



企业在确定经营战略(含市场营销战略)和经营目标后,接下来的重要工作就是依据经营目标制定经营决策和编制经营计划。
从管理学的观点看,决策就是人们为了达到一定目标,在掌握充分的信息和对有关情况进行深刻分析的基础上,用科学的方法拟定和评估各种方案,从中选出合理方案的过程。包装企业的经营决策是指包装企业为了实现一定的经营目标,对企业在内外环境进行分析和占有一定市场信息与经验的基础上,借助科学的手段和方法,通过定性判断和定量计算,对制定的若干行动方案选择一个合理方案并付诸实施的分析判断过程。
企业经营决策是一个提出、分析和解决问题的系统分析过程。企业对生产经营过程中的每一环节都需要做出科学的决策。经营决策具有五个基本要点。第一,决策必须有一个明确的目标。目标是决策的前提和基础,没有明确的目标,决策正确与否也就没有一个衡量标准。第二,必须有两个以上可供选择的行动方案。决策的过程就是确定目标和制定行动方案,并对各种行动方案进行分析、评价、选择的过程。第三,评价、选择方案的原则是“有限合理性”或“令人满意”的准则。合理和满意是指决策者对评价的指标先确定一个好的最低标准,超过这个标准并在总体上达到预期效果的,即为合理或满意。第四,决策要使未来的不确定性极小化。决策的问题是未来的,要使决策能正确地指导未来行动,就必须通过各种调查和预测方法,掌握事物发展的客观规律性,从而使未来的不确定性极小化。第五,决策的实践性。决策是为了指导行动,如果决策不能导致行动和实施就是多余的,是毫无价值的。
① 战略性决策。它是有关企业大政方针方面的决策,如决定企业的经营方针、经营目标,企业的联合改组、生产规模、产品更新换代等。
② 管理性决策。它是战略性决策的具体化,是属于执行战略决策过程中的战术性决策,是为了实现企业的经营目标在如何运用企业的人、财、物等方面所作出的决策,如制订生产计划和销售计划,资金的合理运用与调剂等。
③ 业务性决策。它是指在日常生产活动中为提高工作效率所做的决策,如生产任务的日常安排、定额的制定与修改、运输路线的决策等。
① 高层决策。高层决策解决的问题通常是全局性的以及与外界环境有密切联系的重大问题,是企业最高领导人所做的决策,具有战略性、长期性的特点。
② 中层决策。中层决策涉及的问题大多是属于安排一定时期的任务,或解决生产中存在的某些矛盾,是企业中层管理人员所做的决策。
③ 基层决策。基层决策主要是解决日常作业任务中的问题,是企业基层管理人员(如工段、班组)所做的决策。
① 程序性决策。针对经常重复发生的问题,决策过程中的各个步骤都有一定的程序,它包括决策的模型、选择方案的标准等。只要环境基本不变,这些程序可以重复使用和解决同类问题。
② 非程序决策。针对的决策问题不常出现,属于无法用常规办法来处理的一次性非例行的新决策。这类决策活动常属于经营战略性决策,它需要企业高层决策人员发挥自己的经验、才智来进行。
① 确定型决策。指各种可行方案所需要的条件都是已知的,并且一个方案只有一种确定结果的决策。这种决策只要比较各个方案的结果谁优谁劣就可做出决策。
② 风险型决策。该类决策具有 4 个特点:一是要有一个明确的决策目标,如最大利润、最低成本等;二是存在着决策者可以选取的两个以上的可行方案;三是存在着不以决策人主观意志为转移的各种自然状态(如市场销售情况好、不好或中等),并可测算出每种自然状态发生的概率;四是可测算不同方案在各种自然状态下的损益值。可见,这种决策是在一定概率条件下做出的,要冒一定的风险。
③ 非确定型决策。与风险型决策的特点基本相同,只是无法测算各种自然状态出现的概率,或者只能依靠主观概率判断,这种决策主要取决于决策者的态度和经验。
经营决策是由企业最高层负责实行的决策,是企业决策中最重要的一部分,其内容涉及企业发展方向、目标、规模和大政方针等重要问题,主要涉及以下方面:
① 经营战略决策:包括经营方向、经营目标、经营方针决策、多样化经营、一体化经营及联合与兼并的决策等。
