购买
下载掌阅APP,畅读海量书库
立即打开
畅读海量书库
扫码下载掌阅APP

第8章
连杆机构及其设计

一、填空题

1 满足曲柄存在条件的铰链四杆机构,当取与最短杆相邻的杆为机架时,为______机构;当取最短杆为机架时,为______机构。

【答案】 曲柄摇杆;双曲柄

【解析】 本题的考点是曲柄摇杆机构和双曲柄机构的判定条件。满足曲柄存在条件时,当取与最短杆相邻的杆为机架时,最短杆即为连架杆,机构为曲柄摇杆机构;当最短杆为机架时,机构为双曲柄机构;当最短杆为连杆时,机构为双摇杆机构。

2 铰链四杆机构中,各杆的长度分别为L 1 =28mm,L 2 =52mm,L 3 =50mm,L 4 =72mm,取杆L 4 为机架时是______机构、取杆L 1 为机架时是______机构、取杆L 3 为机架时是______机构。

图8-1

【答案】 曲柄摇杆;双曲柄;双摇杆

【解析】 本题的考点是曲柄摇杆机构、双曲柄机构和双摇杆机构的判定条件。机构首先满足曲柄存在杆长条件 。其中,当最长杆L 4 为机架时,最短杆L 1 为连架杆,机构为曲柄摇杆机构;当取最短杆L 1 为机架时,机构为双曲柄机构;当取杆L 3 为机架时,最短杆为连杆,机构为双摇杆机构。

3 在曲柄滑块机构中,若取曲柄为机架时,则可获得______机构。

【答案】 转动导杆

【解析】 本题的考点是回转导杆机构的演化。曲柄滑块机构中,若选取曲柄为机架,曲柄相邻的两构件都可以作整周转动,称为转动导杆机构。

4 平面丝杆机构有无急回特性取决于______的大小。

【答案】 极位夹角

【解析】 行程速度变化系数 。当极位夹角θ为零时,机构不具有急回特性;当极位夹角θ不为零时,机构存在急回特性。

5 机构处于死点位置时,其压力角为______,传动角为______。

【答案】 90°;0°

【解析】 机构处于死点位置时,传动角为零。由于压力角与传动角互为余角,故压力角为90°。

6 如图8-2所示铰链四杆机构为曲柄摇杆机构时,构件AB的尺寸l AB 的取值范围为______;为双曲柄机构时,l AB 的取值范围为______。

图8-2

【答案】

【解析】 ①为曲柄摇杆机构时,首先应满足杆长条件,其次应使连架杆AB杆为最短杆,则有 ,即取值范围为

②为双曲柄机构时,首先应满足杆长条件,其次应使机架AD为最短杆,此时可分为两种情况:当BC杆为最长杆时,有 ,即 ;当AB杆为最长杆时,有 ,即 。综上,l AB 的取值范围为

7 试写出两种能将原动件的单向连续转动转换成输出构件连续往复直线运动,且具有急回特性的连杆机构______、______。

【答案】 偏置曲柄滑块机构;偏置偏心轮机构

【解析】 偏置曲柄滑块机构和偏置偏心轮机构的输入都是单向连续转动,输出都是滑块的连续往复直线运动,两者运动规律相同。但是对心的曲柄滑块机构和偏心轮机构的极位夹角为0,不存在急回特性。而偏置的曲柄滑块机构和偏心轮机构存在极位夹角和急回特性。

8 如图8-3所示摆动导杆机构,已知曲柄l AB =20mm;l AC =40mm,试写出该机构的极位夹角θ=______,此机构的行程速比系数K=______。

图8-3

【答案】 60°;2

【解析】 根据摆动导杆机构运动特性,极位夹角即为B 1 C和B 2 C的夹角,由几何关系可得

9 在曲柄摇杆机构中,已知连杆BC=50mm、摇杆CD=40mm、机架AD=30mm,则曲柄AB的取值范围是______。

【答案】 0<l AB ≤20mm

【解析】 曲柄摇杆机构中应该具有周转副,故应满足杆长条件,且最短杆为曲柄,最短杆的相邻构件为机架。故l AB +50≤40+30,即0<l AB ≤20mm。

10 铰链四杆机构能精确再现______个给定的连杆平面位置,能精确再现______组连架杆对应位置。

【答案】 5;5

【解析】 铰链四杆机构的位置方程为

式中共有五个待定参数,这说明它最多能满足两连架杆的5组对应角位置,当按给定5组对应位置求得机构,可以在这5组位置上精确实现要求。

二、判断题

1 铰链四杆机构,若以最短杆为机架便可形成双曲柄机构。(  )

