购买
下载掌阅APP,畅读海量书库
立即打开
畅读海量书库
扫码下载掌阅APP

第一节
包装对环境的正面效应

根据商品及流通形式的特点,正确选用包装技术、材料,进行合理的结构设计,可以保护商品在流通过程中不破损不变质,也可保护环境使其不受污染。下面从几个主要方面叙述。

一、包装对外力环境因素的保护功能

运输包装在流通过程中,受着静压力、振动和冲击力的作用,为使包装在外力环境因素作用下对商品具有保护功能,必须选择适宜力学特性的包装材料进行抗压设计、依据商品脆值选择合适缓冲材料而进行的缓冲设计,以及在振动条件下对包装件进行抗振强度和避开包装件固有频率而进行的抗振设计。

保护功能是包装最重要、最基本的功能。在设计保护功能的时候,必须了解使产品品质发生变化的每一种危害;同时也须知在生产、运输、装卸、储存和销售时,影响产品质量的外部环境条件。产品流通的环境参数,如温度、湿度、气压、光线、烟雾等,在流通的过程中会发生变化;这些环境参数可以用简单的仪器测试定量描述出来;在实验室中也能较容易模拟,为设计的包装提供必要的试验环境。然而在实验室中却很难精确描述在装卸和运输等流通环节中,产品受到的外界冲击和振动等参数;因为这些参数会随着装卸的器具、装卸工人的文明程度、运输方式(汽车、火车、飞机、轮船等)等的变化而变化,甚至在同一车辆上不同位置的包装所受的外力也会不同;位于车辆外沿的包装与位于车辆中部、前部、后部的包装,所受的冲击和振动是不一样的。被包装的产品在包装内会受到振动,它们会与包装内壁碰撞或互相碰撞。当受到的外部干扰频率和包装件本身的固有频率相同或相近时,包装件就会产生共振。这时,产品受到的外界干扰将会非常大,这种情况下,产品最容易损坏。在设计包装时,应尽量避免使包装件本身的固有频率接近外部的干扰频率。另外,在设计产品包装的过程中,应考虑机械因素、物理化学因素以及生物因素的影响。如一些微生物等会损坏包装或通过包装小孔进入包装内,它们会使被包装产品的品质发生改变,对食品包装就更应考虑这方面的影响。

保持包装的完整性主要取决于包装的机械特性。包装不仅要能够抵抗外力的影响,而且还要能够抵抗来自自身的内部压力。因而包装材料选择是否得当,包装设计得是否合理,主要取决于两个方面的因素:一是产品本身的性质,二是包装作业环境的要求、运输环境条件和包装所要实现的功能。包装件必须能够抵抗外力的作用,外力对包装件的作用形式见图3-1。

图3-1 包装力学性能测试示意

材料在受到拉伸的情况下,在初始阶段的伸长量与所受的外部载荷呈线性关系,此时材料横截面产生收缩。典型的材料拉伸力-变形曲线见图3-2。在该线性变化区域内,保持弹性变形,即当卸掉载荷后,材料试样将恢复原长。拉应力与应变的比值叫弹性模量(杨氏模量)。一旦超过弹性极限,材料变形的增加速度将超过载荷的增加速度。同一种材料在不同的温度下进行拉伸试验,其力-变形曲线也会不一样。图3-3为不同温度下醋酸纤维薄膜拉伸的力-变形曲线。

图3-2 材料拉伸力-变形曲线

图3-3 温度对醋酸纤维薄膜拉伸强度的影响

包装件在运输或储存的堆码过程中会产生静压力,在运输过程中会受到振动,它会对包装件的三个方向(上下、前后、左右)造成影响,产生振动加速度,这些都有可能使包装件受到损坏。因此,外包装箱的抗压强度设计得必须比允许的最大堆码强度大得多。在流通环节中受到的冲击和振动能量等可由包装中的缓冲材料吸收。外界对产品产生的冲击效果与产品的易损性有关。运输包装中用脆值来衡量易损性的大小,即产品在破损前所受到的加速度与重力加速度的比值。某产品的脆值为20g,这就意味着它最大能够抵抗其自身重量20倍的冲击而不会损坏。在设计包装时,就是通过选择适当的缓冲材料,降低传递到产品上的冲击或振动加速度,使其不会超过产品的脆值。

