、生物相容、可生物降解、水溶性的聚合物。由于其与许多生物聚合物的相容性和优良的成膜性能,聚乙烯醇广泛应用于纺织工业、生物医学行业和包装工业 [3]

为了应对微生物和氧化变质对食品质量的影响,抗氧剂和抗菌物质也被加入包装材料中。茶多酚(TP)是一种直接从茶树中提取的工业产品,是一种具有生物相容性和可生物降解性的天然聚合物 [4] 。TP具有低成本、无毒和抗氧化的功能,作为天然防腐剂和抗氧化剂广泛用于食品、医药和医疗保健行业中。由于多酚具有捕获活性氧和螯合金属离子的能力,研究人员得出结论,在高分子材料中添加TP可以有效地提高薄膜的抗菌性和抗氧化性 [5,6]

PVA膜和TP膜用于食品包装和保鲜的研究已见报道,但据作者了解,PVA/TP复合膜在草莓保鲜领域的研究尚未见报道。本试验的目的是测试PVA/TP复合膜对草莓保质期延长的效果。制备了五种比例的PVA/TP复合膜包装草莓,在(25±2)℃和(74±5)%的相对湿度下贮藏5天。随后,作者根据草莓的失重率、腐烂率、硬度、pH值、可滴定酸含量和可溶性固形物含量来评估PVA/TP复合膜对草莓的保鲜效果。

3.1.2 材料和方法

3.1.2.1 材料

PVA(Mw=7.6kDa,Mw/Mn=1.32)购于深圳(Shenzhen Esun Industrial Co.,Ltd.)。TP(纯度为98%)为实验室自制,制备方法参照文献 [7] 。其他所有的试剂均为分析纯,购于成都(Chengdu Kelong Reagent Co., Ltd.)

3.1.2.2 复合膜的制备

在室温下将10g PVA加入90g去蒸馏水中润胀1h后,将上述混合物逐渐加热至90℃。然后称量TP粉末加入上述混合物中,得到体积比为10/0、9/1、8/2、7/3、6/4和5/5的5组PVA/TP混合液,加入甘油(4mL/100mL)做增塑剂。将上述混合物在800rpm下持续搅拌15min。最后,将所得混合物倒在平板上,在50℃下干燥48h,得到不同比例的PVA/TP复合膜。

3.1.2.3 草莓包装

草莓采自中国四川省成都市的当地农场,清晨采摘的草莓先经过预冷,温度为4℃,相对湿度为80%。然后进行初选,选取表面没有物理损伤和腐烂的、大小重量均匀、颜色和成熟度适中(3/4的表面显示红色)的草莓经冷藏运输到实验室。草莓被装入25cm×25cm的前述PVA/TP复合膜制成的袋子里,标签为PVA/TP-10/0、PVA/TP-9/1、PVA/TP-8/2、PVA/TP-7/3、PVA/TP-6/4和PVA/TP-5/5,未包装草莓作为对照组。每个包装袋中包含70个草莓,所有的草莓都贮藏在温度为(25±2)℃,相对湿度为(74±5)%的环境下。所有包装和未包装(对照组,记为Control)的草莓在贮藏期间每天进行评估。

3.1.2.4 草莓质量参数测试

本试验所有测试项目参照文献 [8] 的描述,包括失重率测试,单位为%;腐烂率测试,单位为%;硬度测试,单位为N;pH值测试;可滴定酸含量(TA)测试,单位为g citric acid/100g;可溶性固形物含量(TSS)测试,单位为°Brix%。