② 市场营销决策:包括市场调查预测、产品定位决策、市场营销组合决策、售后服务和其他销售业务决策等。
③ 研究与开发决策:包括新技术、新工艺、新材料、新产品的开发决策,以及市场开发决策等。
④ 生产系统决策:包括产品及厂址选择和工厂布置,生产数量和生产规模,品种结构,技术改造,生产组织、指挥、调度和控制等决策内容。
⑤ 物资采购决策:包括物料选择,采购对象、地点和采购方式决策,物料库存控制决策等内容。
⑥ 财务决策:包括资金筹措、资金结构和资金调度、固定资产投资、目标成本、财务计划、财务收支平衡、利润及其分配等决策问题。
⑦ 组织及其他重要问题决策:包括组织设计和重大改进,确立领导体制和重要的组织管理制度,重要人事安排等。
科学的决策必须遵循一定的工作程序和采取科学的决策方法,才能使决策科学化和规范化。企业经营决策的基本程序包括:找出问题;确定目标;拟订多种备选方案;评价和选择方案,做出决策判断;方案的实施与追踪(反馈)。
经营决策的方法是指进行经营决策的科学手段。随着管理科学的发展,目前决策方法向定性和定量两种方向发展,成为科学决策的两个支柱。定性决策注重于决策人的经验和思维能力,定量决策注重于决策问题各因素之间客观存在的数量关系,在具体使用中,两者不能截然分开,必须相互补充。
定性决策是在决策中充分发挥人的智慧的一种方法,是在缺少数据资料或决策的相关因素难以定量化的情况下,利用在某方面具有丰富经验、知识和能力的专家,根据已知情况和现有资料提出决策目标和方案,并做出相应的评价和选择。定性决策主要用于难于定量的决策问题,也可验证某些定量决策。
又称非计量决策法,是凭借决策者的知识、经验和能力做出决策的方法,也是最古老的决策方法,在现代企业经营决策中仍经常应用,特别是对那些业务熟悉的专家,往往可凭借经验做出决策,并取得良好的效果。
该方法是用书面形式广泛征询专家意见,对某项专题或某个项目未来发展进行预测(决策),又称专家调查法。该法是美国著名的咨询机构兰德公司在 20 世纪50 年代初发明的,目前已经应用于各个领域。
特尔菲法本质上是一种反馈匿名函询法,其大致流程是在对所要预测(决策)的问题征得专家的意见之后进行整理、归纳、统计,再匿名反馈给各专家,再次征求意见,再集中、再反馈,直至得到一致的意见。其大致步骤是:① 寻找 5~7 名研究较深的专家组成专家组;② 采取匿名方式分别向专家提供需咨询决策的材料和调查表;③ 收集专家意见并进行归纳统计,再制定新的调查表寄发专家,同时提供汇总的统计意见供专家参考;④ 如此反复几次,直到形成明确意见。特尔菲法有三个明显区别于其他专家方法的特点:一是匿名性,避免了专家见面后相互影响的弊端;二是反馈性,反复征求意见可使调查结果趋于明确,在每次反馈中使调查组和专家组都可以进行深入研究,使得最终结果基本能够反映专家的基本想法和对信息的认识,结果较为客观、可信;三是统计性,采用统计方法进行汇总,克服了专家会议法只反映多数人观点的缺点。
该法是邀集专家对决策问题畅所欲言、相互启发、集思广益,寻找新观念,找出新建议。其特点是运用一定的手段,保证大家相互启迪,在头脑中掀起思考的风暴,在比较短的时间内提出大量的有效设想。它一般采取会议讨论的形式,召集 5~10名人员参加,会议人员既要求有各方代表,又要求各位代表身份、地位基本相同,而且要有一定的独立思考能力。会议由主持人首先提出题目,然后由到会人员充分发表自己的意见,会上对任何成员提出的方案和设想,一般不允许提出肯定或否定意见,也不允许成员之间私人交谈。会议结束后,再由主持人对各种方案进行比较,做出选择。
该方法是把有关人员集中起来,以形成一种意见或建议。与会者发表的各种看法,其他人可以参加分析、评价,或提出不同看法,彼此之间相互讨论、相互交流、相互补充、相互完善。会议主持人还可以根据发言者的个人身份、工作性质、意见的权威性大小等因素对各种意见加以综合,然后得出较为满意的方案。