包装件在流通过程中受到的冲击、振动和静压力等均可以通过试验的方法测出。包装件受到的静压力可由压力试验测试。为了模拟包装件受到的实际振动特性,需要在包装上加上载荷,然后将包装件固定在振动台上测试其抗振能力。振动台可以产生水平或垂直方向的加速度。振动测试通常有两种方法,即定频试验和变频试验。GB5170.14—1985的正弦波振动(定频)试验方法是在低频(3~4Hz)和大振幅(Gm=0.75g±0.25g)的振动条件下考察包装件的强度或检验包装对内装物保护能力的。GB5170.14—1985的正弦波振动(变频)试验方法,除了考验内装物或包装的抗振性能外,还用来通过扫描确定包装件(振动系统)固有频率,找出共振点,为防振包装的结构设计提供基本参数。在不同运输方式中,振动特性不同,表3-1为铁路、公路运输时的振动特性。在运输、搬运过程中,由撞击和其他外力引起的冲击特性,可以通过跌落试验来模拟测得。试验时,包装件从规定的跌落高度自由落到厚钢板或水泥板上。跌落高度按照包装件的重量在0.3~1.2m的范围内调整。

表3-1 铁路、公路运输时的振动特性

二、包装对光线影响的保护功能

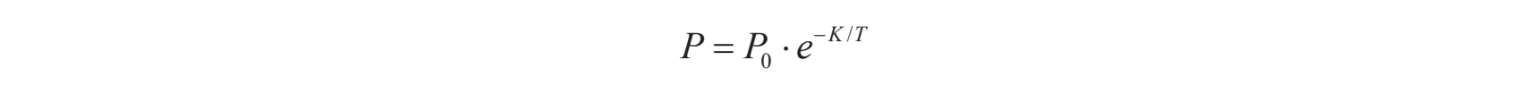
光线会损坏某些食品的光敏成分——维生素,因此对某些食品需按光线的吸收率确定包装材料厚度,进行包装设计。

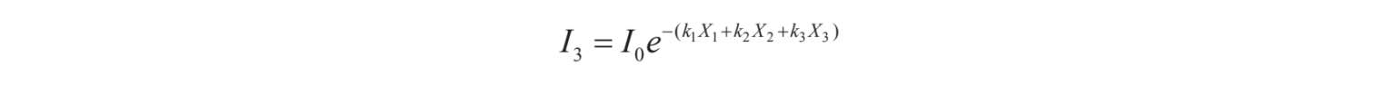
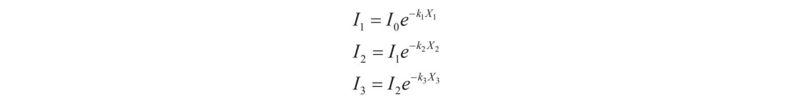
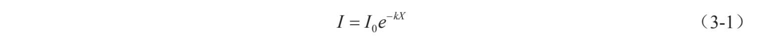
材料能够反射、过滤或吸收光线。一般情况下,光线的这三种现象会同时存在。吸收光线可以导致化学反应的产生或者加速催化作用。在光线的影响下,材料会发生褪色。食物中含有许多光敏成分,如维生素(维生素B2和维生素C)、色素(β胡萝卜素)、蛋白质、脂肪和油脂等。通常,光线会加速它们在空气中的氧化和分解。脂肪氧化(腐败、变酸)不仅会使其市场价值和营养价值降低而且还可以造成可溶性维生素(维生素E和维生素A)的分解和损失,有时甚至会形成毒性物质。许多固体产品,如面包或熏肉等,受到外包装的保护,不会受到光线的影响,光线在其包装外层几乎被完全吸收。液体产品包装却比较困难,因为液体产品在包装中总是流动的,并且连续暴露在光线作用下。包装对光线的保护功能包括两个部分,一是使透过包装的光线最少,二是可以阻止某些成分(如空气中的氧气)通过,而这些成分在光线下会加速物质的氧化。透过包装进入内部的光线按朗伯(Lambert)定律计算:

式中, I 为透射光强; I 0 为入射光强; k 为吸收率; X 为包装材料厚度。光线吸收量与包装材料厚度之间的关系见图3-4。透射光强与入射光强之比为光线透过率,其变化是材料厚度的对数函数。光线的吸收率按式(3-1)计算,相反知道了吸收率,也可以确定包装的厚度。如果包装要求比较小的光线吸收率,那么可以采取增加包装厚度的方法来达到要求。考虑到一些材料的机械性能和其他材料的光线吸收率等因素,采用不同薄膜复合而获得包装壁厚的方法可以取得良好的效果。使用3~5层复合材料作为产品的外包装,可以使包装具有足够的抗拉强度,并且能够有效地阻隔空气和光线的渗透,见图3-4。用公式表示,即

因此,

式中, k 1 k 2 k 3 X 1 X 2 X 3 分别是三种材料的吸收率和厚度。

图3-4 光线吸收量与包装材料厚度之间的关系

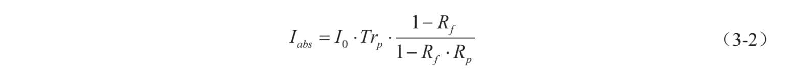
包装吸收的各种波长的光线强度,可以按照上述公式计算出来。然而,透射过的光线不会被包装产品完全吸收,或多或少有些反射。凯诺(Karel)给出了被包装产品吸收的光线的计算公式:

式中, I abs 为被包装产品吸收的光线; I 0 为入射光强; Tr p 为透射光,即透过包装的光线部分; R f 为包装产品反射的透射光部分; R p 为包装反射的入射光部分。

考虑到包装材料和被包装产品的各种特性,可以估算出产品质量随着时间的变化而下降的情况。在产品的保质期内,可以通过计算光线透射的允许极限,来衡量产品质量下降的情况。部分包装材料以光的波长为函数的透射曲线见图3-5。从图3-5(a)中可知,HDPE高密度聚乙烯、聚酯薄膜、醋酸纤维、LDPE低密度聚乙烯和蜡纸对紫外线有更好的保护能力。从图3-5(b)中看出,有色玻璃(棕色和绿色)与无色玻璃相比,可以减少光线的透过;但是透过的紫外线相同。

A—HDPE,厚度89μm;B—蜡纸,厚度89μm;C—聚偏氯乙烯,厚度28μm;D—聚酯薄膜,厚度35μm;E—氢氯化橡胶薄膜,厚度33μm;F—醋酸纤维薄膜,厚度25μm;G—LDPE,厚度38μm

图3-5 部分包装材料以光的波长为函数的透射曲线

A—琥珀玻璃,厚度3μm;B—半透明玻璃,厚度3μm;C—窗户玻璃,厚度3μm

图3-6 说明,彩色薄膜能够吸收的光谱范围较宽,因而它能够更好地保护产品免受光线的影响。

三、包装对气体和水蒸气的保护功能

包装外部环境和内部环境中气体和水分改变,会对被包装产品有很大的影响。金属、塑料、食品等许多产品容易受空气中氧气的影响而使品质下降,水分的改变也会引起产品品质的改变:如铁制品氧化后会生锈;塑料制品或包装在空气中氧化或在阳光辐射下会变脆,使抗冲击性大大降低;食品中的蛋白质、维生素、脂肪和油脂等在氧气的作用下会发生化学反应,从而改变食品的品质。阻透性(对气体、水蒸气的阻隔性能)是食品包装材料最主要的性能,包装薄膜的阻氧性及阻湿性(即薄膜对氧气和水蒸气的阻隔性)是水果保鲜期的决定因素。因此为使食品和水果保质保鲜,延长保质期,需要设计高阻隔包装。