3.1.3 结果与分析

3.1.3.1 失重率分析

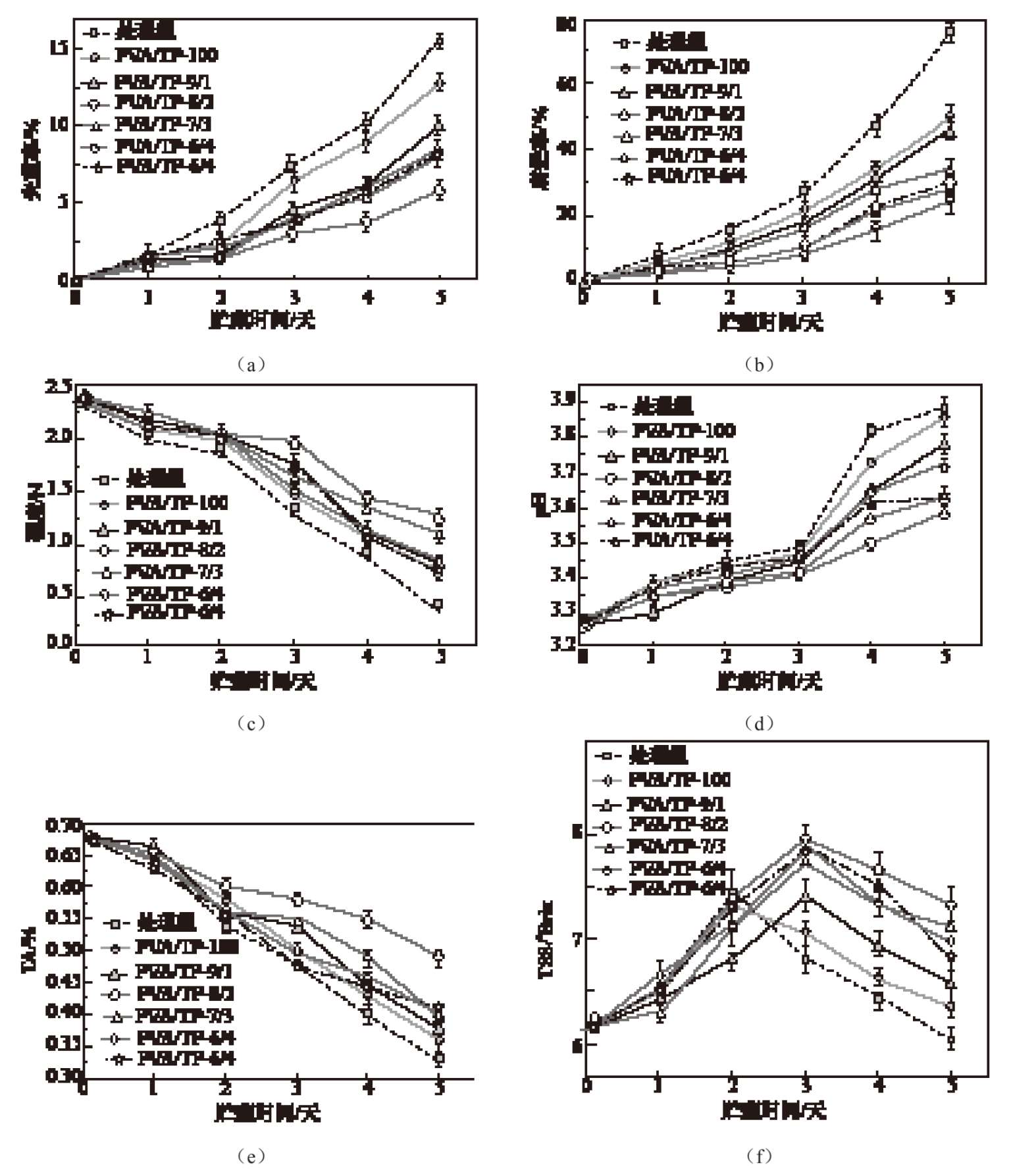
从图3-1(a)可以看出,所有包装中的草莓在贮藏第1天后的失重率均无统计学差异。贮藏2天后,未包装组(对照组)草莓的失重率明显高于其他包装组草莓。随着TP含量的增加,PVA/TP包装组草莓的失重率减小。PVA/TP-8/2组草莓的失重率为(3.03±0.47)%,明显低于PVA/TP-10/0组的(6.46±0.53)%。这可能是由于纯PVA膜的氧气透过性高于PVA/TP复合膜的氧气透过性导致的。此外,TP的抗菌性还可以抑制霉菌的损害,延缓草莓的病理性失水。贮藏5天后,PVA/TP-8/2组草莓的失重率是在所有PVA/TP复合膜中最低的。当继续增加复合膜中TP的含量,复合膜中过量的TP又会团聚影响复合膜的致密性和均匀性,进而导致复合膜的透湿率升高,加速霉菌的繁殖 [9]

图3-1 不同比例PVA/TP复合膜包装对草莓的影响

(a)失重率;(b)腐烂率;(c)硬度;(d)pH;(e)可滴定酸含量;(f)可溶性固形物含量 [8]

3.1.3.2 腐烂率分析

从图3-1(b)可以看出,在5天的贮藏期内,各组草莓的腐烂程度都有所增加。第5天,未包装组(对照组)草莓的腐烂率最高,为(76.02±3.22)%,而PVA/TP-8/2组草莓的腐烂率最低,为(24.25±3.05)%。从图3-2可以看出,未包装组(对照组)草莓上出现了霉变,而PVA/TP-10/0组草莓在贮藏3天后才出现霉变。贮藏5天后,一半以上的未包装组(对照组)草莓和PVA/TP-10/0组草莓的表面被霉菌感染。相比之下,PVA/TP复合膜包装的草莓,果实霉变率不足一半。用PVA/TP-8/2、PVA/TP-7/3和PVA/TP-6/4复合膜包装的草莓,只有不超过1/3的果实被霉菌浸染。按照文献 [10] 标准,即草莓被霉菌感染的面积超过自身表面积的1/3以上是不可接受的,本试验中包装在PVA/TP-8/2、PVA/TP-7/3和PVA/TP-6/4复合膜中的草莓仍然是可以接受的。与未包装组(对照组)或PVA/TP-10/0组草莓相比,PVA/TP组草莓的腐烂程度都降低了,这表明PVA/TP复合膜的抗菌性是由于TP的存在。此外,TP的抗氧化性可以清除草莓中的自由基,延长草莓的保质期 [11]

