购买
下载掌阅APP,畅读海量书库
立即打开
畅读海量书库
扫码下载掌阅APP

3.2 课后习题详解

一、习题

1 利用GPA2中有关4137名大学生的数据,用OLS估计了如下方程:

式中,colgpa以四分制度量,hsperc是在高中班上名次的百分位数(比方说,hsperc=5,就意味着位于班上前5%之列),而sat是在学生能力测验中数学和语言的综合成绩。

(i)为什么hsperc的系数为负也讲得通?

(ii)当hsperc=20且sat=1050时,大学GPA的预测值是多少?

(iii)假设两个在高中班上具有同样百分位数的高中毕业生A和B,但A学生的SAT分数要高出140分(在样本中相当于一倍的标准差),那么,预计这两个学生的大学GPA会相差多少?这个差距大吗?

(iv)保持hsperc不变,SAT的分数相差多少,才能导致预测的colgpa相差0.50或四分制的半分?评论你的结论。

答: (i)在高中班上名次的百分位数(hsperc)越小,学生在高中排名就越好,越大则排名越差。系数为负说明在其他条件不变的情况下,学生在高中的排名越差,他/她预计的GPA将越小。

(ii)将hsperc=20,sat=1050代入估计方程可得:colgpa=1.392-0.0135×20+0.00148×1050=2.676。

(iii)预计中A的成绩比B的成绩高出0.00148×140=0.2072。可见,这个差距较大。

(iv)当hsperc不变时,Δcolgpa=0.00148Δsat。当Δcolgpa=0.5时,(Δsat)=0.5/(0.00148)≈338。

在其他条件不变的情况下,SAT分数的差异约为338分,才能预测colgpa相差0.50。

2 用WAGE2中有关男工人的数据估计如下方程:

式中,educ为受教育年数;sibs为兄弟姐妹的个数;meduc为母亲受教育的年数;而feduc则为父亲受教育的年数。

(i)sibs是否具有预期的影响?请给出解释。保持meduc和feduc不变,为了使预测的受教育年数减少一年,需要sibs增加多少?(这里不要求答案为整数。)

(ii)讨论对meduc的系数的解释。

(iii)假设一个男工人A没有兄弟姐妹,其父母都接受了12年的教育。另一个男工人B也没有兄弟姐妹,但其父母都接受了16年的教育。预计B和A所接受教育的年数差别为多少?

答: (i)sibs具有预期的影响。家庭中兄弟姐妹的个数越多,每一个小孩受教育的年数都会减少。为了使预测的受教育年数减少一年,需要增加Δsibs=1/0.094≈10.6。

(ii)变量sibs和feduc保持不变,则母亲受教育的年数每增加一年,预计其受教育年数将会增加0.131年。

(iii)因为兄弟姐妹的个数是相同的,但是meduc和feduc均不相同,故meduc和feduc的系数都要考虑到,因此B和A所接受教育的年数差别为:(0.131+0.210)×4=1.364(年),结果表明预计B所接受教育的年数会比A要长1.364年。

3 下面这个模型是比德尔和哈默梅什(Biddle and Hamermesh,1990)所用多元回归模型的一个简化版本,原模型研究睡眠时间和工作时间之间的取舍,并考查其他影响睡眠的因素:

sleep=β 0 +β 1 totwrk+β 2 educ+β 3 age+u

式中,sleep和totwrk都以分钟/周为单位,而educ和age则以年为单位。(也可参见第2章的计算机练习C3。)

(i)如果成年人为工作而放弃睡眠,β 1 的符号是什么?

(ii)你认为β 2 和β 3 的符号应该是什么?

(iii)利用SLEEP75中的数据,估计出来的方程是

如果有人一周多工作5个小时,预计sleep会减少多少分钟?这是一个很大的舍弃吗?

(iv)讨论educ的估计系数的符号和大小。

(v)你能说totwrk、educ和age解释了sleep的大部分波动吗?还有其他什么因素可能影响花在睡眠上的时间?它们与totwrk可能相关吗?

答: (i)成年人为了工作放弃睡眠,则预期工作时间越长,睡眠时间越少(控制其他因素不变)。β 1 的符号应该为负。

(ii)β 2 和β 3 的符号不明确。一些人认为更高教育水平的人想获得更多,其他条件相同的情况下,他们休息的就会较少,此时β 2 <0;但是也可能出现更高教育水平的人更注重休息的质量以保障脑部的活力,睡眠时间更长,此时β 2 >0。睡眠与年龄之间的关系比这个模型描述的更为复杂,经济学家不能很好的判断这件事情。

(iii)因为totwrk都以分钟/周为单位,因此将时转化为分可得Δtotwrk=5×60=300。

预计睡眠将会下降0.148×300=44.4(分钟)。对一周而言,这并不是一个很大的变化。

(iv)受教育年限educ越多暗示着预计睡眠时间越少,但是这种影响是很小的。假设在其他条件不变的情况下,大学和高中的区别是四年间大学毕业生每周睡眠时间比高中少45分钟。

(v)不能,totwrk、educ和age只解释了11.3%的sleep的变异。一个包含在误差项中的重要因素是总体健康状况。另一个重要因素是婚姻状况,以及是否有孩子。健康、婚姻状况、孩子的数量和年龄与totwrk是相关的。(例如,身体状况不好的人倾向于工作的时间比较少。)

4 刚从法学院毕业的学生的起薪中位数由下式决定:

log(salary)=β 0 +β 1 LSAT+β 2 GPA+β 3 log(libvol)+β 4 log(cost)+β 5 rank+u

式中,LSAT为整个待毕业年级LSAT成绩的中位数;GPA为该年级大学GPA的中位数;libvol为法学院图书馆的藏书量;cost为进入法学院每年的费用;而rank为法学院的排名(rank=1的法学院是最好的)。

(i)解释为什么我们预期β 5 ≤0。

(ii)你预计其他斜率参数的符号如何?给出你的理由。

(iii)使用LAWSCH85中的数据,估计出来的方程是

在其他条件不变的情况下,预计GPA中位数相差1分会导致薪水有多大差别?(用百分比报告你的答案。)

(iv)解释变量log(libvol)的系数。

(v)你是否认为应该进入一个排名更靠前的法学院?从预计的起薪来看,排名相差20位的价值有多大?