【答案】

【解析】 只有对于满足杆长条件的铰链四杆机构,若以最短杆为机架才可形成双曲柄机构。

2 曲柄摇杆机构,曲柄主动时,最大传动角一定发生在曲柄与机架共线位置。(  )

【答案】

【解析】 对于曲柄摇杆机构,当曲柄主动时,最小传动角一定发生在曲柄与机架共线的两位置之一。

3 连杆机构中若有周转副,则必有曲柄。(  )

【答案】

【解析】 当四杆机构满足杆长条件时,一定有周转副。但是若以最短杆为连杆时,则该机构为双摇杆机构,不存在曲柄。

4 在铰链四杆机构中,如果以最短构件为机架,则可能存在一个曲柄。(  )

【答案】

【解析】 铰链四杆机构,若满足杆长条件,如果以最短构件为机架,此时机构为双曲柄机构,则一定存在两个曲柄;若不满足杆长条件,则不存在曲柄。因此不可能存在一个曲柄。

5 在曲柄滑块机构中,只要滑块作主动件,就必然有死点存在。(  )

【答案】

【解析】 在平面连杆机构中,若以滑块为主动件,当其他两运动构件处于同一直线的位置时,传动角为0,此时不论驱动力多大,都不能使机构起动,即必然存在死点位置。

三、选择题

1 在曲柄摇杆机构中,为了提高机构的传力性能,应该(  )。

A.增大传动角γ

B.减小传动角γ

C.增大压力角α

D.减小极位夹角θ

【答案】 A

【解析】 本题考查的是传动角的理解。传动角是力和速度方向夹角的余角。传动角越大,机构的传动性能越好。

2 汽车发动机中的曲柄滑块机构的原动件是(  )。

A.滑块

B.连杆

C.曲柄

【答案】 A

【解析】 内燃机做功冲程是气体推动活塞(滑块),活塞推动连杆带动曲轴旋转。

3 曲柄摇杆机构,以摇杆为原动件时机构出现死点的位置在(  )。

A.摇杆和连杆成一直线处

B.摇杆和机架成一直线处

C.曲柄和连杆成一直线处

D.曲柄和机架成一直线处

【答案】 C

【解析】 以摇杆为原动件时,机构死点位置出现在从动曲柄和连杆共线处,共两次。此时机构压力角等于90°,传动角等于0°。

4 四杆机构的杆长满足: ,l 1 杆为连架杆,则该机构为(  )。

A.曲柄摇杆机构

B.双曲柄机构

C.双摇杆机构

D.不能判断

【答案】 D

【解析】 条件并不能推出 关系。只能确定l 1 杆为最短杆,l 3 杆不一定是最长杆,所以不能确定该机构是否满足杆长条件。

5 在双摇杆机构中,当取其中一个摇杆为原动件时(  )。

A.肯定会出现死点位置

B.可能会出现死点位置

C.摇杆的运动肯定具有急回特性

D.摇杆的运动可能会出现急回特性

【答案】 B

【解析】 双摇杆机构不具有急回特性,不一定会出现死点位置。

6 一个K大于1的铰链四杆机构与K=1的对心曲柄滑块机构串联组合成一机构,该机构的行程速比系数(  )。

A.大于1

B.小于1

C.等于1

D.等于2

【答案】 A

【解析】 当铰链四杆机构与对心曲柄滑块机构串联后,铰链四杆机构的输出就是对心曲柄滑块机构的输入。由于对心曲柄滑块机构的K=1,所以铰链四杆机构的输出与对心曲柄滑块机构的输出对应一致。因此,串联后的机构行程速比系数大于1。

7 在铰链四杆机构中,若最短构件与最长构件长度之和大于其他两构件长度之和时,则机构中(  )。

A.一定有曲柄存在

B.一定无曲柄存在

C.不一定有曲柄存在

【答案】 B

【解析】 最短构件与最长构件长度之和大于其他两构件长度之和,不满足杆长条件,则机构为双摇杆机构,一定无曲柄存在。

8 在曲柄摇杆机构中,当摇杆为主动件,且(  )处于共线位置时,机构处于死点位置。

A.曲柄与机架

B.曲柄与连杆

C.连杆与摇杆

【答案】 B

【解析】 死点出现在从动曲柄与连杆共线两位置,此时机构压力角等于90°,传动角等于0°。

9 铰链四杆机构中有两个构件长度相等且为最短,其余两构件长度不同,若取一个最短构件作机架,则得到(  )机构。

A.曲柄摇杆

B.双曲柄

C.双摇杆

【答案】 C

【解析】 由于机构中存在两个构件长度相等且为最短,所以最短杆+最长杆≤其余两杆的关系不满足。题目中已知机构各杆长不能满足杆长条件,故取任意杆为机架时,机构均为双摇杆机构。

