购买
下载掌阅APP,畅读海量书库
立即打开
畅读海量书库
扫码下载掌阅APP

5.2 课后习题详解

一、习题

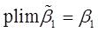
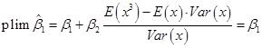
1 在满足假设MLR.1至MLR.4的简单回归中,我们证明了斜率估计量 β ( ) 1 是β 1 的一致估计。利用 β ( ) 0 y ( _ ) β ( ) 1 x ( _ ) 1 证明:plim β ( ) 0 =β 0 。[你在使用β 0 =E(y)-β 1 E(x 1 )的同时,还需要使用 β ( ) 1 的一致性和大数定律。]

证明: 简单模型为:

y=β 0 +β 1 x 1 +u

期望值是

E(y)=β 0 +β 1 E(x 1 )+E(u)

记μ y =E(y),μ x =E(x 1 ),因为E(u)=0,故

μ y =β 0 +β 1 μ x

移项可得

β 0 =μ y -β 1 μ x

则有

β ( ) 0 y ( _ ) β ( ) 1 x ( _ ) 1

根据大数定律

plim( y ( _ ) )=μ y

plim( x ( _ ) 1 )=μ x

plim β ( ) 1 =β 1

则对 β ( ) 0 y ( _ ) β ( ) 1 x ( _ ) 1 等式两边同时取概率极限得:

plim( β ( ) 0 )=plim( y ( _ ) β ( ) 1 x ( _ ) 1 )=plim( y ( _ ) )-plim( β ( ) 1 )·plim( x ( _ ) 1 )=μ y -β 1 μ x =β 0

2 假设模型pctstck=β 0 +β 1 funds+β 2 risktol+u满足前四个高斯-马尔科夫假设,其中pctstck表示工人养老金投资于股票市场的百分比,funds表示工人可以选择的共同基金的只数,而risktol表示对风险承受能力的某种度量(risktol越大,则表明这个人对风险的承受能力越强)。如果funds和risktol正相关,那么pctstck对funds进行简单回归得到的斜率系数 将有怎样的不一致性?

答: 对风险的承受能力越强意味着在资本市场上投资的意愿更强,因此β 2 >0。假定可供选择的共同基金的只数(funds)与个人承受风险的能力(ridktol)是正相关的,使用教材公式(5.5)可以得到

δ 1 >0:

因此 存在正的不一致性(渐近偏误)。这个结论是合乎情理的,如果在回归中省略个人对风险的承受能力(risktol)这一变量,由于它与可选择的共同基金只数(funds)相关,因此估计出来的可选择的共同基金只数(funds)对工人养老金投资于股票市场的百分比(pctstck)的影响实际上包括了个人对风险的承受能力(risktol)对工人养老金投资于股票市场的百分比(pctstck)的影响。

3 数据集SMOKE包含美国成年人随机样本关于抽烟行为和其他变量的信息。变量cigs是(平均)每天抽烟的数量。你是否认为,cigs在美国成年人这一总体中具有正态分布?试解释。

答: cigs在美国成年人这一总体中不具有正态分布。大多数人不抽烟,因此对一半以上的美国人而言,cigs=0,故正态分布随机变量的概率大于零并没有特殊的意义。另外,cigs的分布是左偏的,而正态分布随机变量是对称的。

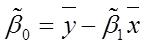
4 在简单回归模型(5.16)中,我们在前四个高斯-马尔科夫假设下证明了形如(5.17)的估计量是斜率β 1 的一致估计量。给定一个这样的估计量,定义β 0 的估计量为

证明

证明: 简单回归模型为:

y=β 0 +β 1 x+u

则其期望值是:

E(y)=β 0 +β 1 E(x)+E(u)

记μ y =E(y),μ x =E(x),因为E(u)=0,故

μ y =β 0 +β 1 μ x

移项可得

β 0 =μ y -β 1 μ x

根据大数定律可知:

plim( y ( _ ) )=μ y

plim( x ( _ ) )=μ x

并且

可得:

因此

5 下面的直方图是使用ECONMATH数据集中的变量score创建的。共使用30个柱形作出直方图,每一格的高度是落入对应区间的观测的占比。正态分布的最佳拟合(使用样本均值和样本标准差)已添加进直方图中。

课程分数(以百分数表示)

(i)如果你使用正态分布估计score超过100的可能性,答案会是0吗?为什么你的答案会与score服从正态分布的假设矛盾?

(ii)解释直方图的左尾发生了什么。在左尾部分,正态分布拟合是否良好?