定量决策是建立在数学分析基础上的一种决策方法,其思想是把决策的常量与变量以及变量与目标之间的关系用数学公式建立数学模型,然后根据决策条件计算求得决策答案。
确定型决策所处理的未来事件的各种自然状态是肯定的、明确的,可以做数量描述。这类决策大都属程序化决策,可对不同的经营决策目标,根据不同的约束条件,采用不同的数学模型,求得最优或较优解。例如,企业产品生产计划,可以用线性规划、盈亏平衡点法等模型和现有程序;生产作业分配,可以用分配问题模型;采购或批量制造,可以用存储模型;等等。约束条件较多,运算较复杂的决策问题,可以采用计算机和现有计算程序求解。下面主要介绍最为常用的盈亏平衡点法和线性规划法。
(1)线性规划法。
线性规划法是解决多变量最优决策的方法,是在各种相互关联的多变量约束条件下,解决或规划一个对象的线性目标函数最优的问题。即给予一定数量的人力、物力和资源,如何应用而能得到最大经济效益。简单讲,线性规划是在一些线性等式或不等式的约束条件下,求解线性目标函数的最大值或最小值的方法。
线性规划在现代决策中的应用是非常广泛的,可以用来解决科学研究、工程设计、生产安排、军事指挥、经济规划,以及经营管理等各方面提出的大量问题。线性规划法一般采取三个步骤:一是建立目标函数;二是加上约束条件;三是求解各种待定参数的具体数值。在目标最大的前提下,根据各种待定参数的约束条件的具体限制,便可找出一组最佳的组合。线性规划法有以下三个特点:一是目标只有 1个;二是至少存在两个变量;三是约束条件多项。
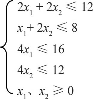
例:某包装企业计划生产甲、乙两种产品,每种产品均需使用A、B、C、D四种设备,其加工时间及单位利润数据如表 2-1 所示。要使企业利润最大,甲、乙产品的产量如何决策?
表 2-1 加工时间及单位利润数据
解:用线性规划求解。
① 建立目标函数。设x 1 、x 2 依次为产品甲、乙的产量,目标函数为 S max =2 x 1 + 3 x 2
② 列约束方程(约束条件):
③ 求解各种待定参数的具体数值。求解过程略: x 1 =4, x 2 =2; S max =2×4+3×2=14。
(2)盈亏平衡分析法。
盈亏平衡分析法也称量本利分析法、保本分析法,是研究产量、成本、利润三者关系的一种简便方法。该法的基本原理是将总成本分为固定成本与变动成本,前者不随产量增减而变化,后者与产量成比例变化。当取得的销售收入与产生的总成本相等时,利润为零,即实现盈亏平衡。如图 2-1 所示,总成本线与销售收入线的交点 0 称为收支平衡点,对应的销量 X 0 为盈亏平衡点,销量大于 X 0 将赢利,小于 X 0 则会亏损。盈亏平衡点计算公式: X 0 =固定成本/(单位产品售价-单位产品变动成本)。运用盈亏平衡分析法可以进行定价决策、经营方案的比较、企业经营状况的评价。
图 2-1 盈亏平衡分析
风险型决策也叫随机型决策,其特点是对问题的未来情况不能事先确定,即是随机的,但对未来发生情况的各种可能性(概率)是可以知道的。概率只是估计的可能机会,决策人要承担某种因估计失误而带来的风险。其具体方法有决策表法、决策树法等。
(1)决策表法。
决策表法是利用决策矩阵表计算各方案的损益及期望值,进行比较的一种决策方法。风险型决策是以决策收益表为基础,寻求最佳期望值的方案作为决策方案。方案的期望值,就是方案不可控制因素的概率与其出现时的后果(以数量)表现的乘积的总和(以概率为权数的加权平均值的总和)。在方案比较中,选取收益最大值或损失最小值的方案。
例:某企业拟自产自销一种产品,每箱利润 50 元,如果每滞销 1 箱,损失 30 元。上年第一季度销售量资料见表 2-2。根据预测今年第一季度市场需求量与上年同期无大的变化,应怎样决定日产计划,使期望利润最大?