10 要将一个曲柄摇杆机构转化成为双摇杆机构,可用机架转换法将原机构的(  )。

A.曲柄作为机架

B.连杆作为机架

C.摇杆作为机架

【答案】 C

【解析】 将原曲柄机构中摇杆作为机架时,原机构中最短杆曲柄演变成为连杆,此时机构即转化成双摇杆机构。

11 在摆动导杆机构中,若以曲柄为原动件时,该机构的压力角为(  )度,其传动角为(  )度。

A.0

B.45

C.90

D.不能确定

【答案】 A;C

【解析】 从动导杆上,滑块对导杆的作用力始终垂直于导杆,和导杆接触点运动方向一致,即压力角为零,传动角与之互为余角,故传动角为90°。

12 曲柄滑块机构若存在死点时,其主动件必须是(  ),在此位置(  )与(  )共线。

A.曲柄

B.连杆

C.滑块

【答案】 C;A;B

【解析】 曲柄滑块机构中若以滑块为主动件,则机构中从动曲柄与连杆存在两共线位置,曲柄的受力与速度方向垂直,此处即为机构的两死点位置。

13 图示为摆导杆机构,以1为主动件,则机构的传动角γ=(  )。

图8-4

A.

B.

C.

D.0°

E.90°

【答案】 E

【解析】 该机构的压力角为滑块作用在导杆上的力与导杆运动方向所夹锐角,由于杆件3的受力方向垂直于滑块,速度方向也是垂直于滑块,恒为0°。其余角即为传动角,恒为90°。

四、作图题

1 试在图上标出铰链四杆机构图示位置压力角α和传动角γ。

图8-5

解: 压力角α和传动角γ如图8-6所示。

图8-6

2 试用作图法设计一曲柄滑块机构。已知滑块行程s=50mm,偏距e=10mm。急回速比系数k=1.4。(题上为示意图,考生须另作图。)

图8-7

解: (1)极位夹角

(2)在滑道上任取一点C 1 ,根据s=50mm取C 2 点,在C 1 、C 2 点处做与水平线夹角90°-θ,两线交于O点。

(3)作距滑道e=10mm的平行线,以O为圆心、OC 1 为半径做圆交该平行线于点A。

(4)以A为圆心、AC 1 为半径做弧交AC 2 于点E。平分EC 2 的长度即为曲柄长度。

(5)以A为圆心、以曲柄长度为半径做圆分别交C 1 A延长线和AC 2 于点A 1 、A 2 。则连杆长度为A 1 C 1 或A 2 C 2

图8-8

3 设计一曲柄滑块机构,已知曲柄长度 ,偏距 ,要求最小传动角

(1)用图解法确定连杆的长度 ,保留作图线。

(2)画出滑块的极限位置;

(3)标出极位夹角θ及行程H;

(4)确定行程速比系数K。

图8-9

解: (1)作图步骤如下:

①以A为圆心,以l AB 为半径作圆,取垂直于导路的半径AB;

②由曲柄滑块机构的最大传动角出现在曲柄与滑块运动方向垂直处,作 交导路延长线于点C;

如图8-10所示,由图量取BC长度即为连杆长度,即

图8-10

(2)机构的两个极限位置出现在曲柄AB与连杆BC共线时,即以A为圆心,分别以 为半径作圆弧交导路延长线于C 1 、C 2 ,即为滑块C的两个极限位置C 1 、C 2 ,如上图中所示。

(3)机构处于两个极限位置时,曲柄对应的两位置的夹角即AC 1 与AC 2 所夹锐角就是极位夹角θ;C 1 与C 2 的距离即行程H。分别如上图中所示。

(4)量取图中各线段长度,由几何关系可得极位夹角

根据极位夹角可得行程速比系数

4 试设计一图示的铰链四杆机构ABCD,已知 (由图中直接量取)的值,要求满足AB 1 、AB 2 与DE 1 、DE 2 两组对应位置,并要求满足摇杆CD在第2位置为极限位置。试用作图法设计该四杆机构。

图8-11

解: (1)连接B 1 DE 1 ,并将其固化,利用反转法,当DE 1 绕D转至DE 2 时,B 1 转至B 1 ′;

(2)连接B 1 ′、B 2 ,并作B 1 ′B 2 的中垂线mm′,则C 2 必在其中垂线上;

(3)由于摇杆CD在第2位置为右极限位置,则有AB 2 杆与B 2 C 2 杆共线,故中垂线mm′与AB 2 延长线交点即C 2 ,连接C 2 D;

(4)如图8-12所示,机构AB 2 C 2 D即为所求。

图8-12

5 已知破碎机的行程速比系数K=1.4,动鄂板长度l CD =300mm,摆角ψ=35°,鄂板在极限位置DC 1 时铰链C 1 与A之间的距离 ,求曲柄l AB 、连杆l BC 和机架l AD 的长度。

