购买
下载掌阅APP,畅读海量书库
立即打开
畅读海量书库
扫码下载掌阅APP

五、计算分析题

1 在图1所示的平面四杆机构中,圆括号内的数字为杆长,试确定机架长度d的取值范围,以便使该机构分别成为:

(1)双曲柄机构。

(2)曲柄摇杆机构(需指明曲柄)。

(3)双摇杆机构。 [中科院2007年研]

图1

解: (1)机构成为双曲柄机构时,首先应满足杆长条件,且应使机架AD为最短杆,则有

解得0<d≤15。

因此,机架长度0<d≤15时,该机构为双曲柄机构。

(2)机构成为曲柄摇杆机构时,应满足杆长条件,且最短杆为连架杆,根据题意可得最短杆AB杆为曲柄,有两种情况。

①若AD杆最长,则有

解得50≤d≤55。

②若CD杆最长,则有

解得45≤d≤50。

综上所述,机架长度45≤d≤55时,该机构为曲柄摇杆机构,且AB杆为曲柄。

(3)机构成为双摇杆机构时,根据题中所给条件,则应使该机构不满足杆长条件,有如下两种情况:

①若AD为最长杆,则有

解得55<d。又

故55<d<115。

②若CD为最长杆,则当AB最短时,有

解得30≤d<45。

当AD最短时,有

解得15<d≤30。

综上,机架长度15<d<45或55<d<115时,该机构为双摇杆机构。

2 在飞机起落架所用的铰链四杆机构中,已知连杆的两位置如图2所示,比例尺为μ l ,要求连架杆AB的铰链A位于B 1 C 1 的连线上,连架杆CD的铰链D位于B 2 C 2 的连线上。试设计此铰链四杆机构。 [浙江工业大学2011年研]

图2

解: 作图步骤如下:

(1)连接B 1 B 2 ,作其中垂线,与B 1 C 1 的交点即为铰链点A;

(2)连接C 1 C 2 ,作其中垂线,与B 2 C 2 的交点即为铰链点D;

(3)连接AB 2 C 2 D,得到机构AB 2 C 2 D。

如图3所示,机构AB 2 C 2 D即为所求的铰链四杆机构。

图3

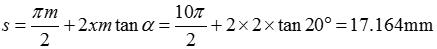
3 偏置曲柄滑块机构中,已知连杆的长度为100mm,偏心距e=20mm,曲柄为原动件,试求:

(1)曲柄长度的取值范围;

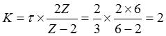
(2)若给定曲柄的长度为40mm,那么滑块行程速比系数K=? [武汉科技大学2008年研]

解: 令曲柄长度为a,连杆长度为b,则由题意可知b=100mm。

(1)根据偏置曲柄滑块机构中曲柄存在的条件为

可得曲柄长度的取值范围为

(2)当曲柄与连杆共线(即两极限位置)时,曲柄与竖直方向的夹角为

则极位夹角为

行程速比系数为

4 设计一曲柄滑块机构,曲柄为原动件。已知曲柄长度l AB =15mm,偏距e=10mm,要求最小传动角γ min =60°。

(1)用图解法确定连杆的长度l BC ,保留作图线;

(2)画出滑块的极限位置;

(3)标出极位夹角及行程;

(4)确定行程速比系数K。 [南京航空航天大学2010年研]

解: 如图4所示,机构ABC即为题中所要求的曲柄滑块机构。

作图步骤如下:

①选定铰链中心点A的位置,以A为圆心,以曲柄长l AB =15mm为半径作圆,在过A点的竖直线上确定铰链位置B;

②作 ,作与过A点水平线相距为e=10mm的平行线,两者交于点C,此即为此时滑块C的位置。

③连接ABC,即为题目中所求曲柄滑块机构。

图4

(1)由图4量取得连杆长:l BC =50mm;

(2)作出主动曲柄AB与连杆BC的两共线位置,此时滑块所处的位置C 1 、C 2 即为滑块的极限位置,如图4所示;

(3)机构处于两极限位置时,曲柄两位置的夹角即为极位夹角θ,滑块的两极限位置间距离C 1 C 2 即为行程H,如图4所示;

(4)由图量取得极位夹角θ=7.8°,则根据公式可得行程速比系数为

5 如图5所示摆动滚子从动件盘形凸轮机构中,凸轮为一半径为R的偏心圆盘,几何中心距凸轮旋转中心的距离L OA =R/2,滚子半径R r

(1)作图求出C点接触到D点接触过程中,凸轮转角δ和从动件摆角φ;