表2-2 销售统计资料
解:根据上述条件编制决策收益矩阵,并计算期望利润,见表 2-3。
表 2-3 收益矩阵编制及计算期望利润
计算损益值(以日产 120 箱为例):
日销量为 100 箱时:损益值=(100×50)-(20×30)=4400(元);
日销量为 110 箱时:损益值=(110×50)-(10×30)=5200(元);
日销量为 120 箱时:损益值=120×50=6000(元);
日销量为 130 箱时:损益值=130×50=6500(元)。
计算期望利润(以日产 120 箱为例):
期望利润=(4400×0.2)+(5200×0.4)+(6000×0.3)+(6000×0.1)=5360(元)。
类似计算各方案日产量的损益值(利润表上的损失或利润)及期望利润,结果见表 2-3。可见,日产 120 箱时期望利润值最大,以此作为决策方案。
鉴于风险型决策是存在风险的,根据决策者对待风险的态度,也可以选择不同的方案。
① 选择损失最小的方案。从该例可以看出,只有按照上年同期的日销量和应该生产的日数来生产,即用 18 天生产 100 箱,用 36 天生产 110 箱,用 27 天生产 120 箱,用 9 天生产 130 箱,这样就没有滞销,不会发生损失,此时每天的平均利润期望值是 5650 元。
平均期望利润=(18×100 +36×110 +27×120 +9×130)×50÷90=5650 元
要使损失最小,风险最小,当然也以日产 120 箱的方案最好,这可从比较下面的数字看出:
生产 100 箱的收益损失=5650-5000=650(元);
生产 110 箱的收益损失=5650-5340=310(元);
生产 120 箱的收益损失=5650-5360=290(元);
生产 130 箱的收益损失=5650-5140=510(元)。
② 最大可能获得收益的方案。因为日销产量 110 箱出现的机会最大为 0.4,决策人很可能选取日产 110 箱的方案。此时,最大可能获得的收益为 5500 元。
③ 机会均等时获得最大收益的方案。决策人宁愿以机会均等概率作为计算期望利润的依据,并从中选取利润最大的方案。该例有 4 种客观状态,其平均概率为1/4(0.25),根据平均概率计算期望利润如表 2-4 所示。
表 2-4 计算期望利润
可见,日产 120 箱时利润最大,仍可选为最优方案。
(2)决策树法。
决策表法是一种计算期望值的表格形式,决策树法则是一种图解形式。决策树形式的优点是:第一,可明确地比较各种可行方案的优劣;第二,对某一方案的有关因素能直观地描述,特别适用于复杂问题的多层次决策。决策树的结构如图 2-2 所示。
图 2-2 决策树结构
决策树的绘制,一般分以下 3 个步骤。
① 绘制树形图。
② 计算期望值。由左向右计算,先根据各客观状态的发生概率分别计算期望值。遇到状态结点时,计算各分枝期望值的和,标于状态结点上,遇到决策点时,则将状态结点上的数值与前面方案上的数值相加,哪一方案的汇总数值大,就把它写在决策点上。
③ 剪枝。剪枝就是方案选优过程,从右向左逐一比较。凡状态结点值与方案上数值汇总后小于决策点上数值的方案一律剪除,所剩方案即为最优方案。
某企业拟生产某新产品,对未来销售状态预测结果是:出现高、中、低需求的概率分别为 0.3、0.5、0.2。为生产该产品,该企业如新建专门车间需投资 110 万元,如改建一旧车间需投资 50 万元。各种客观销售状态下年销售利润预测见表 2-5。应如何决策?