答: (i)答案是0。因为z=(x-u)/(σ/n 0.5 )=59.82,对应的p值为0。

一半学生的分数低于平均值72.60,同时没有学生的分数超过100,因此答案与score服从正态分布的假设矛盾。

(ii)通过观察直方图,只有很少一部分学生的分数低于60。

左尾部的正态分布拟合不好,从直方图中可以看出,左尾部的直方图大多高于正态分布的曲线。

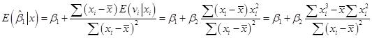
6 考虑方程y=β 0 +β 1 x+β 2 x 2 +u,E(u∣x)=0。其中,解释变量x在总体中具有标准正态分布,且满足E(x)=0、E(x 2 )=Var(x)=1及E(x 3 )=0。其中,E(x 3 )=0成立是因为标准正态分布关于零点对称。我们想研究β 1 的OLS估计量。于是,我们省略x 2 ,计算简单回归的截距和斜率估计量。

(i)证明我们可以写出y=α 0 +β 1 x+v,其中E(v)=0。求出v和新的截距α 0

(ii)证明E(v∣x)依赖于x,除非β 2 =0。

(iii)证明Cov(x,v)=0。

(iv)如果 β ( ) 1 是y i 对x i 回归得到的斜率系数,那么 β ( ) 1 对于β 1 是一致的吗?是无偏的吗?请解释。

(v)讨论如果能够估计β 1 ,将具有以下意义:β 1 是x=0时(即x的平均值),x对y的偏效应。

(vi)解释为什么一致地估计β 1 和β 2 比仅仅估计β 1 更有价值。

答: (i)通过比较两个回归方程y=β 0 +β 1 x+β 2 x 2 +u和y=α 0 +β 1 x+v可得:α 0 =β 0 ,v=β 2 x 2 +u。

(ii)E(v∣x)=E(β 2 x 2 +u∣x)=β 2 x 2 +E(u∣x)=β 2 x 2 ,E(v∣x)依赖于x,除非β 2 =0。

(iii)Cov(x,v)=E{[x-E(x)][v-E(v)]}=E[x(β 2 x 2 +u-β 2 x 2 )]=E(xu)=Cov(x,u)=0。在这里,利用了E(x)=0以及Cov(x,u)这两个事实,这两点必须成立,否则原始回归模型将无法满足MLR.4假设。

(iv) β ( ) 1 可以写为 。为了检验无偏性,计算:

很明显,估计并不是无偏的,因为在回归中省略了x 2

然而,可以证明 β ( ) 1 是一致的。已知E(x)=0,E(x 3 )=0,Var(x)=1,概率极限:

(v)如果x=0,根据第(ii)部分, β ( ) 1 是β 1 的无偏估计量。

(vi)能够估计β 1 和β 2 都具有价值,因为在估计y与x之间的非线性关系。如果只估计β 1 ,那么在一个非线性关系上投影一个线性模型,随着x的值的绝对值增大,预测效果会变得更差。能够估计β 2 使模型在更广泛的x范围内具有预测能力。

二、计算机练习

C1.本题利用WAGE1中的数据。

(i)估计方程

wage=β 0 +β 1 educ+β 2 exper+β 3 tenure+u

保留残差并画出其直方图。

(ii)以log(wage)作为因变量重做第(i)部分。

(iii)你认为是水平值-水平值模型还是对数-水平值模型更接近于满足假设MLR.6?

答: (i)估计模型为:

526个残差 u ( ) i ,i=1,2,…,526的直方图如图5-1所示,根据STATA手册中的公式对526个观测值在直方图中使用了27个排序格,根据对比,正态分布是适合图中描绘内容的数据分布。

图5-1 残差分布直方图

(ii)log(wage)作为因变量的估计方程为:

从方程中推出的残差直方图,以及最合适的正态分布重叠图如图5-2所示:

图5-2 残差分布直方图

(iii)log(wage)回归的残差看起来更符合正态分布,第(ii)部分的直方图的分布密度比第(i)部分直方图更好。wage残差直方图是显著左偏的。在wage的回归中,存在一些很大的残差(约等于15),这与残差平均值(等于0)的距离大约为标准差估计值( σ ( ) =3.085)的5倍。在对数-水平值模型中残差不等于0并没有造成太大的问题,因此,对数-水平值模型更接近于满足假设MLR.6。

C2.本题利用GPA2中的数据。

(i)使用所有4137个观测,估计方程

colgpa=β 0 +β 1 hsperc+β 2 sat+u

并以标准格式报告结论。

(ii)使用前2070个观测重新估计第(i)部分中的方程。

(iii)求出第(i)部分与第(ii)部分所得到的标准误的比率,并将这个比率与(5.10)中的结果相比较。

答: (i)4137个观测值的回归模型为:

(ii)使用开始的2070个观测值的回归模型为:

(iii)使用2070个观测值的标准误与使用4137个观测值的标准误的比率为1.04。根据教材(5.10)的经验法则,预期标准误的收缩速度为样本容量平方根的倒数。本题中(4137/2070) 1/2 ≈1.41,大于真实标准误的比率,即标准误的收缩速度略慢于样本容量变化速度。

C3.在第4章的(4.42)式中,使用数据集BWGHT,计算检验motheduc和fatheduc是否为联合显著的LM统计量。获得约束模型的残差时,确认约束模型的估计是只使用非约束模型所有变量均可获得的那些观测进行的。