答: (i)法学院的排名越低,说明该学院的声望越差,这会降低起薪。例如,排名100意味着还有99所学校更好。因此预期β 5 ≤0。

(ii)预计β 1 >0,β 2 >0,因为LSAT和GPA都衡量了待毕业班级的质量,平均来说,学生进入更好的法学院,说明学生自身能力较强,预计会挣得更多。β 3 、β 4 >0,法学院图书馆的藏书量以及进入法学院每年的费用都衡量了学校的质量。(入学成本的作用没有藏书量那么明显,但反映了教员和硬件设施的质量。)

(iii)预计GPA中位数相差1分会导致薪水增加24.8%。

(iv)log(libvol)的系数的含义:图书馆的藏书量每增加1%,法学院待毕业学生的起薪将增加0.095%。

(v)最好应该进入一个排名更靠前的法学院。

排名相差20位预测起薪差异为:100×0.0033×20=6.6%。

5 在一项调查大学GPA与在各种活动中所耗费时间之间关系的研究中,你对几个学生分发了调查问卷。学生被问道,他们每周在学习、睡觉、工作和闲暇这四种活动中各花多少小时。任何活动都被列为这四种活动之一,所以对每个学生来说,这四个活动的小时数之和都是168。

(i)在模型GPA=β 0 +β 1 study+β 2 sleep+β 3 work+β 4 leisure+u中,保持sleep、work和leisure不变而改变study是否有意义?

(ii)解释为什么这个模型违背了假设MLR.3。

(iii)你如何重新构建这个模型,才能使得它的参数具有一个有用的解释,而又不违背假设MLR.3?

答: (i)没有意义。因为四种活动的总时间固定为168小时,其他三种不变,则study时间也不会改变。

(ii)从(i)可知,study是其他三种活动的线性函数:study=168-sleep-work-leisure。

这种关系对于每一个观测值都成立,变量之间具有完全的共线性,因此违背了MLR.3。

(iii)应该去掉一个解释变量leisure,模型变为:GPA=β 0 +β 1 study+β 2 sleep+β 3 work+u。

β 1 是study的参数,当其他条件不变的情况下,study每增加一小时,GPA增加β 1 。但是如果学习时间增加一小时,leisure时间必须减少一小时。其他参数解释与此类似。

6 考虑含有三个自变量的多元回归模型,并满足假设MLR.1到MLR.4,y=β 0 +β 1 x 1 +β 2 x 2 +β 3 x 3 +u,你对估计x 1 和x 2 的参数之和感兴趣;把二者之和记为θ 1 =β 1 +β 2

(i)证明 θ ( ) 1 β ( ) 1 β ( ) 2 是θ 1 的一个无偏估计量。

(ii)求出用Var( β ( ) 1 )、Var( β ( ) 2 )和Corr( β ( ) 1 β ( ) 2 )表示的Var( θ ( ) 1 )。

答: (i)E( θ ( ) 1 )=E( β ( ) 1 β ( ) 2 )=E( β ( ) 1 )+E( β ( ) 2 )=β 1 +β 2 =θ 1

(ii)Var( θ ( ) 1 )=Var( β ( ) 1 β ( ) 2 )=Var( β ( ) 1 )+Var( β ( ) 2 )+2Corr( β ( ) 1 β ( ) 2 )[Var( β ( ) 1 )] 1/2 [Var( β ( ) 2 )] 1/2

7 下面哪些因素会导致OLS估计量出现偏误?

(i)异方差性。

(ii)遗漏一个重要变量。

(iii)模型中同时包含的两个自变量之间的样本相关系数达到0.95。

答: 只有(ii)才会导致OLS出现偏误,且所遗漏的变量必须与模型中包含的变量是相关的。模型中出现异方差并不影响OLS估计量的无偏性,仅影响估计量的方差。样本解释变量之间共线性的程度并不影响高斯-马尔科夫假设。只有当自变量之间完全共线时,才会违背MLR.3。

8 假设制造业中每个工人的平均生产力(avgprod)取决于培训的平均小时数(avgtrain)和工人的平均能力(avgabil)两个因素:

avgprod=β 0 +β 1 avgtrain+β 2 avgabil+u

假设这个方程满足高斯-马尔科夫假设。如果将培训津贴给了那些工人能力较差的企业,以致avgtrain和avgabil呈负相关,那么,将avgprod对avgtrain进行简单回归所得到的 ,可能出现什么样的偏误?

答: 利用教材表3.2。因为β 2 >0且Corr(x 1 ,x 2 )<0,因此 存在一个向下的偏误,即 。这意味着,简单回归估计低估了培训时间的影响。即使β 1 >0, 也可能是负的。

9 下面的方程描述了社区的房价中位数和污染量(nox表示一氧化二氮的含量)、社区房屋的平均房间数(用rooms表示)之间的关系:

log(price)=β 0 +β 1 log(nox)+β 2 rooms+u

(i)β 1 和β 2 的符号可能是什么?β 1 的意义是什么?请解释。

(ii)为什么nox[或者更准确地说是log(nox)]和rooms是负相关关系?在这种情况下,log(price)对log(nox)的简单回归会产生β 1 的向上有偏估计量还是向下有偏估计量?

(iii)用HPRICE2中的数据估计以下方程:

这些简单回归和多元回归中price关于nox的弹性估计之间的关系能否得到第(ii)部分的答案?这是否意味着-0.718比-1.043更接近真实的弹性?