3.1.3.3 硬度分析

从图3-1(c)可以看出,贮藏期间,各组草莓的硬度均呈现下降的趋势,失重率越大,硬度越低。未包装组(对照组)草莓在第5天的硬度最低,为(0.42±0.09)N。PVA/TP 10/0组草莓的硬度在第3天急剧下降,在第5天仍然低于其他PVA/TP复合膜包装的草莓。在各组PVA/TP复合膜包装的草莓中,以PVA/TP-8/2组草莓的硬度值最高,为(1.25±0.08)N。

3.1.3.4 pH值分析

从图3-1(d)可以看出,贮藏期间,各组草莓的pH值均呈现上升的趋势。在5天的贮藏期内,未包装组(对照组)草莓的pH值从(3.27±0.03)升高到了(3.88±0.04),而PVA/TP-8/2组草莓的pH值从(3.27±0.03)升高到了(3.59±0.02)。贮藏3天后,未包装组(对照组)草莓的pH增长率为16.82%,PVA/TP-10/0组草莓的pH增长率为14.07%,明显高于其他PVA/TP复合膜组草莓的pH增长率(11.62%、9.17%、8.56%、11.31%和10.40%)。TP的抗菌性能降低了草莓的呼吸速率,PVA/TP复合膜对氧气的阻隔性能也降低了草莓自身营养底物的消耗速率。结果表明,PVA/TP复合膜组草莓的pH值低于未包装组(对照组)草莓的pH值。其中,PVA/TP-8/2组草莓在贮藏5天后的pH值的增幅最少。这可能是由于复合膜的阻隔性较好地保持了草莓的水分含量,减少失水会使草莓的pH值更稳定 [12]

3.1.3.5 可滴定酸含量分析

从图3-1(e)可以看出,在5天的贮藏期里,各组草莓的可滴定酸含量都降低了。未包装组(对照组)草莓的TA为52.17%,PVA/TP-10/0组草莓的TA为43.49%,相比较而言,PVA/TP复合膜包装组草莓的TA降低的速率较低,分别为43.47%、26.09%、40.58%、40.58%和39.13%。在各组PVA/TP复合膜中,PVA/TP-8/2组草莓在贮藏5天后仍然具有较高的可滴定酸含量。PVA/TP复合膜材料可以改变果实周围的气氛,减缓TA的降低 [13] 。此外,TP的抗菌特性可能会降低代谢过程中有机酸的消耗,有机酸的含量是导致水果衰老的主要原因 [14]

图3-2 贮藏期间各组草莓的腐烂照片 [8] (后附彩图)

3.1.3.6 可溶性固形物含量分析

从图3-1(f)可以看出,贮藏期间,各组草莓的TSS含量呈先增加后减少的趋势。草莓最初的代谢过程是将碳水化合物转化为糖和其他可溶性化合物,导致草莓中的可溶性固形物含量增加。接下来蔗糖水解,从而导致草莓中的可溶性固形物含量降低。所有包装中的TSS在贮藏第1天后均无统计学差异。包装中存在的高浓度的O 2 会加速草莓的成熟过程,导致TSS的增加 [9] 。贮藏2天后,与未包装组(对照组)草莓和PVA/TP-10/0组草莓的TSS相比,PVA/TP复合膜包装的草莓的TSS更高。PVA/TP复合膜的抗菌性和阻氧性能可以减缓果实中腐败细菌的生长和呼吸作用 [15] 。PVA/TP-8/2复合膜在5天的贮藏期内提供了最高的TSS。

3.1.4 结论

为了延长草莓的保质期,以草莓为原料,制备了PVA/TP复合抗菌膜。结果表明,TP的加入可以改善PVA材料的理化性能,并提高其抗菌性能。在温度为(25±2)℃、相对湿度为(74±5)%的条件下,PVA/TP复合膜具有显著延长草莓保质期的潜力,其中PVA/TP-8/2膜包装的草莓与未包装组(对照组)的草莓相比,腐烂率较低。 61WARvHARz1iLWjucGsmhw+CBJsI2XxQMug9v7r6qn9oCW73tUyuOrbysD8vgMvI

点击中间区域
呼出菜单
上一章
目录
下一章
×