购买
下载掌阅APP,畅读海量书库
立即打开
畅读海量书库
扫码下载掌阅APP

一、选择题

1 一个K大于1的铰链四杆机构与K=1的对心曲柄滑块机构串联组合,该串联组合而成的机构的行程速度变化系数K(  )。 [温州大学2021年研]

A.等于2

B.等于1

C.小于1

D.大于1

【答案】 D

【解析】 因为该对心曲柄滑块机构K=1,所以串联后的机构急回特性不变,K仍大于1。

2 在铰链四杆运动链中,若最短杆与最长杆长度和小于其余两杆长度之和,为了获得双曲柄机构,应取(  )做机架。 [温州大学2021年研]

A.最长杆

B.最短杆的相邻杆

C.最短杆的相对杆

D.最短杆

【答案】 D

【解析】 假设a<b<c<d且a+d<b+c,依次用a、b、c、d四个连杆组成四杆机构且以a为机架时,同时满足a+b<c+d和a+d<b+c,是一个双曲柄机构。故选择D项。

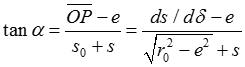
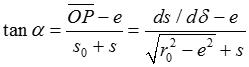
3 为防止外凸凸轮机构中滚子从动件运动失真,滚子半径必须(  )凸轮理论廓线的最小曲率半径。 [温州大学2021年研]

A.大于

B.等于

C.小于

D.无法判断

【答案】 C

【解析】 滚子半径=理论廓线最小曲率半径:实际廓线曲率半径为零,出现尖点;理论廓线最小曲率半径<滚子半径:实际廓线曲率半径为负值,出现交叉,产生失真现象。故滚子半径必须小于凸轮理论轮廓的最小曲率半径。

4 渐开线直齿锥齿轮的当量齿数z v (  )其实际齿数z。 [温州大学2021年研]

A.等于

B.小于且等于

C.小于

D.大于

【答案】 D

【解析】 对于任一锥齿轮有:z v =z/cosδ。故选择D项。

5 一对直齿圆柱齿轮传动时,其重合度为1.6,那么在啮合的过程中,单对齿啮合线长度占实际啮合线长度的(  )。 [武汉科技大学2020年研]

A.60%

B.40%

C.30%

D.25%

【答案】 D

【解析】 重合度=实际啮合线长度/齿轮基圆齿距。设齿轮基圆齿距为P b ,则实际啮合线长度为1.6P b 。只有当齿轮在节点附近啮合时,才只有单对齿啮合;而当一个齿刚进入啮合后(时),或者(和),一个齿刚要脱离啮合前(时),是双齿啮合。此时,另一个齿,只能同时啮合0.6P b 的啮合线的长度。将两个(端)的双齿啮合长度相加,就是1.2P b ,1.2P b /1.6P b =0.75;单对齿的啮合长度占比为0.25。

6 若忽略摩擦,一对渐开线齿廓从进入啮合到退出啮合,齿廓间作用力方向(  )。 [武汉科技大学2020年研]

A.沿啮合线方向

B.沿两分度圆内公切线方向

C.沿两轮连心线方向

D.沿两节圆内公切线方向

【答案】 A

【解析】 在齿轮传动过程中,两啮合齿廓间的正压力始终沿啮合线方向,其传力方向不变。

7 以下参数,(  )不是标准值。 [武汉科技大学2020年研]

A.斜齿轮法面模数

B.蜗杆直径

C.蜗轮直径

D.锥齿轮大端模数

【答案】 C

【解析】 在用蜗轮滚刀切制蜗轮时,滚刀的分度圆直径必须与工作蜗杆的分度圆直径相同,为了限制蜗轮滚刀的数目,国家标准中规定将蜗杆的分度圆直径标准化,且与其模数相匹配。可以得出蜗轮的参数不是标准值。

8 凸轮机构中,从动件的运动规律取决于凸轮的(  )。 [浙江科技学院2019年研]

A.转动速度

B.转动方向

C.基圆大小

D.轮廓形状

【答案】 D

【解析】 凸轮的轮廓形状决定了凸轮从动件的运动规律。

9 渐开线圆齿轮与齿条的实际中心距大于标准中心距时,则下列情况描述错误的是(  )。 [浙江理工大学2019年研]