图3-6 不同类型的不同玻璃纸以波长为函数的光线透射曲线

A—普通玻璃纸,厚度23μm;B—莎纶覆膜玻璃纸,厚度38μm;C—硝酸纤维覆膜玻璃纸,厚度25μm;D—玻璃纸覆膜用于吸收紫外线,厚度25μm;E—红色玻璃纸,厚度25μm;F—绿色玻璃纸,厚度25μm

高阻隔性指一种材料具有很强的阻止另一种材料进入的能力,不论另一种材料是气体、水汽、气味,还是怪味或香气。为了能够估算出产品的保质期,必须掌握包装材料对各种气体(包括氧气、氮气、二氧化碳)和蒸气(水蒸气、香气)的透气率(阻隔性)数据。目前正在使用的高阻隔包装材料中最典型的就是阻氧材料,其中常见的是乙烯-乙烯醇共聚物EVOH和尼龙树脂、聚偏二氯乙烯、腈基树脂、聚酰胺等。

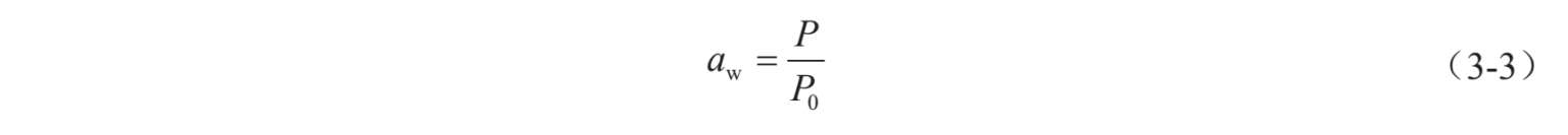
水分的改变会引起产品品质的改变,产品中存在的水分与水的活性 a w 有关,用公式表示为

式中, P 表示由产品引起的水蒸气气压; P 0 表示纯水表面测得的水蒸气气压。

图3-7 是各种食物中水含量与水活性的函数图。从图中可知,肉的 a w 值在0.95左右,如果把它放在相对湿度为75%的环境中,它会失去水分而变干;而如果把 a w 值为0.3的饼干放在相对湿度为75%的环境中,它会吸收水分而受潮变软。当 a w 太高或太低时,糖会溶化或结晶等。所以每一种产品都有一个相对固定的 a w 值,当外界环境的相对湿度发生变化后,都会引起产品品质的变化。

图3-7 各种食物中水含量与水活性的函数图

一些食品,如水果和蔬菜,它们的保质期除了和温度、水分有关外,还和环境空气中氧气与二氧化碳的比率有关。未经处理的水果和蔬菜,会由于“呼吸”作用,而消耗氧气并产生二氧化碳和水。如果缺乏必需的氧气或者水和二氧化碳,它们就会开始腐烂。产生的二氧化碳的量和消耗的氧气量之比称为呼吸商,即

对于碳水化合物,如糖和甜食品而言, RQ = 1;富含蛋白质的食品在发生氧化反应时,消耗的氧气比产生的二氧化碳多,即 RQ <1;相反,腐烂时,产生的二氧化碳比消耗的氧气多,故 RQ >1。

综上所述,包装外部环境和内部环境中气体和水分的改变,对被包装产品有很大的影响。为了能够估算出产品的保质期,必须掌握包装材料对各种气体(包括氧气、氮气、二氧化碳)和蒸气(水蒸气、香气)的透气率数据。包装材料的气体和蒸气的透气量与时间的函数关系,可以用下面的关系式表示:

式中, F 表示流量,即单位时间的透气量,cm 3 /d或mol/d; k 表示气体在包装表面的溶解常数,cm 3 /(cm 2 ·Pa); D 表示气体在包装材料中的扩散常数,cm/s; X 表示包装材料的厚度,μm; S 表示包装面积,m 2 ;Δ P = P 1 P 2 ,表示局部气体内外的气压差,大气压或Pa。气体透过包装材料的模式见图3-8。 K × D 被称为透气常数 B ,又可表示为