答: (i)预期β 1 <0,因为更多的污染量使得该社区房价更低;β 2 的符号可能为正,因为房间数量可能衡量了房子的大小,住宅越大可能房价越高。

由于房价和污染量都取了对数,因此β 1 衡量了房价关于污染的弹性。

(ii)如果假设房间数量随着住宅的质量而增长,则污染量的对数和房间数量可能是负相关的,因此污染越多,说明住宅所在的环境越差,房间数量也会越少。这种条件下,β 2 >0且Corr[log(nox),rooms]<0,因此 存在一个向下的偏误,即 。简单回归估计低估了污染量的影响。

(iii)回归结果和在(ii)预期的较为一致,一元回归的系数-1.043比二元回归的系数-0.718要更小。因为这些回归只是一次样本的结果,无法知道哪种更加接近真实的弹性。但如果这是一个“典型”样本,β 1 更接近-0.718。

10 假设你对估计其他条件不变的情况下y和x 1 之间的关系感兴趣。为此,你可以搜集两个控制变量x 2 和x 3 的数据。(为真实起见,你可以想象y为期末考试分数,x 1 为到课率,x 2 为上学期之前的GPA,x 3 为SAT或ACT分数。)令 表示y对x 1 进行简单回归的系数估计值,而 β ( ) 1 为y对x 1 、x 2 、x 3 进行多元回归的斜率估计值。

(i)若样本中x 1 与x 2 和x 3 高度相关,且x 2 和x 3 对y具有很大的偏效应,你会预计 β ( ) 1 是十分类似还是十分不同?请解释。

(ii)若x 1 与x 2 和x 3 几乎无关,但x 2 和x 3 高度相关,你会预计 β ( ) 1 是十分类似还是十分不同?请解释。

(iii)若样本中x 1 与x 2 和x 3 高度相关,且x 2 和x 3 对y具有很小的偏效应,那么 和se( β ( ) 1 )哪个更小?请解释。

(iv)若x 1 与x 2 和x 3 几乎无关,x 2 和x 3 对y具有很大的偏效应,并且x 2 与x 3 高度相关,那么 和se( β ( ) 1 )哪个更小?请解释。

答: (i)由对遗漏变量的讨论可知,因为x 1 与x 2 和x 3 高度相关,x 2 和x 3 对y具有很大的偏效应,此时由于x 1 的VIF值非常大,简单和多元回归中x 1 的系数将会有很大的差异。

(ii)若x 1 与x 2 和x 3 几乎无关但x 2 和x 3 高度相关,此时x 1 的VIF值非常接近1,预计 β ( ) 1 十分类似。因为x 1 与x 2 和x 3 的相关程度很低,则x 2 和x 3 的相关程度对多元回归中对x 1 的回归估计没有直接的影响。

(iii)在本例中,x 2 和x 3 对y有一个很小的偏效应,并且x 2 和x 3 与x 1 高度相关,加入x 2 和x 3 大幅度增加了x 1 的系数的标准误,因此:

(iv)se( β ( ) 1 )更小。在模型中加入x 2 和x 3 将会减少残差,而不导致多重共线性(因为x 1 几乎不和x 2 和x 3 相关),因此可得:

x 2 和x 3 的相关关系并不影响se( β ( ) 1 )。

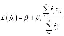
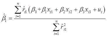
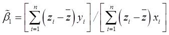
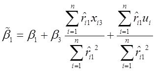
11 假设决定y的总体模型是y=β 0 +β 1 x 1 +β 2 x 2 +β 3 x 3 +u,而这个模型满足假设MLR.1到MLR.4。但我们估计了漏掉x 3 的模型。令 为y对x 1 和x 2 回归的OLS估计量。(给定样本中自变量的值,)证明 的期望值是:

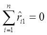
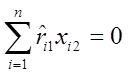
式中, r ( ) i1 是x 1 对x 2 回归所得到的OLS残差。[提示: 的公式来自方程(3.22)。将y i =β 0 +β 1 x i1 +β 2 x i2 +β 3 x i3 +u i 代入这个方程。经过一些计算之后,将x i3 r ( ) i1 视为非随机量来取期望。]

答: 由教材公式(3.22)可得:

代入真实的模型可得:

因为 r ( ) i1 是x i1 对x i2 回归的残差, r ( ) i1 有零均值,且与x i2 无关。即:

因此等式中的分子简化为:

将分子代入原式得:

由于随机误差项的均值为0,因此:

12 以下方程表示,在由美国各个县构成的总体中,各种税收比例对随后就业增长方面的影响:

growth=β 0 +β 1 share P +β 2 share I +β 3 share S +其他因素

式中,growth为就业从1980年到1990年的变化百分比;share P 为总税收收益中财产税的比例;share I 为所得税税收收益的比例;而share S 为销售税税收收益的比例。所有这些变量都以1980年的货币度量。遗漏的比例share F 包括收费和杂项税收。根据定义,这四个比例之和为1。其他因素将包括对教育、基础设施等的支出(均以1980年货币度量)。

(i)我们为什么必须从方程中省略一个税收比例变量?

(ii)对β 1 给出一个仔细的解释。

答: (i)四种税收的比例之和为1,如果不省略一种税收的比例,方程就会遭遇完全共线性。在这种情形下,各个系数的标准差都将趋于无穷大。参数不存在“其他条件不变”的情况,也就是说,只改变一种税收的比例不可能维持所有其他的变量保持不变。

(ii)因为每一种税收分担一个比例(最大为1,此时其他税收所占份额为0),因此增加1单位的财产税收益比例share P 是无意义的。如果share P 增加1%,即1%个单位的变化,在保持其他因素不变的情况下,growth会下降β 1 %。

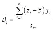
13 (i)在前四个高斯-马尔科夫假设下,考虑简单回归模型y=β 0 +β 1 x 1 +u。对某个函数g(x),比如g(x)=x 2 或g(x)=log(1+x 2 ),定义z i =g(x i )。定义一个斜率估计量为

证明 是线性无偏的。记住,在你的推导过程中,因为E(u|x)=0,所以你可以把x i 和z i 都看成非随机的。

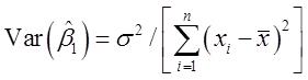
(ii)增加同方差性假设MLR.5,证明

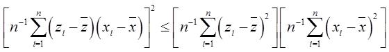
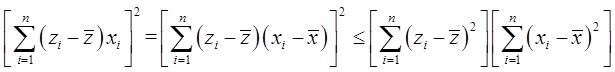
(iii)在高斯-马尔科夫假设下,直接证明 ,其中 β ( ) 1 是OLS估计量。[提示:书末附录数学复习B中的柯西-施瓦兹不等式意味着

注意,我们可以将 x ( _ ) 从样本协方差中去掉。]

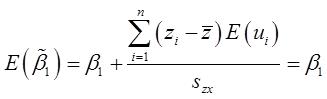
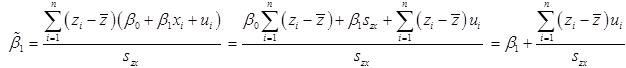
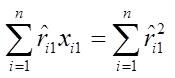
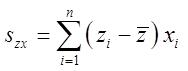
证明: (i)记:

这不完全是z和x样本协方差,因为并没有除以n-1。但为了简化计算而使用它。由此可知:

这是一个y i 的线性函数,设权重为:w i =(z i z ( _ ) )/s zx 。为了表示无偏性,将y i =β 0 +β 1 x i +u i 加入该方程可得:

因为:

s zx 是z i 、x i 和预计期望值的函数。对于所有的i,都有E(u i )=0。因此可得:

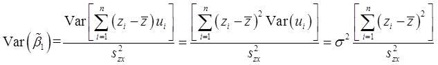
(ii)据第(i)部分可得:

(iii)已知:

x ( _ ) 从样本协方差中去掉,消去n 1 ,可以得到:

即:

两边乘以σ 2 ,可得

14 假设你有变量y、x 1 和x 2 的n个数据样本,并且你主要对x 1 对y的影响感兴趣。令 表示简单回归中x 1 的系数, β ( ) 1 表示y对x 1 和x 2 回归得到的x 1 的系数。回归软件包得到的标准误结果为

式中, 为简单回归的SER; σ ( ) 为多元回归的SER;VIF 1 =1/(1-R 1 2 );R 1 2 表示x 1 对x 2 回归的R 2 。解释为什么se( β ( ) 1 )会大于或小于

答: 根据se( β ( ) 1 )和 的表达式,当β 2 ≠0时,一元线性回归排除了一个与模型相关的变量,除非x 1 和x 2 之间没有关联,否则会导致对 的估计出现偏误。对于二元回归,不管β 2 是否等于0, β ( ) 1 都是一个无偏的估计量,如果偏误是唯一的判断准则,则 β ( ) 1 更好。当比较两者的标准误时, 会比se( β ( ) 1 )更小,除非x 1 和x 2 之间的相关系数为零。

15 下面的估计等式用到了MLB1中的数据,包含了美国职业棒球大联盟的工资数据。因变量lsalary是工资的log值。两个解释变量是在联盟中的工作时间(years)和每年击中球的流量数(rbisyr):

(i)每个回归分别有多少自由度?为什么第二个回归中SER的值小于第一个回归?

(ii)years和rbisyr的样本相关系数大概是0.487。这有什么意义吗?多元回归的斜率系数的方差膨胀因子是多少?years和rbisyr的共线性是轻微的、稳健的还是强的?

(iii)为什么多元回归中years的系数的标准误比其在简单回归中小?

答: (i)对于第一个回归,样本是353,涉及到2个回归系数,因此自由度为353-2=351;对于第二个回归,样本是353,涉及到3个回归系数,因此自由度是353-3=350。

标准差比一元回归更小是因为有新的解释变量加入了模型之中,残差项解释的部分更少了,SSR由326.196降低到198.475。

(ii)years和rbisyr的样本相关系数为0.487说明years和rbisyr之间存在一定的正相关。

计算得到的方差膨胀因子VIF=1/(1-0.597)≈2.48139。这表明变量years和rbisyr之间存在轻微的共线性。

(iii)根据多元回归变量的回归系数的表达式se( β ( ) years )= σ ( ) /[SST(1-R years 2 1/2 ]。

由于标准差比一元回归的标准差更小。当新增一个变量时,SSR由326.196降低到198.475。自由度也降低了1个,因此多元回归中系数的标准差比原来一元回归中的系数标准差更小。

16 下面的估计等式用到了LAWSCH85中的数据:

为什么等式中加入了变量age后R 2 的值变小了?

答: 当样本量一致时,不停往模型中增加变量只会增加模型的R 2 值,永远不会减少。从上述结果来看,如果样本量仍为142,增加age的变量,R 2 的值一定会增大。但是样本量减少了,因此增加age可能导致了样本量的减少,进而导致了R 2 减少。

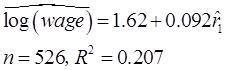
17 考虑一个工人的小时工资wage的估算公式,其中受教育年限educ和实际工作年限exper均以年为单位。因变量为lwage=log(wage):

假设多接受一年的教育必然会减少一年的工作经验。再接受一年的教育后,估计工资变动的百分比是多少?

答: 多接受一年的教育必然会减少一年的工作经验,因此,在评估额外一年教育对工资的影响时,必须同时考虑到工作经验减少一年的影响。随着教育年限增加一年,对数工资上升了0.094,但工作经验减少一年又会导致对数工资下降0.026。这样一来,净效应是对数工资增加了0.068。由于这是一个半对数模型,所以接受一年的教育后,估计工资增加的百分比大约为6.8%。[精确的结果为100×(e 0.068 -1)%=7.04%。]

18 3.7e节中的潜在结果框架可以扩展到两个以上的潜在结果。事实上,我们可以使政策变量w取许多不同的值,y(w)表示级别为w的政策的相应结果。具体而言,假设w为在大学里可以用来购买书籍和电子产品的助学金数额,y(w)是衡量大学表现的一个指标,比如平均绩点。例如,如果学生没有获得助学金,则y(0)表示其平均绩点;如果助学金数额为500美元,则y(500)表示其平均绩点。

对于一个随机下标i,我们需要观察助学金的级别w i ≥0以及相应的y i =y(w i )。在二元政策评价中,我们只需观察政策级别w i ,以及与该级别对应的那个结果。

(i)假设线性关系:

y(w)=α+βw+v(0)

式中,y(0)=α+v。进一步假设对所有i,w i 都独立于v i 。证明:对所有i,我们都有

y i =α+βw i +v i

E(v i ∣w i )=0

(ii)在第(i)部分的设定中,对于给定的随机样本,你应当如何估计β(和α)?证明你的答案。

(iii)现在假设w i 可能与v i 相关,但对于一组观测到的x ij

E(v i ∣w i ,x i1 ,…,x ik )=E(v i ∣x i1 ,…,x ik )=η+γ 1 x i1 +…+γ k x ik

第一个等号成立的条件是,以(x i1 ,…,x ik )为条件,w i 独立于v i 。第二个等号假设了一个线性关系。证明:

y i =ψ+βw i +γ 1 x i1 +…+γ k x ik +u i

E(u i ∣w i ,x i1 ,…,x ik )=0

截距ψ是什么?