A.实际啮合角大于理论啮合角

B.圆齿轮的节圆和分度圆重合

C.齿条的分度线与节线不重合

D.啮合线的位置保持不变

【答案】 A

【解析】 齿轮齿条传动中,由于齿条齿廓是直线,无论齿条是否为标准安装,啮合线的位置总是不变,啮合角也不会变,且齿轮的节圆总是其分度圆。

10 在铰链四杆机构中,若满足“杆长之和条件”,使机构成为双摇杆机构,应(  )。 [重庆理工大学2018年研]

A.固定最短杆

B.固定最长杆

C.固定最短杆的邻边

D.固定最短杆的对边

【答案】 D

【解析】 满足杆长条件的四杆机构,若固定最短杆,则得到双曲柄机构;若固定最短杆的邻边,则得到曲柄摇杆机构;若固定最短杆的对边,则得到双摇杆机构。

11 对于转速很高的凸轮机构,为了减小冲击和振动,从动件运动规律采用(  )的运动规律。 [武汉科技大学2017年研]

A.等速运动

B.等加速等减速运动

C.余弦加速度运动规律

D.正弦加速度运动规律

【答案】 D

【解析】 等速运动存在刚性冲击;等加速等减速运动和余弦加速度运动存在柔性冲击;正弦加速度运动不存在冲击,故为了减小冲击和振动,应选择正弦加速度运动规律。

12 正变位齿轮与标准齿轮相比,其分度圆半径(  );其齿顶圆半径(  )。 [武汉科技大学2017年研]

A.相等;增大

B.相等;减小

C.相等;相等

D.增大;增大

【答案】 A

【解析】 分度圆只与齿数和模数有关,所以正变位齿轮分度圆半径d=mz与标准齿轮分度圆半径相等;正变位齿轮齿顶圆半径r a =(z+2h a * +2x)m/2大于标准齿轮齿顶圆半径r=(z+2h a * )m/2。

13 要求两轴交错传递运动和动力时,应采用(  )。 [华中农业大学2016年研]

A.直齿圆柱齿轮传动

B.斜齿圆柱齿轮传动

C.蜗轮蜗杆传动

D.锥齿轮传动

【答案】 C

【解析】 ABD三项可实现平行轴和相交轴传递运动和动力。

14 自由度为2的周转轮系是(  )。 [浙江工业大学2016年研]

A.复合轮系

B.行星轮系

C.差动轮系

【答案】 C

【解析】 周转轮系包括行星轮系和差动轮系,其中,行星轮系的自由度为1;差动轮系的自由度为2。复合轮系的自由度不确定。

15 双曲柄机构中,(  )是曲柄。 [南京航空航天大学2010年研]

A.最短杆

B.最长杆

C.最短杆的邻边

【答案】 C

【解析】 在满足杆长条件的四杆机构中,当最短杆为机架时,则为双曲柄机构,因此双曲柄机构中,最短杆为机架,两连架杆为曲柄。

16 有急回运动特性的平面连杆机构的行程速比系数(  )。 [同济大学2008年研]

A.K=1

B.K>1

C.K≤1

D.K<1

【答案】 B

【解析】 有急回运动特性的机构,其从动件在回程中的运动速度v 2 大于行程中的速度v 1 ,有行程速比系数K=v 2 /v 1 >1。

17 若以曲柄为原动件,当曲柄摇杆机构的原动件位于(  )时,机构的传动角最小? [同济大学2008年研;武汉科技大学2009年研]

A.曲柄与连杆共线的两个位置之一

B.曲柄与机架共线的两个位置之一

C.曲柄与机架相垂直的位置

D.摇杆与机架相垂直,对应的曲柄位置

【答案】 B

【解析】 根据曲柄摇杆机构的运动规律,机构的最小传动角出现在主动曲柄与机架共线的两位置之一。

18 与其他机构相比,凸轮机构最大的优点是(  )。 [南京航空航天大学2010年研]

A.可以实现各种预期的运动规律

B.便于润滑

C.制造方便,易于获得较高的运动精度

【答案】 A

【解析】 只要适当地设计出凸轮的轮廓曲线,就可以使从动件得到各种预期的运动规律。

19 由于从动件结构的特点,(  )从动件的凸轮机构只适用于速度较低和传力不大的场合。 [湖南大学2007年研]