表 2-5 各种客观销售状态下的年销售利润 单位:万元
解:按上述步骤,绘制决策树并计算期望值:
新建方案净效益:220-110=110(万元)
改建方案净效益:180-50=130(万元)
可见,改建方案为最优方案。
非肯定型或不确定型决策是对问题的未来情况不但无法估计肯定结果,而且无法确定在各种情况下的概率。非肯定情况下的决策,主要取决于决策人的经验和所持的态度和信心。一般方案的选择可遵循悲观原则、乐观原则和最小后悔值原则。
某包装企业拟生产某新产品,对未来市场需求的预测,可能出现高需求、中需求和低需求三种。该企业有三种策略可供选择:①新建一条生产线;②增添设备;③改建原生产线。三种策略预计在未来五年内的收益和损失见表 2-6。
表 2-6 某企业生产某新产品对市场需求的预测 单位:万元
对此,决策人可能持不同态度,从不同的原则来选取最优方案。
(1)悲观原则。
先从每一方案中选择最小的收益值,然后再从这些最小收益值中选择一个最大值,该值对应的方案即最优方案。方案③的最小收益值最大,即选择改建生产线方案。
显然,按这一原则做出的决策是比较保守的,决策人所持态度是稳妥的,避免招致大损失。由于是从最小收益值中取最大值,这一原则又称“小中取大”原则。
(2)乐观原则。
先从每一方案中选择最大的收益值,然后再从这些最大收益值中选择一个最大值,该值对应的方案即最优方案。方案①的最大收益值最大,即选择新建一条生产线方案。
显然,按此原则决策非常乐观,决策人从最好的自然状态出发,以期在最好的自然状态下取得最大的收益,这一原则又称“大中取大”原则。
(3)最小后悔原则。
这种决策是以各方案的机会损失的大小来判别方案的优劣。所谓机会损失,是由于决策人对客观状况误判而做出的决策失误所造成的损失,即后悔值。后悔值等于各种自然状态下的最大收益值与所采用方案的收益值之差。经计算,各方案的最大后悔值见表 2-7。
表 2-7 各方案的最大后悔值
显然,方案②的最大后悔值最小,即选取增添设备方案作为最优方案。可见,该原则以各方案的机会损失大小(后悔值)来判别方案的优劣,先找出每个方案的最大后悔值,然后选择最大后悔值最小的方案,因而也可称为“大中取小法”。
企业经营计划是企业经营决策的具体化,是企业在一定时期内,为实现企业决策目标,对各种资源配置运用从时间和空间上所做出的统筹安排,是企业确定和组织全部生产经营活动的综合规划。经营计划的任务包括把经营目标具体化、分配各种资源、协调各单位生产经营活动和提高经济效益。
经营计划按时间可分为长期、中期和短期 3 种经营计划;按管理层次可分为全企业、职能部门和车间 3 种经营计划;按计划内容又可分为供应、销售、生产、劳动、财务、产品开发、技术改造和设备投资等计划。长期计划以五年以上计划为主,中期计划 1 年以上 5 年以下,短期计划以年度计划为主。中、长期计划是企业的战略计划或“目标”计划,重点在于企业的发展;短期计划是企业的执行计划,偏重于实现当前的具体目标。
经营计划按内容还可分为综合计划和单项计划。综合计划反映企业发展和当前经营活动的全貌,单项计划则反映它们的一个侧面。
综合计划由一系列反映企业经营全貌的指标组成,包括综合经济指标(资产负债率、流动比率、速动比率、应收账款周转率、存货周转率、资本金利润率、销售利税率、成本利润率等),产品品种及产量指标(品种个数及各个品种的产量等),产品质量与消耗指标(产品的一等品率、合格率、废品率、万元产值能耗、万元产值原材料消耗等),劳动工资指标(计划期职工人数、全员劳动生产率、工资总额等),设备指标(设备完好率、设备大修率等)等。
单项计划按照经营目标可分为实现贡献目标的计划(如生产计划、降低产品成本计划、利润计划、环境保护计划等)、实现利益目标的计划(如职工收入计划等)、实现企业发展目标的计划(包括资金筹措计划、科研和新产品开发计划等)和实现市场目标的计划(如产品销售计划、技术服务计划、物资采购计划等)。
(1)做好编制经营计划的准备工作。
① 做好经济发展的预测。这是编制企业经营计划的重要前提。通过预测可以提示和预见经济发展的大致趋势,为制订经营计划提供科学的依据。特别是制订中长期计划,预测工作更具有十分重要的作用。科学预测是正确决策的前提,而正确决策是科学计划的前提。