(2)在图中标出从动件在D点接触时的压力角α;

(3)如果压力角超标,改变哪些基本尺寸可以改变压力角的大小? [南京航空航天大学2010年研]

图5

解: (1)如图5所示,凸轮转角δ,从动件摆角

(2)压力角α如图6所示。

图6

(3)如果压力角过大,可通过增大基圆半径的方法来减小压力角。

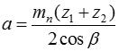
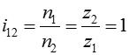
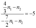
6 一对正常齿制渐开线标准直齿圆柱齿轮传动,已知其模数m=2mm,压力角α=20°,齿数z 1 =20,z 2 =48,试计算:

(1)该对齿轮作无侧隙啮合时的中心距a=?啮合角α′=?节圆半径r 1 =?

(2)欲使其实际中心距a=68.5mm,今用一对标准斜齿轮(平行轴)凑中心距,在m n =2mm,z 1 、z 2 不变时两斜齿轮的螺旋角应为多少?

(3)计算(2)中斜齿轮1的当量齿数z v1 =? [中科院2007年研]

解: (1)该对齿轮作无侧隙啮合时的中心距为标准中心距,节圆与分度圆重合,啮合角在数值上等于分度圆压力角,则有

中心距

啮合角

节圆半径

(2)根据斜齿轮传动的中心距计算公式

可得螺旋角为

(3)斜齿轮1的当量齿数

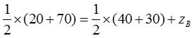
7 齿条刀具加工一直齿圆柱齿轮。设已知被加工齿轮轮坯的角速度ω 1 =5rad/s,刀具的移动速度为0.375m/s,刀具的模数m=10mm,压力角α=20°。

(1)求被加工的齿轮的齿数;

(2)若齿条分度线与被加工齿轮中心的距离为77mm,求被加工的齿轮的分度圆齿厚s;

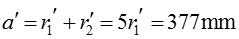
(3)若已知该齿轮与大齿轮2相啮合时的传动比i 12 =4,在无侧间隙的标准安装中心距为377mm,求这两个齿轮的节圆半径和啮合角。 [武汉科技大学2009年研]

解: (1)由已知可得被加工齿轮的分度圆半径满足 ,则有

又根据分度圆半径 ,则被加工的齿轮的齿数为

(2)由(1)可知被加工齿轮的分度圆半径 ,又已知实际安装距离为 ,故该齿轮为正变位,且径向变位量为

故被加工齿轮的分度圆齿厚为

(3)由已知传动比得大齿轮齿数

按无齿侧间隙的标准安装时,有实际中心距

①求节圆半径

两节圆半径

②求啮合角

标准中心距

根据 ,则啮合角为

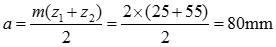
8 一对正常齿外啮合渐开线标准直齿圆柱齿轮传动,已知z 1 =25,z 2 =55,模数m=2mm,试求:

(1)两齿轮的分度圆直径d 1 、d 2 ;齿顶圆直径d a1 、d a2 ;齿根圆直径d f1 、d f2 ;基圆直径d b1 、d b2 ;中心距a。

(2)该齿轮传动的重合度ε。

(3)若实际中心距a′=79mm时,此时应采用何种齿轮传动类型并叙述其传动优缺点。 [哈尔滨工业大学2004年研]

解: (1)由题知两轮的齿数与模数,可得分度圆直径分别为

由于两齿轮都是标准齿轮,则有齿顶高系数为1,顶隙系数为0.25,因此可得齿顶圆直径分别为

齿根圆直径分别为

基圆直径

中心距

(2)齿轮的齿顶圆压力角分别为

重合度公式为

代入数据,即可求得该齿轮传动的重合度为

(3)①当实际中心距为79mm时,小于标准中心距,故采用负传动。

②负传动优点:可以配凑不同中心距,重合度也有所增加;缺点:齿轮的承载能力与强度会下降。

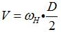
9 图7所示为起重卷扬装置,电动机带动齿轮1,各轮齿数z 1 =18,z 2 =36,z 3 =90,卷筒的直D=0.2m,要求起升重物的线速度V=75.36(m/min),求电动机的转速n 1 [武汉科技大学2008年研]

