



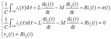
2-1 对图2-2-1所示电路图分别列写求电压v o (t)的微分方程表示。
图2-2-1
解: (1)由图2-2-1(a)所示可列写两个网孔的KVL方程为:
又
v o (t)=2d[i 2 (t)]/dt③
联立式①②③可得微分方程为:
2d 3 [v o (t)]/dt 3 +5d 2 [v o (t)]/dt 2 +5d[v o (t)]/dt+3v o (t)=2d[e(t)]/dt。
(2)图2-2-1(b)为双耦合电路,列出微分方程:
化简方程组可得微分方程:
(3)由图2-2-1(c)所示列写电路方程,得:
消元可得微分方程:
(4)由图2-2-1(d)所示列写电路方程,得:
消元可得微分方程:
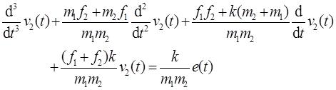
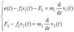
2-2 图2-2-2所示为理想火箭推动器模型。火箭质量为m 1 ,荷载舱质量为m 2 ,两者中间用刚度系数为k的弹簧相连接。火箭和荷载舱各自受到摩擦力的作用,摩擦系数分别为f 1 和f 2 。求火箭推进力e(t)与荷载舱运动速度v 2 (t)之间的微分方程表示。
图2-2-2
解: 设m 1 的速度为v 1 (t),对m 1 、m 2 进行受力分析,如图2-2-3所示。
图2-2-3
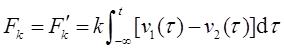
其中,F k 为弹簧对火箭的张力,F k ′为弹簧对荷载舱的张力,且
根据牛顿第二定律,分别对m 1 ,m 2 建立方程:
消元可得微分方程:
2-3 图2-2-4是汽车底盘缓冲装置模型图,汽车底盘的高度z(t)=y(t)+y 0 ,其中y 0 是弹簧不受任何力时的位置。缓冲器等效为弹簧与减震器并联组成,刚度系数和阻尼系数分别为k和f。由于路面的凹凸不平[表示为x(t)的起伏]通过缓冲器间接作用到汽车底盘,使汽车振动减弱。求汽车底盘的位移量y(t)和路面不平度x(t)之间的微分方程。
图2-2-4
解: 对汽车底盘进行受力分析。
图2-2-5
设汽车底盘运动速度为v(t),方向向上;F k 为弹簧对汽车底盘的拉力,方向向下;F f 为减震器阻尼力,方向向下,如图2-2-5所示。
汽车底盘的加速度为:
①
因弹簧的位移量为x(t)-y(t),所以拉力为:
F k (t)=k[y(t)-x(t)]②
减震器对汽车底盘的作用力为:
F f (t)=f{d[y(t)-x(t)]/dt}③
由牛顿第二定律知:
F k (t)+F f (t)=-m·a(t)
将式①②③代入上式,可得微分方程:
d 2 [y(t)]/dt 2 +(f/m){d[y(t)]/dt}+(k/m)y(t)=(f/m){d[x(t)]/dt}+(k/m)x(t)
2-4 已知系统相应的齐次方程及其对应的0 + 状态条件,求系统的零输入响应。
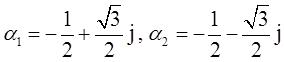
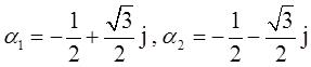
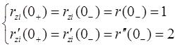
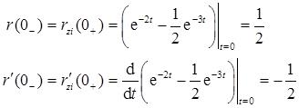
(1)d 2 [r(t)]/dt 2 +2d[r(t)]/dt+2r(t)=0,给定:r(0 + )=1,r′(0 + )=2;
(2)d 2 [r(t)]/dt 2 +2d[r(t)]/dt+r(t)=0,给定:r(0 + )=1,r′(0 + )=2;
(3)d 3 [r(t)]/dt 3 +2d 2 [r(t)]/dt 2 +d[r(t)]/dt=0,给定:r(0 + )=r′(0 + )=0,r′′(0 + )=1。
解: (1)系统的特征方程为:
α 2 +2α+2=0
特征根为:
α 1 =-1+j,α 2 =-1-j
显然特征根为两个不相等复数解,故零输入响应可设为:
r zi (t)=e - t (A 1 cost+A 2 sint)(t≥0 + )
代入初始条件r(0 + )=1,r′(0 + )=2得:
A 1 =1,A 2 =3
则系统的零输入响应为:
r zi (t)=e - t (cost+3sint)(t>0)
(2)系统的特征方程为:
α 2 +2α+1=0
特征根为:
α 1 =α 2 =-1
由于特征根为两个相等的实数,故零输入响应可设为:
r zi (t)=A 1 e - t +A 2 te - t (t≥0 + )
代入初始条件r(0 + )=1,r′(0 + )=2得:
A 1 =1,A 2 =3
则系统的零输入响应为:
r zi (t)=(3t+1)e - t (t>0)
(3)系统的特征方程为:
α 3 +2α 2 +α=0
特征根为:
α 1 =0,α 2 =α 3 =-1
故零输入响应可设为:
r zi (t)=A 1 +A 2 e - t +A 3 te - t (t≥0 + )
代入初始条件得:
A 1 =1,A 2 =-1,A 3 =-1
则系统的零输入响应为:
r zi (t)=1-(1+t)e - t (t>0)
2-5 给定系统微分方程、起始状态以及以下两种情况的激励信号:
(1)d[r(t)]/dt+2r(t)=e(t),r(0 - )=0,e(t)=u(t);
(2)d[r(t)]/dt+2r(t)=3d[e(t)]/dt,r(0 - )=0,e(t)=u(t)。
试判断在起始点是否发生跳变,据此对(1)(2)分别写出其r(0 + )值。
解: 当微分方程右端包含δ(t)及其各阶导数时,系统从0 - 状态到0 + 状态发生跳变。
(1)将e(t)=u(t)代入原方程得:
d[r(t)]/dt+2r(t)=u(t)
因方程右端不包含δ(t)及其导数项,故r(t)在t=0处连续,即r(0 + )=r(0 - )=0。
(2)将e(t)=u(t)代入原方程得:
d[r(t)]/dt+2r(t)=3δ(t)
因方程右端包含δ(t),故r(t)在t=0处发生跳变。
由冲激函数匹配法知,方程右端存在3δ(t)时,方程左端d[r(t)]/dt必定包含3δ(t),因此r(t)在0 - 到0 + 时刻有3∆u(t)存在,从而有r(0 + )-r(0 - )=3,已知r(0 - )=0,则r(0 + )=3+r(0 - )=3。
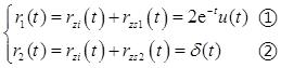
2-6 给定系统微分方程:d 2 [r(t)]/dt 2 +3d[r(t)]/dt+2r(t)=d[e(t)]/dt+3e(t),若激励信号和起始状态为:e(t)=u(t),r(0 - )=1,r′(0 - )=2。试求它的完全响应,并指出其零输入响应、零状态响应、自由响应、强迫响应各分量。
提示: 将e(t)代入方程后可见右端最高阶次奇异函数为δ(t),故左端最高阶次也为δ(t),因而,r(t)项无跳变,而r′(t)项跳变值应为1,由此导出r(0 + )和r′(0 + )。
解: 方程的特征方程为:
α 2 +3α+2=0
特征根为:
α 1 =-1,α 2 =-2
由于特征根为两个不相等实数,故零输入响应可设为:
r zi (t)=A 1 e - t +A 2 e - 2t (t>0)①
代入已知条件:
将其代入式①解得:
A 1 =4,A 2 =-3
故零输入响应为:
r zi (t)=4e - t -3e - 2t (t>0)
将激励信号e(t)=u(t)代入原方程得:
②
方程右端包含δ(t),所以r zs (t)在0 - 到0 + 状态有跳变。
利用冲激函数匹配法,则:
将上式代入式②对比得a=1。
故
。
由上面所求特征根可设齐次解为:
r zsh (t)=B 1 e - t +B 2 e - 2t (t>0)
又因t>0时,e(t)=u(t)=1,故设特解为:
r zsp (t)=p(t>0)
将特解代入原微分方程,解得:p=3/2
故零状态响应为:
r zs (t)=B 1 e - t +B 2 e - 2t +3/2(t>0)③
将
、r
zs
(0
+
)代入③,可得:
r zs (t)=-2e - t +e - 2t /2+3/2(t>0)
所以完全响应为:
r(t)=r zi (t)+r zs (t)=2e - t -5e - 2t /2+3/2(t>0)
其中,自由响应分量为2e - t -5e - 2t /2(t>0),强迫响应分量为3/2(t>0)。
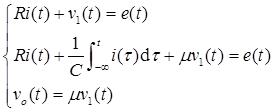
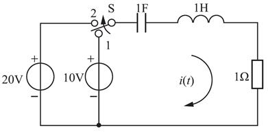
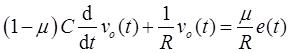
2-7 电路如图2-2-6所示,t=0以前开关位于“1”,已进入稳态,t=0时刻,S 1 与S 2 同时自“1”转至“2”,求输出电压v o (t)的完全响应,并指出其零输入、零状态、自由、强迫各响应分量(E和I S 各为常量)。
图2-2-6
解: 换路前,系统处于稳态,因而有v o (0 - )=E;换路后,由于电容两端电压不会发生突变,所以v o (0 + )=v o (0 - )=E。
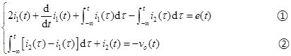
列写t≥0 + 后的电路方程:
Cd[v o (t)]/dt+v o (t)/R=e(t)①
其中,e(t)=I S u(t)。
(1)求零输入响应
由方程①可知,系统特征方程为:
Cα+1/R=0
则特征根为:
α=-1/RC
故设零输入响应为:
v zi (t)=Ae - t/RC (t>0)
将v zi (0 + )=v o (0 - )=E代入上式得:A=E
所以零输入响应为:
v zi (t)=Ee - t/RC (t>0)
(2)求零状态响应
由e(t)=I S 可设特解为B,代入方程①得:B=RI S 。
故零状态响应设为:
v zs (t)=Ce - t/RC +RI S (t>0)
由冲激函数匹配法可得:v zs (0 + )=v zs (0 - )=0,代入上式得:C=-RI S 。
所以零状态响应为:
v zs (t)=-RI S e - t/RC +RI S (t>0)
(3)完全响应为:
v o (t)=v zi (t)+v zs (t)=(E-RI S )e - t/RC +RI S (t>0)
自由响应分量为(E-RI S )e - t/RC (t>0),强迫响应分量为RI S (t>0)。
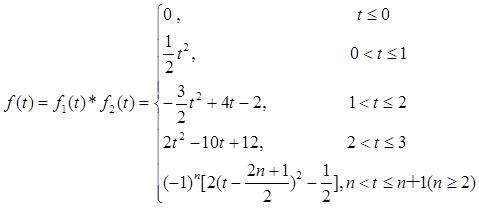
2-8 图2-2-7所示电路,t<0时,开关位于“1”且已达到稳态,t=0时刻,开关自“1”转至“2”。
图2-2-7
(1)试从物理概念判断i(0 - ),i′(0 - )和i(0 + ),i′(0 + );
(2)写出t≥0 + 时间内描述系统的微分方程表示,求i(t)的完全响应。
解: (1)开关位于“1”时电路达到稳态,由于回路中有电容器,因此电感两端的电压u L (t)=0,回路电流i(0 - )=0;
由u L (t)=L{d[i(t)]/dt},可知i′(0 - )=0;
开关转至“2”时,电容两端电压瞬时不变,所以v C (0 + )=v C (0 - )。
由i(t)=C{d[v(t)]/dt},可知i(0 + )=i(0 - )=0;
故换路后电阻两端电压为0,又因为电容两端电压为10V,则电感两端电压为20-10=10V。
由u L (t)=L{d[i(t)]/dt},可知i′(0 + )=10A。
(2)由电路图列方程:
将C、L、R代入并整理得一般形式为:
i′′(t)+i′(t)+i(t)=e′(t)①
t≥0时,将e(t)=20u(t)代入①,得:
d 2 [i(t)]/dt 2 +d[i(t)]/dt+i(t)=20δ(t)
所以t≥0 + 时,上式可化为:
d 2 [i(t)]/dt 2 +d[i(t)]/dt+i(t)=0(t≥0 + )
特征方程为:
α 2 +α+1=0
特征根为:
齐次解为:
由初始条件i(0 + )=0,i′(0 + )=10,解得:
所以完全响应为:
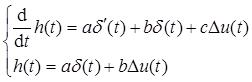