(iv)你如何估计第(iii)部分中的β(以及ψ和γ j )?说明理由。

答: (i)因为政策变量与误差项v i 相互独立,每一个观测值y i 均可表述为政策变量和误差项的函数形式,具体表达式为y i =α+βw i +v i 。这一模型结构能够体现政策变量不同水平的情况。举例来说,当政策变量取值为0时,观测值y(0)等于截距项α加上误差项v(0),即y(0)=α+v(0);而当政策变量取值为1时,观测值y(1)则为截距项α、政策变量的影响系数β以及误差项v(1)之和,即y(1)=α+β+v(1)。

(ii)可以通过对y i 关于w i 进行回归来估计α和β。这是可行的,因为w i 与v i 独立,从而满足了MLR.4的条件,即E(v i ∣w i )=0。

(iii)已知E(v i ∣w i ,x i1 ,…,x ik )=E(v i ∣x i1 ,…,x ik )=η+γ 1 x i1 +…+γ k x ik ,如果定义u i =v i -(η+γ 1 x i1 +…+γ k x ik ),则E(u i ∣w i ,x i1 ,…,x ik )=0,因此可以运行如下回归分析:

y i =ψ+βw i +γ 1 x i1 +…+γ k x ik +u i

其中,ψ=α+η。

(iv)可以通过对y i 关于w i ,x i1 ,…,x ik 进行回归来估计β,ψ以及γ j 。这将产生无偏估计,因为误差项在给定条件下的均值为零:E(u i ∣w i ,x i1 ,…,x ik )=0。

二、计算机练习

C1.健康官员(和其他人)所关心的一个问题是:孕妇在怀孕期间抽烟对婴儿健康的影响。对婴儿健康的度量方法之一是婴儿出生时的体重;过低的出生体重会使婴儿有感染各种疾病的危险。由于除了抽烟之外,其他影响婴儿出生体重的因素可能与抽烟相关,所以我们应该考虑这些因素。比如,高收入通常会使母亲得到更好的产前照顾和更好的营养。表达这一点的一个方程是

bwght=β 0 +β 1 cigs+β 2 faminc+u

(i)β 2 的符号最可能是什么?

(ii)你是否认为cigs与faminc可能相关?解释为什么可能是正或负相关。

(iii)现在利用BWGHT中的数据分别估计包含和不包含faminc的方程。以方程的形式报告结论,包括样本容量和R 2 。讨论你的结论,主要看增加faminc是否会显著改变cigs对bwght的估计影响。

答: (i)最可能的符号是β 2 >0。高收入通常会使母亲得到更好的产前照顾和更好的营养,从而使得婴儿出生体重较大。

(ii)一方面,收入的增加会使得商品的消费增加,因此两者是正相关关系。另一方面,家庭收入越高,家庭成员所受的教育越高,吸烟的可能性越低,因此收入与吸烟是呈负相关关系的。实际上,样本中两者呈负相关关系,相关系数为-0.173。

(iii)不包含和包含变量faminc的回归方程分别为:

及:

可以看出,加入变量faminc的回归中,吸烟的影响较小,但两者的差别不大。这是因为吸烟和家庭收入之间并不是非常相关,而faminc的系数实际上是非常小的,1988年10000美元的家庭收入增长使得预计出生体重仅增加0.93盎司。

C2.使用HPRICE1中的数据,估计如下模型:

price=β 0 +β 1 sqrft+β 2 bdrms+u

式中,price是以千美元为单位的住房价格。

(i)以方程的形式报告结果。

(ii)住房在保持面积不变的同时又增加了一间卧室,估计其价格会提高多少?

(iii)住房增加一间大小为140平方英尺的卧室,估计其价格会提高多少?将这个答案与你在第(ii)部分的答案比较。

(iv)价格的波动有多大比例能被平方英尺数和卧室数解释?

(v)样本中的第一套住房有sqrft=2438和bdrms=4。从OLS回归线中得到这套住房的预计销售价格。

(vi)样本中第一套住房的实际销售价格是300000美元(price=300)。求出这套住房的残差。它是否表明购买者为这套住房支付了过低或过高的价格?

答: (i)估计方程为:

(ii)其价格会提高:Δprice=15.20Δbdrms=15.2,即15200美元。

(iii)估计其价格会提高:Δprice=0.128Δsqrft+15.20Δbdrms=0.128×140+15.20=33.12,即33120美元。

(iv)价格的波动有63.2%能被平方英尺数和卧室数解释。

(v)这套住房的预计销售价格为:-19.32+0.128×2438+15.2×4=353.544,即353544美元。

(vi)实际销售价格为300000美元,预计价格为353544美元,残差为实际观察值与回归估计值的差,即-53544美元。购买者为这套住房支付了过低的价格。当然,还存在一些其他的无法测量的因素影响房屋的价格,模型并未将这些因素完全纳入进来。

C3.文件CEOSAL2包含了177位首席执行官的数据,并可用来考察企业业绩对CEO薪水的影响。

(i)估计一个将年薪与企业销售量和市场价值相联系的模型。让这个模型对每个自变量的变化都具有常弹性。以方程的形式报告结果。

(ii)在第(i)部分的模型中增加profits。为什么这个变量不能以对数形式进入模型?你会说这些企业业绩变量解释了CEO薪水波动中的大部分吗?

(iii)在第(ii)部分的模型中增加ceoten。保持其他条件不变,延长一年CEO任期,估计的百分比回报是多少?

(iv)求出变量log(mktval)和profits之间的样本相关系数。这些变量高度相关吗?这对OLS估计量有何意义?

答: (i)常弹性方程为:

(ii)profits不能以对数形式进入模型的原因在于:样本中的9个公司的利润为负,如果采用对数形式,将会在模型中丢失这些数据。估计模型如下:

profits的系数非常小,在这里,profits是以百万度量的,所以在sales和mktval保持不变的条件下,如果profits增加十亿,即Δprofits=1000,预测的薪水也仅增加3.6%。总的来说,这些变量仅解释了CEO薪水变异中的29.9%。

(iii)加入变量ceoten后的模型为:

延长一年CEO任期,估计的百分比回报是1.2%。

(iv)变量log(mktval)和profits之间的样本相关系数是0.78,这是高度相关的。这对OLS估计量的无偏性是无影响的,但会使它们的方差增大。鉴于市场价值与公司利润之间存在相当大的相关性,后者对解释首席执行官的薪酬毫无帮助也就不足为奇了。

C4.本题利用ATTEND中的数据。

(i)求出变量atndrte、priGPA和ACT的最小值、最大值和平均值。

(ii)估计模型atndrte=β 0 +β 1 priGPA+β 2 ACT+u,并以方程形式报告结果。对截距做出解释。它是否有一个有用的含义?