图7

解: 对于由太阳轮1、3和行星轮2以及系杆H组成的周转轮系,其相应的转化轮系的传动比为

又轮3为固定轮即ω 3 =0,则由上式可得

其中,行星架H与卷筒为同一构件,则由

可得

代入式①得

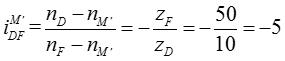
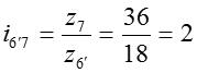
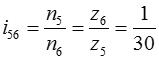
10 在图8所示的轮系中,已知各轮齿数(标在图中),轮1的转速n 1 =20r/min,轮6的转速n 6 =100r/min,方向如图所示。试求n H 的大小及转向。 [中科院2007年研]

图8

解: 该复合轮系由三部分组成:

①由轮1、2组成的定轴轮系,其传动比为

则有

根据标注箭头的方法可知,轮1转向向左,因此轮2-2′转向向下,规定轮2的转向为正。

②由蜗轮5、蜗杆6组成的定轴轮系,其传动比为

蜗杆6为主动件,蜗轮5为从动件。根据主动轮的左手法则判定,蜗杆6受到的轴向力垂直纸面向里,故啮合点的相对速度垂直纸面向外,因此蜗轮5的转向向上,与轮2相反,则有

其中,由于轮2与轮2′,轮4与蜗轮5分别为同一构件,则有

③由太阳轮2′、4,行星轮3、3′以及系杆H组成的周转轮系,其转化轮系的传动比为

即有

联立式①②③④得

解得:

转向与轮2相同。

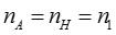
11 已知图9所示轮系的各轮齿数为z 1 =13,z 2 =52,z 2 ′=20,z 3 =85,z 4 =45,z 5 =z 5 ′=11,z 6 =48,z 6 ′=18,z 7 =36,并知各对齿轮模数都相等。轮1、3、4、6及6′轴线重合。

(1)分析该轮系由哪几个基本轮系组成的,并指出都属于什么轮系。

(2)计算各基本轮系的传动比和总传动比i 17

(3)标出轮3、6、7的实际转向。 [北京交通大学2005年研]

图9

解: (1)整个复合轮系由三部分组成,分别为:由轮1、2、2′、3组成的定轴轮系;由轮4、5、5′、6、3(H)组成的周转轮系;轮6′、7组成的定轴轮系。

(2)对于轮1、2、2′、3组成的定轴轮系,其传动比为

对于轮4、5、5′、6、3(H)组成的周转轮系,其转化轮系的传动比为

其中,轮4为固定轮,有

解得:

对于6′、7组成的定轴轮系有

综上,联立各式得总传动比

(3)根据标注箭头的方法,轮3、6、7的实际转向如图10所示。

图10

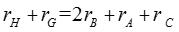
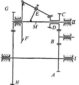
12 在如图11所示的轮系中,已知各轮均为标准齿轮,齿数为z A =40,z C =30,z D =10,z E =40,z F =50,z G =20,z H =70。问:

(1)齿轮B的齿数z B 是多少?

(2)当轴Ⅰ转一转时,轴Ⅱ转多少?轴Ⅰ和轴Ⅱ的转向是否相同? [同济大学2008年研]

图11

解: (1)根据同心条件

于是有

代入数据有

解得:

(2)该复合轮系有三部分组成:

①对于轮A、B、C组成的定轴轮系,其传动比为

规定轴Ⅰ的转向为正。

②对于由太阳轮D、F,行星轮E及其系杆 组成的周转轮系,其转化轮系的传动比为

③对于由轮G、H组成的定轴轮系,其传动比为

其中,轮G、F,轮A、H、轴Ⅰ,轮C、D以及系杆 与轴Ⅱ分别为同一构件,即有

联立式①②③,整理得

解得:

综上,可知轴Ⅰ转1转时,轴Ⅱ转2.7转,且轴Ⅰ和轴Ⅱ的转向相反。

13 在六角车床上六角刀架转位用的槽轮机构中,已知槽数Z=6,槽轮静止时间t s =0.6s,运动时间t m =2t s ,求槽轮机构的运动系数τ及所需的圆销数K。 [华东理工大学2004年研]

解: 该槽轮机构的运动系数τ

所需的圆销数K CX9se7JQQQIEWKXNJcIh2+ncBxgKzok+xMAEmKytQ/9URfbnUUJuAxCdQ0x7qUhe

点击中间区域
呼出菜单
上一章
目录
下一章
×