② 对上一个计划期的完成情况进行分析。其目的是找出上一个计划执行过程中存在的问题和出现这些问题的原因,以便在确定下一个计划期的发展规模和发展重点时参考。
③ 对各种技术经济定额进行审定。技术经济定额是在一定时期内,根据一定的生产技术组织条件下所规定的人力、物力、财力的利用和消耗方面应遵守和达到的标准,它是编制各种计划的基础。定额是否合理、正确程度如何,关系到计划的科学性,影响到计划能否正确指导生产经营活动和调动企业职工的积极性。定额水平要既先进又合理,即在一定的生产技术水平和组织措施的条件下,大部分职工经过努力都可以达到,少数先进者能够超过。
(2)确定经营方针和经营目标。
经营方针是经营思想的具体化,主要表现为企业处理一些重大生产经营问题时的态度,包括确定企业的经营方向方针、发展速度方针、品种发展方针、技术发展方针、开拓市场方针、市场销售方针,以及处理企业与国家、企业与企业、企业与用户关系的方针等。
经营目标是企业在计划期内生产经营活动预期要达到的主要目标,大致可以分为贡献目标、利益目标、发展目标和市场目标。
制定经营目标是企业的一项重大决策,一定要坚持实事求是、量力而行、留有余地的原则,既要体现积极进取的奋斗精神,又不能脱离实际。目标定得太低会束缚企业的发展;目标定得太高实现不了,会造成人力、物力的浪费,会挫伤职工的积极性。
(3)编制计划草案。
① 试算平衡,提出计划设想。为了供企业领导参考和各方面讨论,企业计划部门要根据经营目标和在计划准备阶段收集整理的资料,提出计划设想,并根据初步试算平衡的情况,把各个设想方案的优缺点、利弊得失、主要矛盾找出来,以便讨论时参考。
② 广泛征求各方面的意见。计划设想提出之后,要组织讨论,广泛征求各方面的意见,沟通思想,统一认识。
③ 进行综合平衡,制订计划草案。在广泛征求各方面意见的基础上,经过对各种方案的比较,权衡利弊,从中选择一个切实可行的方案。
方案确定以后,就要着手编制计划草案。计划草案的编制过程,也就是综合平衡的过程,其内容主要包括四个方面:一是人、财、物、产、供、销等企业的生产经营活动的各种要素、各个环节的平衡;二是生产、销售、技术、质量、资金、劳动、设备、物资、基建、技术改造等专业计划及其指标的综合平衡;三是企业的技术准备过程、基本生产过程、辅助生产过程和生产服务过程等的综合平衡;四是年度计划与中长期计划的平衡。这些平衡中的重点是要达到以销售为中心的产销平衡,以利润为中心的成本利润平衡和以资金为中心的财务收支平衡。
(4)经营计划的落实。
落实经营计划,主要应做好以下两方面的工作。
① 制定保证计划实现的各种具体措施和防止风险出现的对策。经营计划的实现,需要许多具体措施作为保证。但制定措施时,重点一定要放在实现企业的总目标和解决企业的薄弱环节上,决不能不分主次,使主要矛盾得不到解决。同时,还要制定防止风险出现的对策。
② 对经营计划进行分解。经营计划的总目标和具体目标都需要一一进行分解,落实到部门、车间、班组、岗位,直到个人,并把完成计划的好坏与其经济利益挂钩,使每个部门、生产单位和职工都各司其职、各尽其责,既严格分工,又紧密协作,为实现计划努力奋斗。
许多包装企业近几年来采取“方针目标展开图”的管理方式,对经营计划层层分解和落实,明确规定具体项目、目标值、对策、负责单位、完成时间及其检查等内容,取得了良好效果。
要实现经营计划,必须对经营计划的执行过程进行控制。应根据各种计划指标、计划进度、各种定额对计划的执行进行调度和检查,并及时对某些不完善的计划进行修订,以保证实现主要的计划目标。计划控制的方法有以下几种:
(1)对计划的执行过程进行强有力的调度。经营计划的实现需要人、财、物、产、供、销的平衡衔接,因此必须进行统一的指挥和调度,以发现问题,分析原因,及时采取有效措施,解决计划执行过程中出现的问题;并协调各部门、各生产单位之间的关系,使各项工作有条不紊地进行。
(2)对计划完成情况进行检查。通过检查和分析,发现计划执行过程中的好经验和存在的问题,并及时推广好经验,解决存在的问题。
(3)对计划进行调整。在计划执行过程中,如果主客观条件发生大的变化,或者计划确实不符合实际,就要及时修改计划,真正起到指导实际的作用。