(iii)讨论估计的斜率系数。有没有什么令人吃惊之处?

(iv)如果priGPA=3.65和ACT=20,预计atndrte是多少?你对这个结论做何解释?样本中有没有一些学生具有这些解释变量的值?

(v)如果学生A具有priGPA=3.1和ACT=21,而学生B具有priGPA=2.1和ACT=26,他们在出勤率上的预期差异是多少?

答: (i)atndrte、priGPA和ACT的平均值、最小值和最大值如表3-7所示:

表3-7

(ii)估计方程为:

截距的含义是,当priGPA和ACT为0时,预计的atndrte为75.7%。实际上在大学里面没有学生的priGPA和ACT为0。对总体而言不存在一个有用的含义。

(iii)priGPA的系数意味着,在ACT保持不变的前提下,学生的priGPA系数提高1%,atndrte将增加17.26%。ACT的系数为负,这是令人吃惊的。在priGPA给定的前提下,ACT提高5%,预计的atndrte将下降8.6%。

(iv)预计:atndrte=75.70+17.26×3.65-1.72×20≈104.3。

学生的出勤率不可能超过100%。当用回归方法对因变量的上界和下界进行预测时可能出现这样的情况,实际上样本中学生的真实出勤率为87.5%。

(v)A和B在出勤率上的预期差异是:17.26×(3.1-2.1)-1.72×(21-26)=25.86。

即出勤率相差25.86%。

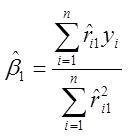
C5.通过对例3.2明确地进行“排除其他影响”的练习,证实对OLS估计值做“排除其他影响”的解释。这首先要求将educ对exper和tenure进行回归,并保留残差 r ( ) 1 。然后将log(wage)对 r ( ) 1 进行回归。将 r ( ) 1 的系数与在log(wage)对educ、exper和tenure的回归中educ的系数相比较。

答: educ对exper和tenure进行回归的模型为:

保留残差 r ( ) 1 ,然后将log(wage)对 r ( ) 1 进行回归的模型为:

在第二个回归模型中,系数 r ( ) 1 与教材公式(3.19)中educ的系数相等。以上回归的判定系数小于教材公式(3.19)的R 2 。log(wage)对 r ( ) 1 的回归解释了educ中与exper和tenure无关的部分。exper和tenure的独立效应没有包括在内。

C6.本题利用WAGE2中的数据。照常保证如下所有回归都含有截距。

(i)将IQ对educ进行简单回归,并得到斜率系数

(ii)将log(wage)对educ进行简单回归,并得到斜率系数

(iii)将log(wage)对educ和IQ进行多元回归,并分别得到斜率系数 β ( ) 1 β ( ) 2

(iv)验证:

答: (i)斜率系数

(ii)斜率系数

(iii)斜率系数 β ( ) 1 =0.03912和 β ( ) 2 =0.00586。

(iv)因为:

这与 是非常接近的。较小的差距可看作为舍入误差。

C7.利用MEAP93中的数据回答这个问题。

(i)估计模型

math10=β 0 +β 1 log(expend)+β 2 lnchprg+u

并以通常格式报告估计方程,包括样本容量和R 2 。斜率系数的符号与你的预期一致吗?请解释。

(ii)你对第(i)部分得到的截距怎么解释?特别地,令两个解释变量都等于0说得通吗?[提示:注意log(1)=0。]

(iii)现在做math10对log(expend)的简单回归,并将斜率系数与第(i)部分中得到的估计值进行比较。估计出来的花销的效应是否和第(i)部分有明显差别?

(iv)找出lexpend=log(expend)和lnchprg之间的关系,它的符号让你发现什么了吗?

(v)利用第(iv)部分解释第(i)部分中的发现。

答: (i)回归结果为:

斜率系数的符号表明,在控制lnchprg不变时,更多的花销将会增加数学的通过率。在控制花销不变时,更高的贫困率将减少通过率。这和预期的较为一致。

(ii)第(i)部分的截距说明,当log(expend)和lnchprg都为0时,math10的平均水平为-20.36。令log(expend)=0是没有意义的,此时expend=1,表示对每个学生的开销为1美元,这个不太合理,令lnchprg=0说明学校具有较低的贫困率,是在合理的范围内。

(iii)一元回归的结果为:

此时所估计的花销带来的影响比在二元回归中的更强,几乎是其两倍。

(iv)计算lexpend和lnchprg之间的相关系数约为-0.19,这意味着平均而言,更穷的学生花销更低,这也是较为合理的解释。尤其是在1993年的Michigan,学校的花销主要由当地贫困水平决定。

(v)因为Corr(x 1 ,x 2 )<0,这意味着一元回归的系数估计值将会比多元回归的估计值更大。这表明,一元回归将会高估花销带来的效应。

C8.本题利用DISCRIM中的数据。对新泽西和宾夕法尼亚的各个邮区,搜集快餐店各种商品价格和人口特征方面的数据。目的是想看一下,快餐店是否在黑人更集中的区域收取更高的价格。

(i)求出样本中prpblck和income的平均值及其标准差。prpblck和income的度量单位是什么?

(ii)考虑一个模型,用人口中的黑人比例和收入中位数来解释苏打饮料的价格psoda:

psoda=β 0 +β 1 prpblck+β 2 income+u

用OLS估计这个模型并以方程的形式报告结果,包括样本容量和R 2 。(报告估计值时不要使用科学计数法。)解释prpblck的系数。你认为它在经济上算大吗?

(iii)将第(ii)部分得到的估计值与psoda对prpblck进行简单回归得到的估计值进行比较。控制收入变量后,这种歧视效应是更大还是更小了?