A.滚子

B.曲面

C.平底

D.尖顶

【答案】 D

【解析】 尖顶从动件凸轮,从动件和主动件接触面积小,故其推杆易磨损,因此,只适用于速度较低和传力不大的场合。

20 相同的轮廓曲线和偏距,正偏置比负偏置的凸轮机构(  )。 [同济大学2008年研]

A.升程时压力角小

B.回程时压力角小

C.基圆半径小

D.易产生刚性冲击

【答案】 A

【解析】 根据凸轮机构推程压力角α解析表达式

其中,偏距e为代数值,对于正偏置凸轮机构取正号,负偏置则取负号。比较可得正偏置压力角较小。

21 在某一瞬时,从动件运动规律不变的情况下,要减小凸轮的基圆半径,则压力角(  )。 [武汉科技大学2009、2008年研;南京航空航天大学2010年研]

A.减小

B.增大

C.保持不变

【答案】 B

【解析】 根据凸轮压力角α与凸轮基圆半径r 0 间的关系

可知,当其他条件不变时,基圆半径r 0 愈小压力角α愈大。

22 现要加工两只正常齿制渐开线标准直齿圆柱齿轮,其中齿轮1:m 1 =2mm,z 1 =50;齿轮2:m 2 =4mm,z 2 =25,则这两只齿轮(  )加工。 [武汉科技大学2009年研、重庆大学2005年研]

A.可用同一把铣刀

B.可用同一把滚刀

C.不能用同一把刀具

【答案】 C

【解析】 两轮模数不同,齿形不同,所以不能用同一把刀具加工。只要被加工齿轮的模数、压力角均相等,则无论被加工齿轮的齿数多少,都可用同一把刀具来加工。

23 蜗杆蜗轮传动的标准中心距a=(  )。 [武汉科技大学2008年研]

A.

B.

C.

【答案】 C

【解析】 蜗轮蜗杆传动中,蜗杆的分度圆直径: ,蜗轮分度圆直径: ,所以中心距:

24 斜齿圆柱齿轮的当量齿数是用来(  )。 [武汉科技大学2009年研;湖南大学2005年研]

A.计算传动比

B.计算重合度

C.选择盘形铣刀

【答案】 C

【解析】 用仿形法切制斜齿轮时,铣刀是沿垂直于其法面方向进刀的,故应按法面上的齿形来选择铣刀,在计算齿轮强度时,由于力是作用在法面内,因而也需要知道法面的齿形,因此,在研究斜齿轮的法面齿形时,可以虚拟一个与斜齿轮的法面齿形相当的直齿轮,这个齿轮称为斜齿轮的当量齿轮,齿数称为该斜齿轮的当量齿数。

25 一对作定比传动的齿轮在传动过程中,它们的(  )一定是作纯滚动的。 [湖南大学2005、2007年研]

A.分度圆

B.节圆

C.齿顶圆

D.基圆

【答案】 B

【解析】 根据齿轮定比传动的特性可知,一对齿轮啮合时两轮的节圆总是相切的,且两轮在切点处的速度相等,所以在传动过程中,两轮的节圆作纯滚动。

26 决定渐开线齿廓形状的基本参数是(  )。 [湖南大学2005年研]

A.模数

B.模数和齿数

C.模数和压力角

D.模数、齿数和压力角

【答案】 D

【解析】 渐开线齿廓形状取决于基圆的大小,而根据基圆直径的计算公式 可知,模数、齿数和压力角均会影响渐开线齿廓形状。

27 要改变棘轮每次转动角度的大小,可采用(  )方法。 [湖南大学2007年研]

A.改变锁止弧长度

B.改变止动爪位置

C.装棘轮罩

D.摩擦式棘轮

【答案】 C

【解析】 在棘轮外加装一个棘轮罩,用以遮盖摇杆摆角范围内的一部分棘齿,这样,当摇杆逆时针摆动时,棘爪先在罩上滑动,然后才嵌入棘轮的齿间来推动棘轮转动,可改变棘轮每次转过角度的大小,且被罩遮住的齿越多,棘轮每次转过的角度就越小。 BMmvE3Cxy9z7h53TbNjQTFwIBcW4Y0+zjFcx8KM2/fB02VbO5D3W1jveK6jF8eEd

点击中间区域
呼出菜单
上一章
目录
下一章
×