图8-13

解: (1)根据行程速比系数求极位夹角θ,

(2)任取机架铰链中心D,选长度比例尺μ l =5mm/mm,根据已知摆角ψ=35°作出摇杆的两极限位置C 1 D、C 2 D,如图所示;

(3)以C 1 C 2 为弦,作圆周角θ=30°的圆;具体来说是先过点C 1 作C 1 C 2 的垂线,然后过点C 2 作夹角为90°-θ的直线,垂线与直线相交得到三角形,进而作此三角形的外接圆。

(4)以C 1 为圆心,以 为半径作圆弧交圆于A,A点即为另一机架铰链中心,再以A为圆心,以AB=(AC 2 -AC 1 )/2为半径作圆,分别交AC 1 的延长线和AC 2 于B 1 、B 2 点,即可设计出四杆机构AB 1 C 1 D。

由图中可量得各杆长度分别为l AB =55mm,l BC =280mm,l AD =185mm。

6 如图8-14所示为一曲柄滑块机构O A AC,是滑块从C 1 移到C 2 时,连架杆O B B上的一条标线O B E 1 转至O B E 2 ;当C从C 2 移到C 3 时,O B E从O B E 2 转至O B E 3 。现欲将曲柄O A A与连架杆O B B用连杆AB连接起来,试求铰链点B 1 的位置,并画出机构第一位置的机构简图。(写出简要作图步骤,保留作图线)

图8-14

解: 作图过程如图8-15所示。

图8-15

①确定点A 2 ,A 3 位置。

以O A 为圆心,O A A 1 为半径画圆,则A点的任一位置都应在该圆上。以C 1 A 1 为半径,以C 2 为圆心画弧交圆O A 于A 2 点,以C 3 为圆心画弧交圆O A 于A 3 点。

②利用反转法求点B 1

将三角形A 2 E 2 O B 刚化,绕O B 点旋转到O B E 2 与O B E 1 重合位置,此时,A 2 点转到A 2 ′点。同理绕O B 点旋转A 3 E 3 O B 得A 3 ′点。连接A 1 A 2 ′并作其中垂线a 12 ;连接A 2 ′A 3 ′并作其中垂线a 23 ,则a 12 和a 23 的交点即为B 1 点。

③连接A 1 B 1 和B 1 O B ,并将O B E 1 和O B B 1 固结在一起,则该机构第一位置的机构简图如图解中所示C 1 A 1 B 1 O B 位置。

7 设计如图8-16所示的六杆机构。已知AB为曲柄,且为原动件。此六杆机构所含的曲柄摇杆机构ABCD的行程速比系数K=1,滑块行程 ,摇杆的二极限位置为DE 1 和DE 2 ,且AD在平行于滑道的一条水平线上,试求出各杆尺寸。

图8-16

解: 作图步骤如下:

(1)在水平线上取F 1 F 2 ,则由已知e和x值,便可以确定铰链D点位置;

(2)由刚化反转法,将F 2 绕D反转 ,得到 ,连接 ,并作其中垂线交过D点与水平线成 夹角的直线于E 1

(3)由题已知 ,故取 ,即得到C 1

(4)过D作水平线的垂线,并令 ,可得到点E 2 ,C 2

(5)由行程速比系数为1,知极位夹角为零,则A、B 1 与B 2 三点共线,且在C 1 C 2 的延长线上,且满足 ,因此,作C 1 C 2 的延长线并交过D点的水平线于A点,在C 1 C 2 的延长线上A点处取 ,则可得B 1 、B 2

(6)连接E 1 F 1 ,就可得到机构 ,即为所求六杆机构,如图8-17所示。由图量取得各杆长

图8-17

8 如图8-18所示为曲柄滑块机构ABC和铰链四杆机构DEFG。今要求用一个连接杆IH(即为两个回转副I,H)把这两个机构的连杆BC和EF连接起来,使ABC机构带动DEFG机构;并保证满足图示1,2,3的三组对应位置。试用作图法设计确定出I点在BC杆上的位置和H点在EF杆上的位置(I和H点不一定在BC,EF线上),并给出连接杆IH的尺寸。若将连杆IH的H点连接于连架杆DE上时,又如何设计?机构的位置和尺寸可由图上直接量取。