(iv)收入价格弹性为常数的模型可能更加适合。报告如下模型的估计值:

log(psoda)=β 0 +β 1 prpblck+β 2 log(income)+u

若prpblck提高0.20(即20个百分点),估计psoda的变化百分比是多少?[提示:答案是2.××,你在“××”位置上填写数字即可。]

(v)现在在第(iv)部分的回归中添加变量prppov。 β ( ) prpblck 有何变化?

(vi)求出log(income)和prppov的相关系数。大致符合你的预期吗?

(vii)评价如下命题:“由于log(income)和prppov如此高度相关,所以它们不该进入同一个回归。”

答: (i)样本中prpblck平均值为0.113,标准差为0.182;income的平均值为47053.78,标准差为13179.29。prpblck的度量单位是比例,而收入的度量单位是美元。

(ii)OLS回归结果是:

prpblck增加了10个百分点,苏打饮料的预计价格将增加0.0115美元,约合1.2美分。它在经济上不算大。在无黑人的地区和其他几乎全部是黑人的地区,苏打饮料价格的差异大约是11.5美分。

(iii)简单回归估计中,prpblck的系数为0.065,因此简单回归估计的系数更低。这是因为prpblck和income是负相关的,而收入变量在多元回归中的系数为正。控制收入效应后,歧视效应变大了。

(iv)模型结果为:

若prpblck提高0.20(即20个百分点),估计psoda的变化百分比是:0.20×0.122=0.0244,即2.44%。

(v)添加变量prppov后, β ( ) prpblck 下降为0.073。

(vi)log(income)和prppov的相关系数为-0.84,符合预期,因为贫困率是由收入决定的,收入越高贫困率应该越低。

(vii)log(income)和prppov之间的确是高度相关的,但是为了能够分离出纯粹的歧视效应,在模型中需要包含尽可能多地衡量收入的因素,因此模型中包含这两个变量是有意义的,即变量可以进入同一个回归。

C9.利用CHARITY中的数据回答下列问题。

(i)估计模型

gift=β 0 +β 1 mailsyear+β 2 giftlast+β 3 propresp+u

并以通常格式报告估计方程,包括样本容量和R 2 。这里的R 2 和去掉变量giftlast及propresp后的简单回归的R 2 相比结果如何?

(ii)解释mailsyear的系数。和相应的简单回归系数相比大小如何?

(iii)解释propresp的系数。注意propresp的度量单位。

(iv)现在在等式中加入变量avggift。mailsyear的估计影响有什么变化?

(v)第(iv)部分的等式中,giftlast的系数有什么变化?你认为发生了什么?

答: (i)模型估计结果为

R 2 的值约为0.0834,去掉变量giftlast及propresp后的简单回归,R 2 必定会比这一值更小。

(ii)mailsyear的系数表明,在控制giftlast和propresp不变后,每年多寄一个邮件,将会平均而言增加2.17个礼物。在简单回归中,这一结果是2.65,多元回归的该系数比简单回归更小。

(iii)propresp的系数表明,在控制mailsyear和giftlast不变后,propresp的比例每增加1单位,礼物数量会增加15.36,这也可以表达为propresp每增加10个百分点,礼物数量将增加1.536个单位。

(iv)加入新的变量后,回归结果为

在控制了以往的礼物水平后,每年的邮件数量带来的效应变得更小了,几乎是原来的一半。

(v)在控制了过去礼物的平均值之后,可以发现,当前的礼物数量与最近的礼物呈负相关。这种负向的关系是有一定道理的,因为人们可能会在一笔大的赠送之后再赠送一笔小的。

C10.本题利用HTV中的数据。数据包括1991年工作的1230个男性的工资、受教育程度、父母的受教育程度及其他变量的信息。

(i)样本中educ的取值范围是多少?最高学历是12年级的人占多大百分比?这些人或他们的父母平均来说有更高的受教育程度吗?

(ii)估计模型:

educ=β 0 +β 1 motheduc+β 2 fatheduc+u

用OLS估计这个模型并以方程的形式报告结果。变量educ多大程度的样本变化可以用父母的受教育程度来解释?解释motheduc的系数。

(iii)将变量abil(对认知能力的衡量)加入第(ii)部分的回归中,并以方程的形式报告结果。控制父母教育程度变量后,“认知能力”是否有助于解释受教育程度的变化?请解释。

(iv)(需要计算器)估计abil以二次形式出现的模型:

educ=β 0 +β 1 motheduc+β 2 fatheduc+β 3 abil+β 4 abil 2 +u

利用估计值 β ( ) 3 β ( ) 4 ,用计算器得到educ取最小值时abil的值,记作abil * 。(父母的受教育程度变量的系数和值没有影响;我们控制父母的受教育程度不变。)注意到abil的定义,允许其为负值。你还可以证明二阶导数是正的,所以存在最小值。

(v)证明只有样本中的小部分人的“认知能力”小于第(iv)部分计算得到的值。这为什么重要?

(vi)如果你会操作带有绘图功能的统计软件,利用第(iv)部分的估计结果绘制预测的受教育程度和abil的关系图。令matheduc和fatheduc分别等于它们的样本均值12.18和12.45。

答: (i)educ的取值范围从6到20,最高学历是12年级的人占41.63%。在样本中平均的受教育程度是13.04,比父母的平均水平更高,其中母亲的平均受教育程度为12.18,父亲的平均受教育程度为12.45。

(ii)估计结果为:

从回归结果上来看,大约有25%的受教育程度的变异可以由父母的受教育程度所解释,回归系数表明,控制父亲的受教育程度不变,母亲的受教育程度每提升1年,孩子的受教育程度将增加0.304年;控制母亲的受教育程度不变,父亲的受教育程度每增加1年,孩子的受教育程度将增加0.190年。

(iii)将abil代入模型中,得到新的回归结果为:

加入abil变量后,解释力度由原来的24.9%增加到了42.8%,有一个较大幅度的增加。

(iv)当加入abil 2 后,估计结果为:

对educ关于abil取差分,得到0.401+0.102abil,使这个式子等于零,求解得到最优的abil为:abil * =-0.401/0.102≈-3.93。

(v)在1230个样本中,只有15个的能力小于-3.93,只占了总样本的1.2%。这个结果说明可以忽略这一部分能力低于-3.93的能力,即对于大部分人而言,abil和educ之间还是存在正向影响。

(vi)将motheduc和fatheduc的均值代入模型中,得到educ和abil的二次关系,绘制曲线图为:

图3-1 educ和abil之间的二元关系图

从图中可以看到,这条曲线的最低点在-4附近,和前面计算的结果一致。

C11.利用MEAPSINGLE中的数据研究单亲家庭对学生数学成绩的影响。这些数据是2000年密歇根东南部的学校的子集。社会经济变量在邮政编码水平上获得(邮政编码基于学校的邮寄地址确定)。

(i)做math4对pctsgle的简单回归并按照通常的方式报告估计方程。解释斜率系数的意义。单亲家庭的影响看上去大吗?