单层包装

叠加包装

并排连接包装

图3-8 气体透过包装材料的模式

由于单位不同,透气常数也会不同。各单位之间可以按照波义耳和盖-吕萨克关系转换:

式中, P 表示压力,Pa; V 表示体积,L; W 表示重量,g; MM 表示气体相对分子质量; W / MM 表示气体的量,mol; R 表示气体常数,0.082; T 表示绝对温度,K。根据气体交换来估算产品的保质期,主要是针对塑料包装而言。各种塑料薄膜对氧气、氮气和二氧化碳的渗透见表3-2和表3-3。

表3-2 30℃时各种包装材料氧气的渗透量

注:①取决于增塑剂的量;②取决于基材;③取决于水分。

表3-3 各种塑料薄膜对不同气体的渗透量比较

[渗透量单位:darrer(巴)]

对塑料而言,气体的渗透性取决于温度。因为塑料具有玻璃态转化温度和熔点,温度在玻璃态转化温度和熔点之间时,塑料具有橡胶结构。温度低于玻璃态转化温度时,其结构类似于玻璃,部分结晶,部分不结晶,分子排列比较有序(高结晶程度),透气性降低。与天然橡胶一样,塑料在橡胶结构温度时,透气性也较高。各种包装材料对水蒸气的渗透常数见表3-4。

表3-4 各种包装材料对水蒸气的渗透常数B(37.8℃,95% RH)

包装材料吸水后也会影响其透气性,如再生纤维、醋酸纤维和PVC中的水分会影响这些材料的透气性。水的作用就像“增塑剂”,吸收水分后塑料薄膜会膨胀,从而会显著增加气体和蒸汽的渗透性。

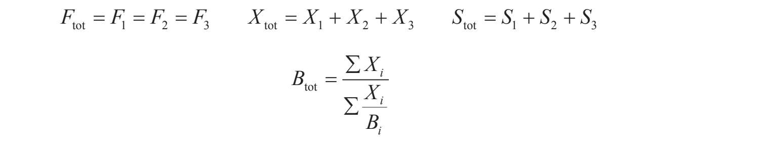
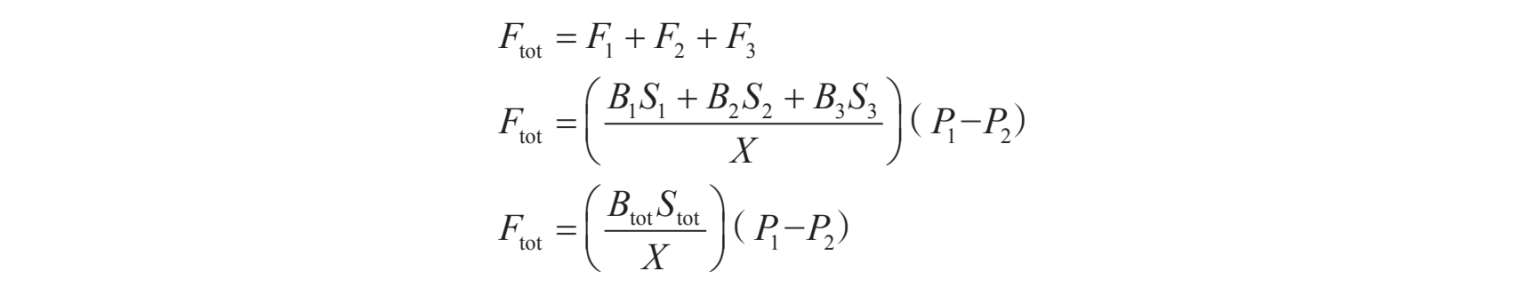
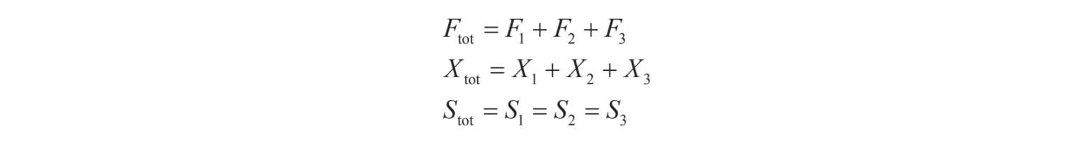
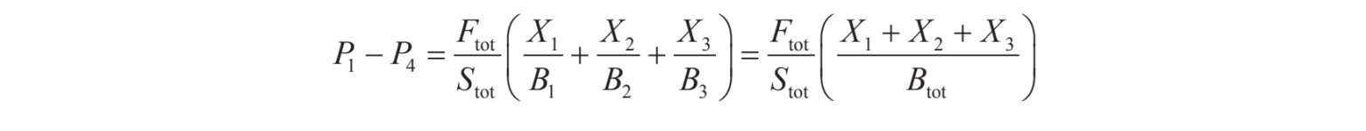
对于不同材料复合的多层包装材料,可以利用其相应的公式计算出透气值 B tot 。例如,某种材料是由3层厚度(厚度均为 X )相同的铝箔复合而成的,表面为 S ,其光通量 F tot 计算公式如下:

总的等式为:

相加得:

其中,

如果薄膜的水分影响到透气性,那么这些公式必须慎重使用。例如,表3-5为水分对纤维素薄膜(C)、聚乙烯(PE)和PE/C复合材料CO 2 透气性的影响。如果不考虑水分的影响,其结果和实际情况就有些差异。利用表中的数据可以计算出 B tot

表3-5 水分对纤维素薄膜(C)、聚乙烯(PE)和PE/C复合材料CO2透气性的影响

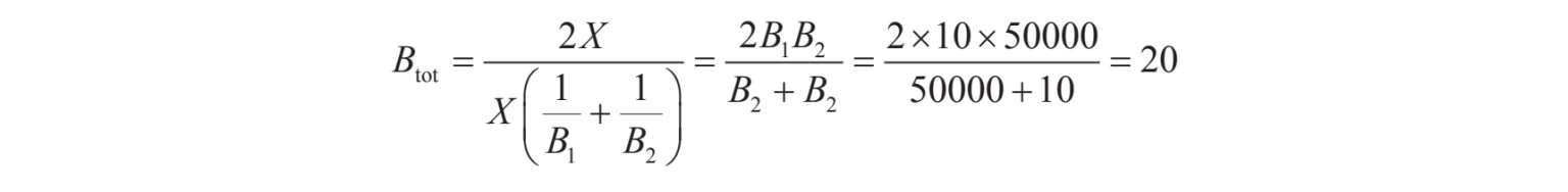
对于并列连接的薄膜,其透气性可按下列公式计算:

其中,

如果薄膜上有许多小孔,那么气体和蒸汽的渗透将不再遵循上述气体扩散规则。此时,小孔可以被看作是毛细孔,气体的渗透可根据泊潇(Poiseuille)规则计算。另外,气体的渗透性

不会随着温度的升高而线性增加,而是以指数函数的形式增加。形式见上式。

保持食品原有的气味对于产品的品质来说非常重要,但是通过外包装损失的气味又很难计算出来。实际上,包装的透气性主要取决于感观观察和经验。塑料材料不仅能透过气体成分,而且还会透过液体成分,像长期装有油脂的塑料瓶表面有黏稠、油腻的感觉等,就是这种现象。这种液体成分的损失对产品来说不重要,但是它会污染环境,或者可能会使产品的有效成分被薄膜吸收,使产品的品质下降。这些都必须引起足够的重视。 elLsQOo5rZo5Wa3SAAVUhFfRkDfkSfyAoIBFfJBpmABykiKFHz7BVULduUYUDb9G

点击中间区域
呼出菜单
上一章
目录
下一章
×