图8-18

解: 先取比例尺 ,作题目所给机构有关位置图,如图8-18(b)所示,并在连杆BC平面上任取一点作为铰接点I,即得I 1 、I 2 及I 3 三个点的位置。

(1)当用连杆IH连接于连杆EF时,其设计内容主要是确定连杆EF上铰接点H的位置,故可用反转法或利用转动极进行设计。如图8-18(b)所示,利用反转法,视连杆EF为机架,将三角形E 2 F 2 I 2 和E 3 F 3 I 3 固化,分别作 ,可求得I 2 、I 3 相应转位点I 2 ′和I 3 ′的位置,然后再分别作连线I 1 I 2 ′和连线I 1 I 3 ′的中垂线i 12 和i 13 ,两中垂线线的交点即为H 1 点。连接E 1 H 1 和I 1 H 1 便得所设计的六杆机构。经作图验证能满足运动要求。由图量得IH=47mm。

(2)当用连杆IH连接于连架杆DE时,求连架杆DE上H点的位置。用反转法设计:如图8-18(c)所示,视DE为机架,将三角形E 2 DI 2 和E 3 DI 3 固化,则分别作 ,求得I 2 、I 3 相应转位点I 2 ′、I 3 ′点,再分别作连线I 1 I 2 ′和连线I 1 I 3 ′的中垂线i 12 和i 13 ,其交点为H 1 ,经作图验证同样能满足要求动规律。这时,由图量得IH=49mm。上述转位点I 2 ′、I 3 ′也可利用转动极来确定,此时D为杆DE的转动极,将I 2 D绕D点转过 的角度即得I 2 ′点,再将I 3 D绕D转过 的角度即得I 3 ′。

9 试设计一曲柄摇杆机构。如图8-19已知曲柄O A A的长度为13mm,其与机架的铰链中心为O A ,α=30°,当曲柄转过图示120°时,应使连杆上D点走一近似直线,该直线与图示水平线垂直。试通过实现连杆平面三个位置的方法,并以2位置作为参考位置,设计一曲柄摇杆近似直线机构O A ABO B 。其中摇杆与机架的铰链中心O B 已给出,其他尺寸见图。

图8-19

解: (1)分别以A 2 、A 3 为圆心,以A 1 D 1 为半径画弧交D点轨迹即水平垂直线于D 2 、D 3 点;

(2)用反转法求点B 2

将三角形A 1 O B D 1 刚化,当将A 1 D 1 分别作平面运动移动到A 2 D 2 、A 3 D 3 位置时,相应的O B 点转到O B1 与O B2 位置。连接O B1 O B2 及O B O B1 ,并分别作其中垂线,两中垂线交于B 2 点;

(3)连接O A A 2 B 2 O B ,并将D 2 与A 2 B 2 固连,得所求曲柄摇杆近似直线机构O A ABO B 的第二位置如图8-20所示。

图8-20

10 可折叠式座椅的机构简图如图8-21所示。已知l AF =30mm,l FB =12mm。若图示Ⅰ位置为展开状态,此时α 1 =110°,β 1 =45°,Ⅱ位置为折叠位状态,此时α 2 =0°,β 2 =0°。试设计此机构。

图8-21

解: 由图中可以看到,当机构处于Ⅰ位置时HK杆的上端已经与椅背接触,即β 1 角不能再大,故可以推出AB与BC为伸直共线位,则铰链C必在A、B连线的延长线上,若令C点位于HK上,则可确定铰链点C的位置C 1 、C 2

为求铰链点D的位置,首先分析已知条件:已知铰链点A、B的位置,若将椅背看作固定件,则A、B为两固定铰链,BC、AD为连架杆。现已知连架杆BC的两个位置BC 1 、BC 2 ,又知AD两位置间夹角为110°,且固定铰链A、B的位置给定。故此设计命题变为:给定固定铰链A、B位置,连架杆BC长度并给出两连架杆的两组角位置,求连架杆CD上的铰链点D。可利用刚化反转法求D点位置。D 1 点应位于C 1 点与C 2 的转位点 连线的中垂线上。考虑到实际应用,将D 1 点选在 中垂线与Ⅰ位置线的交点处,则ABC 1 D 1 即为满足设计命题的四杆机构在Ⅰ位置时的机构简图。

五、计算题

1 在如图8-22所示的由3个齿轮与铰链四杆机构组成的齿轮——连杆组合机构中,已知l AB =45mm,l BC =100mm,l CD =70mm,l AD =120mm,试分析:

(1)齿轮1能否绕A点做整周转动?(说明理由)?

(2)该机构的自由度为多少?(给出具体的计算过程)?