答: 首先用bwght对cigs,parity,faminc,mothedu和fathedu回归,并获得残差,然后把残差再次对这些变量进行回归。辅助回归的R 2 为0.0024,LM统计量为2.86,对应的p值为0.239。这个p值很接近F检验的p值。这里使用的数据需与非约束模型的相同,只是用1191个观测值。

C4.一些统计量常用于检验总体分布的非正态性。这里我们将学习一个度量分布偏度的统计量。回忆一下,任何服从正态分布的随机变量都是关于其均值对称的。因此,如果我们将一个分布对称的随机变量标准化,即z=(y-μ y )/σ y ,其中μ y =E(y),σ y =sd(y)。那么z的均值为0,方差为1,且E(z 3 )=0。给定数据的一个样本,{y i :i=1,…,n},通过使用公式z i =(y i μ ( ) y )/ σ ( ) y ,我们可以在样本中标准化y i ,其中 μ ( ) y 是样本均值;而 σ ( ) y 是样本标准差。(我们忽略它们是基于样本的估计。)一个度量偏度的样本统计量是 ,或者进行自由度调整,用n-1替代n。如果y的总体服从正态分布,那么对标准化的样本值进行偏度度量的结果不应该显著异于0。

(i)首先我们使用401KSUBS数据集,只保留fsize=1的观测,得出inc的偏度度量。对log(inc)进行同样的操作。哪一个变量的偏度更大,因此看起来更不像正态分布?

(ii)接下来使用BWGHT2,得出bwght和log(bwght)的偏度度量。你能总结出什么?

(iii)评价下面的命题:“对数形式转换往往使得一个正值变量看起来更接近正态分布。”

(iv)如果我们关注回归中的正态性假定,是否应该评估y和log(y)的非条件分布?请解释。

答: (i)只保留fsize=1,得到inc的偏度度量为1.86,log(inc)的偏度度量为0.360。log(inc)的偏度度量更小,所以inc看起来更不像正态分布。

(ii)bwght的偏度度量为-0.60,log(bwght)的偏度度量为-2.95。这里取了对数之后更加不像正态分布。

(iii)这种说法是不合理的。在本题第(ii)部分,取了对数之后反而更加不接近正态分布。一般而言,取了对数之后通常会降低偏度,更加接近正态分布。

(iv)不用评估被解释变量及其对数的非条件分布。对于回归分析来说,应该关注被解释变量的条件分布。通常来说在MLR.1和MLR.3的条件下,被解释变量的条件分布与误差性u的条件分布相同。

C5.考虑第4章计算机练习C11中使用HTV数据得到的分析,其中educ是因变量。

(i)educ在样本中呈现了多少不同的值?educ的分布连续吗?

(ii)画出变量educ的柱状图,并附上正态分布曲线。educ的分布与正态分布接近吗?

(iii)下面这个模型明显违背了哪条经典线性模型假设?

educ=β 0 +β 1 motheduc+β 2 fatheduc+β 3 abil+β 4 abil 2 +u

在第4章计算机练习C11中,违背这一条将会如何改变统计推断步骤的进行?

答: (i)变量educ的取值从6到20,呈现出15个离散值。educ的分布不是连续的,也不是接近于连续的。

(ii)图形如图5-3所示:

图5-3 educ分布直方图

即使不考虑educ的离散性,变量educ也不符合正态分布,当educ为12时,明显高于正态分布曲线。

(iii)因为educ不具有独立于解释变量的正态分布,所以MLR.6不再满足。这意味着无法进行精确的统计推断,必须依赖渐近分析。这本身并没有改变进行统计推断的方式:尽管没有正态性,但使用的方法是完全相同的,只是推断仅适用于近似情况。

C6.使用ECONMATH的数据回答下列问题。

(i)从逻辑上看,变量score可以呈现的最小值和最大值分别是多少?样本中的最小值和最大值分别是多少?

(ii)考虑线性模型

score=β 0 +β 1 colgpa+β 2 actmth+β 3 acteng+u

为什么不能假定经典线性模型的第6条假设对残差项u成立?使用通常的t统计量去检验H 0 :β 3 =0会有什么后果?

(iii)估计第(ii)部分的模型,得到检验H 0 :β 3 =0的t统计量和相应的p值。针对其他人给出的下述命题:“你不能相信p值,因为这一等式中的残差项显然不服从正态分布”,你将如何为你的发现进行辩护?

答: (i)从逻辑上看,变量score可以呈现的最小值为0,最大值为100。样本中的最小值为19.53,最大值为98.44。

(ii)因为score的分布在左尾部是偏离正态分布的,这违背了正态分布的假设,即误差项u和score不满足正态分布,违背MLR.6。所以t统计量不符合t分布,F统计量不符合F分布,从而假设检验的结果可能是错误的。

(iii)估计的模型如下所示:

变量acteng的t值为-2.48,对应的p值为0.013。

这种说法不准确,因为如果样本很大,根据中心极限定理,t统计量近似服从t分布。 fBLX6fRb6MBcHSfDccw8yRLo4Gyy/muqkh26OFN/UEbw0EMpXI5ZxFLvSUmH+5As

点击中间区域
呼出菜单
上一章
目录
下一章
×