(ii)在方程中加入变量lmedinc和free。pctsgle的系数有什么变化?请解释。

(iii)计算lmedinc和free的样本相关性。它的符号和你预测的是否一致?

(iv)lmedinc和free的实际相关性是否意味着为了更好地估计单亲家庭对学生成绩的因果效应,应该在回归中去掉其中一个变量?请解释。

(v)求出第(ii)部分的回归中出现的每个解释变量的方差膨胀因子(VIF)。哪个变量有最大的VIF?这一认知会影响你用来研究单亲家庭对数学成绩的因果效应的模型吗?

答: (i)回归结果为:

此时斜率系数的含义表明,单亲家庭的孩子的比例对4年级的数学成绩优秀比例有负向影响,这种影响表现为,当单亲家庭的孩子的比例增加10个百分点时,4年级的数学成绩达到优秀的比例将会下降0.08328个百分点。

(ii)添加新的变量后,回归结果为:

pctsgle的系数由原来的-0.8328变成了-0.1996,这个变化意味着当控制了新的条件后,单亲家庭孩子比例对数学成绩的影响幅度变小了。

(iii)计算lmedinc和free的样本相关性为-0.74,这个符号和预测的一致,因为当收入的中位数上升时,免费午餐的资格也会减少。

(iv)错误,lmedinc和free的实际相关性只会影响这两个变量的系数估计精度,而如果这两个变量和单亲家庭孩子比例的变量没有相关性,都不会影响对单亲家庭对学生成绩的因果效应。

(v)根据VIF的定义,某个变量j的VIF j =1/(1-R j 2 ),其中R j 2 是变量j对剩余的变量进行回归的R 2 值。计算得到三个变量的VIF值,得到:VIF pctsgle =1/(1-0.3795)=1.6116,VIF free =1/(1-0.4455)=1.8034,VIF lmedinc =1/(1-0.3212)=1.4732。

变量free具有最大的VIF,控制变量并不会影响对主要自变量的因果推断。

C12.ECONMATH中的数据包含一所大型公立大学的学生在一门计量经济学课程的平均学分绩、考试成绩以及课程表现。被解释变量是score,课程的最终成绩以百分比计算。

(i)多少学生在这门课程上得到了优秀的成绩?平均成绩是多少?求出actmth和acteng的平均数和标准差,并比较它们的大小。

(ii)估计score对colgpa、actmth和acteng的线性方程,其中colgpa在学期初计算得到。按照通常的方式报告结果。

(iii)你是否认为数学或英语的ACT成绩是估计经济学课程表现的更好预测变量?请解释。

(iv)讨论回归方程的R 2

答: (i)根据数据显示,有20名学生在这门课中得到了优秀的成绩,成绩的平均数为72.6分。actmth的平均数为23.211,标准差为3.773,acteng的平均数为22.595,标准差为3.789。比较而言,actmth的平均分比acteng更高,标准差更低。

(ii)score对colgpa、actmth和acteng的线性方程估计结果为:

(iii)因为英语的ACT分数对课程分数有个负向的影响,因此相对而言数学ACT分数是一个更好的预测变量。

(iv)从回归结果上来看,R 2 =0.357,因此可以说有大约36%的分数变异可以由这个模型所包含的一系列的解释变量解释。

C13.使用GPA1中的数据回答此题。我们可以进行多元回归,其中我们控制学生成绩和背景等变量,并将获得的估计值与第2章计算机练习C11的结果进行比较。

(i)在简单回归方程colGPA=β 0 +β 1 PC+u中获得 β ( ) 0 β ( ) 1 。解释这些估计量。

(ii)现在在方程中加入控制变量hsGPA和ACT,即做colGPA对PC、hsGPA和ACT的回归。PC的系数与第(i)部分相比变化大吗? β ( ) hsGPA 有意义吗?

(iii)由第(ii)部分的结果分析,哪一项更重要:拥有一个PC还是在ACT成绩上增加10分?

(iv)现在在第(ii)部分的回归中增加“父母是否拥有大学学历”的二值变量。β 1 的估计值与第(ii)部分相比变化大吗?你能解释多少colGPA的波动?

(v)假设有人看了你在第(iv)部分的回归后对你说:“hsGPA和ACT这两个变量可能高度相关,所以你应当在回归中舍去其一。”你会如何回应?

答: (i)回归结果为:

没有个人电脑的学生平均GPA为2.989,而拥有个人电脑的学生的大学平均GPA则高出0.17分。

(ii)回归结果为:

包含hsGPA和ACT成绩的信息确实减少了PC变量的影响程度,但减少的幅度不大。因此,这些其他变量的影响有一小部分是由个人电脑拥有量决定的,但在控制了这些变量后,PC拥有量对colGPA的影响仍然显著。

(iii)ACT成绩每提高10分,预计会使colGPA增加0.09分。其他条件不变的情况下,这一效应小于拥有个人电脑的效应。

(iv)增加“父母是否拥有大学学历”的二值变量,并不会对PC的边际效应产生太大影响。该系数从第(ii)部分的0.157降至0.152。包含所有这些变量的回归模型解释了22.2%的colGPA的波动。

(v)尽管hsGPA和ACT成绩之间存在相关性,但它们并非完全相关。因此,每个变量都为回归贡献了一些独特的变异信息。一方面,包含高度相关的变量会导致估计量的精度下降。另一方面,遗漏一个相关变量可能会导致估计偏倚。我们是希望得到精度较低但无偏的估计量,还是精度较高但有偏的估计量?大多数计量经济学家会认为前者更可取。 Vtp2nGy8rmsqL74JODM20V9hACbjvnoTmg3fEjbVU87OZi3GnIxl+J9UUcvNn1IM

点击中间区域
呼出菜单
上一章
目录
下一章
×