图8-22

解: (1)对于四杆机构ABCD,首先满足杆长条件

其次,最短杆为AB为连架杆,所以四杆机构ABCD为曲柄摇杆机构,故AB为曲柄,即A、B均为整转副,故齿轮1能够绕A点做整周转动。

(2)题图所示机构中,B、C、D处为复合铰链。该机构活动构件数6个,即n=6;平面高副2个,即p h =2;平面低副7个,即p l =7。则该机构的自由度为

2 如图8-23所示,平面连杆机构中,若AB杆为主动件,已知各构件长度为l AB =160mm,l BC =260mm,l CD =200mm,l AD =80mm,l DE =65mm,l EF =120mm,试:

(1)分别判断图中两个四杆机构的类型;

(2)确定输出机构的最小传动角;

(3)判断机构是否存在急回。

图8-23

解: (1)①对于ABCD机构有

即满足杆长条件,且最短杆AD为机架,故该机构为双曲柄机构,铰链A、D为整转副。

②机构DEF中,因为铰链D为整转副,故为曲柄滑块机构。

(2)输出机构为对心曲柄滑块机构,曲柄DE为主动件,则其最小传动角出现在曲柄与机架垂直时的位置,即杆CD与杆AD共线时,最小传动角为垂直于滑块轨迹的直线与连杆所夹锐角,如图8-24所示。

图8-24

根据几何关系可得

即输出机构的最小传动角

(3)如图8-25所示,当滑块F处于右极限位置时,构件CD与AD垂直,且CD在AD上面;当F处于左极限位置时,构件CD与AD垂直,且CD在AD下面。在滑块F分别位于两极限位置时,主动件AB杆所对应的两位置的夹角不为零,即存在极位夹角,故机构具有急回特性。

图8-25

3 图示机构a=20mm,d=40mm。构件AB为主动构件,以角速度ω作匀速运动。

(1)在A、B、D三个转动副中,哪些为周转副,哪些为摆转副?

(2)利用速度瞬心法,确定出机构在图示位置时构件2上绝对速度为零的点的位置。

(3)画出导杆3的极限位置,标出极位夹角θ,并确定机构的行程速比系数。

图8-26

解: (1)由于该机构中l AB <l AD ,则该机构属于摆动导杆机构,易知,转动副A、B为周转副,D为摆转副。

(2)由于两构件速度瞬心是其速度相等的点,根据机架绝对速度为零,因此找到构件2与机架的速度瞬心即可,根据三心定理可以确定构件2与机架的速度瞬心P 24 ,如图8-27所示P 24

图8-27

(3)以AB杆长为半径,A为圆心作圆,并过D点作DB 1 (DB 2 )与圆相切,即可得左右两极限位置AB 1 D、AB 2 D,则根据几何关系极位夹角为

则行程速比系数

4 在图示连杆机构中已知 ,构件1为原动件。

(1)画出机构在 位置时的运动简图,标出曲柄摇杆机构ABCD的极位夹角θ及H。

(2)若要求滑块6自左向右运动为快行程,试确定曲柄1的转向。

图8-28

解: (1)作 时的运动简图如图8-29所示ABCDE。

作曲柄AB与连杆BC共线时的运动简图即为两极限位置时机构位置,则AC 1 和AC 2 的夹角即为极位夹角θ。如图当机构位于两极限位置时,滑块E分别在E 1 和E 2 处,从而E 1 E 2 即所求行程H。

图8-29

(2)在C 1 和C 2 间曲柄转过角度小于180°时为快行程,如果滑块从左到右为快行程,即可知曲柄1应逆时针转动,此时滑块从左到右过程中曲柄AB需要转过的角度为180°-θ。

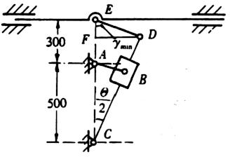
5 如图8-30所示为一刨床刨刀驱动机构示意图,已知机架长L AC =500mm,铰链点A到刨刀导路的距离为300mm,刨刀的行程为800mm,铰链点E的一个极限位置E 1 刚好处于CA的延长线上,行程速比系数K=2。试设计该机构,并确定其最小传动角。

图8-30

解: 根据已知条件,可作图如图8-31所示

图8-31

由已知行程速比系数K=2,可得极位夹角

根据机构运动分析易知,在两极限位置时D 1 E 1 E 2 D 2 为平行四边形,因此可得DF的距离即为行程的一半,即

则根据图中几何关系可得到

曲柄长度

导杆长度

连杆长度

分析易得机构最小传动角出现在极限位置处,即

6 在图示铰链四杆机构中,已知杆长a=45mm,b=55mm,c+d=125mm。

(1)若要求其成为曲柄摇杆机构,请确定c、d长度的取值范围。

(2)该机构能否成为双摇杆机构或双曲柄机构?为什么?

图8-32

解: (1)若机构为曲柄摇杆机构,则首先应使机构满足杆长条件,其次应使最短杆为连架杆,有两种情况

①当a为最短杆

c为最长杆时,有杆长条件为

得到

d为最长杆时,同理得到

②当c为最短杆时,由已知条件可得d为最长杆,根据杆长条件应满足 不成立。因此此时不能成为曲柄摇杆机构。

(2)①可能成为双摇杆机构,使c和d的取值范围不满足(1)中杆长条件即可。

②不能成为双曲柄机构。这是因为当机架d为最短杆时,c为最长杆,而 不能满足杆长条件,故不能形成整转副,因此不能成为双曲柄机构。

7 已知机架AD=50mm,摇杆CD离机架最近极限位置β=45°,且CD=40mm,设该机构为曲柄摇杆机构,且行程速比系数K=1.4,试用作图法求出曲柄AB和连杆BC的长度,并绘出机构简图。

图8-33

解: 由已知行程速比系数K=1.4得极位夹角

作图步骤如下:

机构的极限位置出现在曲柄与连杆共线的位置。连接AC,由题知CD为其中一极限位置,由此则作直线AC′使得 ,直线AC′与以D为圆心、以DC长为半径所作的圆弧交于C′点,连接DC′,即为另一极限位置,如图8-34所示。

由图上量取得到:

由上可解得,曲柄AB的长度:

连杆BC的长度:

图8-34

8 四杆机构ABCD中, 。图示位置A、B、D三点共线,CD⊥AD。试解答:

(1)判断该机构属于铰链机构中何种类型。

(2)若CD为原动件,计算图示位置B点处压力角α为多少?又在机构运动中α最大值是多少?

(3)保证机构类型不变,将AB杆尺寸加大,确定出尺寸加大范围。

图8-35

解: (1)由已知条件根据几何关系得机架长 mm,则有

不满足杆长条件,则不存在周转副,因此该机构为双摇杆机构。

(2)如图8-36所示,图示位置处,根据几何关系可知B点的压力角

图8-36

如图8-36所示,当机构处于连杆BC与从动件AB共线时的位置AB 1 C 1 D,此时杆AB的受力方向与运动方向垂直,有最大压力角

(3)要使该机构仍保持双摇杆机构,即令各杆长仍不满足杆长条件即可,有两种情况:

AB不是最长杆,则有30+90>x+50,得到x<70。

AB为最长杆,则有30+x>90+50,得到x>110。

同时,若要保证机构成立,还应满足x<90+50+30=170。

又根据条件是将AB杆尺寸加大,故x≥50。

综上可知,AB杆长应满足

9 如图8-37所示铰链四杆机构中,已知各杆长度l AB =42mm,l BC =78mm,l CD =75mm,l AD =108mm。要求:

(1)试确定该机构为何种机构;

(2)若以构件AB为原动件,试用作图法求出摇杆CD的最大摆角φ,此机构的极位夹角θ,并确定行程速比系数K;

(3)若以构件AB为原动件,试用作图法求出该机构的最小传动角γ min

(4)试分析此机构有无死点位置。

图8-37

解: (1)由已知条件知最短杆为AB连架杆,最长杆为AD杆

满足杆长条件,故AB杆为曲柄,此机构为曲柄摇杆机构。

(2)当原动件曲柄AB与连杆BC两次处于共线位置时,摇杆CD处于两极限位置。适当选取长度比例尺 ,做出摇杆CD分别处于两极限位置时的机构位置图AB 1 C 1 D和AB 2 C 2 D,由图中量得摇杆CD的最大摆角 ,极位夹角 ,可求得行程速比系数

(3)当原动件曲柄AB与机架AD两次处于共线位置时,是曲柄摇杆机构最小传动角γ min 可能出现的位置。用作图法做出机构的这两个位置 ,由图量得 ,所以比较可得最小传动角

(4) 。若以曲柄AB为原动件,由于此时机构不存在连杆BC与从动件摇杆CD共线的位置,即不存在传动角 的位置,故机构无死点位置;若以摇杆CD为原动件,则此时机构存在连杆BC与从动件曲柄AB共线的两处位置,即存在传动角 的位置,故机构存在两个死点位置。

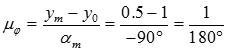
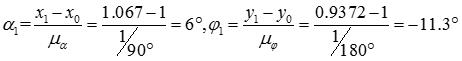
10 试设计一铰链四杆机构,以近似实现给定函数y=1/x。自变量x的变化区间为1≤x≤2。两连架杆的总转角要求为α m =90°和α m =-90°(正值表示逆时针转向,负值表示顺时针转向)。

解: 根据已知条件自变量x 0 =1和x m =2,对应的转角α m =90°,可求得相应的y 0 =1和y m =0.5,对应的转角α m =-90°。通过插值逼近法进行计算。

(1)根据函数逼近理论

选取结点,其中结点总数m=3,则结点处各值

与此对应求出相应的y值

(2)依据题意已知主、从动件的转角范围分别为α m =90°和α m =-90°,由此知自变量和函数与转角之间的比例系数分别为

利用比例系数求出插值结点处的连架杆角位移分别为

=45°, =-60°

=84°, =-86.9°

(3)试取初始角α 0 =39°, =101.3°

(4)将各值代入公式,得以下方程组

联立以上方程组解得各参数

P 0 =-0.81862

P 1 =0.44710

P 2 =0.39096

故各杆的相对长度为

l=1.8866

m=-0.81862

n=1.83096

(5)求偏差值Δφ

对于所设计的四杆机构,其再现的函数值可由式

式中

按期望函数所求得的从动件转角为

则偏差为

若设计完成后发现偏差过大,则应适当调整初始角等有关参数,重新进行设计。

11 试设计如图8-38所示的六杆机构。该机构当原动件1逆时针转过90°(即φ 2 -φ 1 =90°)时,构件3由ψ 1 =122°转至ψ 2 =144°,C点由C 1 D=145mm到C 2 D=215mm,此时滑块5(F点)自 移到 。试确定铰链B及E的位置,求出AB、ED、EF长。

图8-38

解: (1)取μ l =5mm/mm作图,如图8-39所示。

作直线mn∥AD,二线相距275/5=55mm;

再作∠XDC 1 =122°,

作∠XDC 2 =144°,

再在mn线上作F 1 、F 2 ,使

(2)由反转法求点B 1 位置

将ADC 2 固化,绕A顺时针转过90°,得 。由C 2 ′作 的垂线,由C 1 作DC 1 的垂线,二垂线交点B 1 即为ABCD在第一组位置的铰链B的位置。

(3)由反转法求点E 1 位置

将DC 2 F 2 固化,绕D点顺时针转过 ,得 。连接F 1 F 2 ′,并作F 1 F 2 ′的中垂线交DC 1 延长线于E 1 点,E 1 点即DEF在第一组位置时铰链E的位置。

所求各杆长

图8-39

12 如图8-40所示为开槽机上用的急回机构。原动件BC匀速转动,已知a=80mm,b=200mm,l AD =100mm,l DF =400mm。

(1)确定滑块F的上、下极限位置;

(2)确定机构的极位夹角;

(3)欲使极位夹角增大,杆长BC应当如何调整?

图8-40

解: (1)由于 ,所以四杆机构ABC为转动导杆机构,导杆AB也是曲柄,可以相对机架转动360°。因此,当AC与DF共线时会出现两个极限位置,则滑块F的上、下极限位置如图8-41中F 2 、F 1 的位置。

(2)对应滑块F的极限位置,可以确定出导杆AC的位置及滑块C的位置C 1 、C 2 。由图中几何关系,得

则极位夹角

(3)根据极位夹角的表达式,欲使极位夹角增大,应使α角减小,所以杆长BC在保证AC周转的条件下就当减小。

图8-41

13 设计一个曲柄摇杆机构ABCD,利用连杆上点P的轨迹拨动摄像胶片如图8-42所示。已知P 1 (0,0),A(-12.14,3.06),D(-7.10,-0.52),P 2 (-4.07,-0.5),P 3 (-2.10,3.05), ,确定机构中各个构件的杆长,并检验机构是否存在曲柄。

图8-42

解: 已知 ;则设计变量为

杆AB的位移矩阵为

连杆上点B和P满足B、P之间的距离保持不变的运动约束,为此建立约束方程为

同时,铰链点B又是构件AB上的点,铰链点B还满足位移矩阵方程

将③式代入运动约束方程②就得到仅含设计变量 和两个方程,从而可解出

代入具体数值,得

所以由③式有

所以由③式有

分别代入②式有

由上式可以解出

从而可以求出

在确定出 后,就可建立连杆的位移矩阵为

式中:

摇杆上铰链点C和D满足C、D之间的距离保持不变的运动约束,为此建立约束方程为

式中铰链点C还满足位移矩阵方程

将⑥式代入运动约束方程⑤就得到仅含设计变量 和两个方程,从而可解出

代入具体数值,得

所以

所以由⑥式有

分别代入⑤式有

由上式可以解出

从而可确定出机构中各个构件的杆长分别为

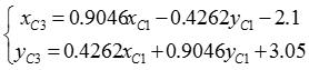
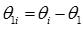
在上述四杆中,因为 ,即最短杆与最长杆的杆长之和小于其余两杆的杆长之和,即满足杆长条件,并且最短杆是 ,所以该机构一定存在曲柄。 BMmvE3Cxy9z7h53TbNjQTFwIBcW4Y0+zjFcx8KM2/fB02VbO5D3W1jveK6jF8eEd

点击中间区域
呼出菜单
上一章
目录
下一章
×