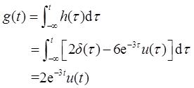
2-9 求下列微分方程描述的系统冲激响应h(t)和阶跃响应g(t)。
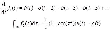
(1)d[r(t)]/dt+3r(t)=2d[e(t)]/dt;
(2)d 2 [r(t)]/dt 2 +d[r(t)]/dt+r(t)=d[e(t)]/dt+e(t);
(3)d[r(t)]/dt+2r(t)=d 2 [e(t)]/dt 2 +3d[e(t)]/dt+3e(t)。
解: (1)将冲激响应h(t)代入方程,得:
d[h(t)]/dt+3h(t)=2δ′(t)①
特征方程为:
α+3=0
特征根为:
α=-3
故方程齐次解为:
h(t)=Ae - 3t (t≥0 + )②
由冲激函数匹配法,设
上述方程组代入①,对比可得:
a=2,b=-6
故有h(0 + )=h(0 - )+b=-6,代入式②得A=-6。
又因为a=2,h(t)中含有2δ(t),所以系统的冲激响应为:
h(t)=2δ(t)-6e - 3t u(t)
阶跃响应为:
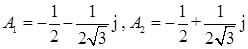
(2)系统的阶跃响应方程为:
d 2 [g(t)]/dt 2 +d[g(t)]/dt+g(t)=d[u(t)]/dt+u(t)=δ(t)+u(t)①
特征方程为:
α 2 +α+1=0
特征根为:
齐次解可设为:
设特解为g p (t)=B,代入方程①,解得B=1。
故系统完全响应形式为:
由冲激函数匹配法可设
代入阶跃响应方程①得:a=1。
故g′(0 + )=g′(0 - )+a=1,g(0 + )=g(0 - )=0。
将其代入
,得:
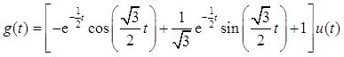
故系统阶跃响应为:
系统冲激响应为:
(3)系统的冲激响应方程为:
d[h(t)]/dt+2h(t)=δ′′(t)+3δ′(t)+3δ(t)①
特征方程为:
α+2=0
特征根为:
α=-2
故解的形式为:
h(t)=Ae - 2t (t≥0 + )
由冲激函数匹配法,设
②
将式②代入式①得:a=b=c=1,h(0 + )=h(0 - )+c=1;
则可解得A=1,且h(t)中含有δ(t)、δ′(t)。
故冲激响应为:
h(t)=δ′(t)+δ(t)+e - 2t u(t)
阶跃响应为:
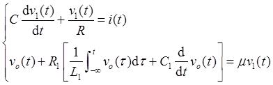
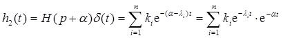
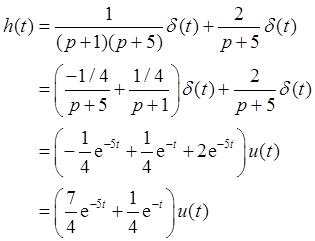
2-10 一因果性的LTI系统,其输入、输出用下列微分-积分方程表示。
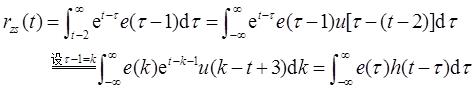
其中f(t)=e - t u(t)+3δ(t),求该系统的单位冲激响应h(t)。
解: 原微分方程可变换为:
d[r(t)]/dt+5r(t)=e(t)*f(t)-e(t)
令e(t)=δ(t),则:
d[h(t)]/dt+5h(t)=e - t u(t)+2δ(t)
引入微分算子p,则e - t u(t)=δ(t)/(p+1),从而有:
(p+5)h(t)=δ(t)/(p+1)+2δ(t)
则:
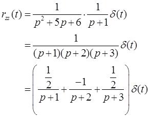
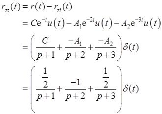
2-11 设系统的微分方程表示为:d 2 [r(t)]/dt 2 +5d[r(t)]/dt+6r(t)=e - t u(t),求使完全响应为r(t)=Ce - t u(t)时的系统起始状态r(0 - )和r′(0 - ),并确定常数C值。
解: 引入微分算子p,即e - t u(t)=δ(t)/(p+1),微分方程可变为:
(p 2 +5p+6)r(t)=δ(t)/(p+1)
故系统的零状态响应为:
由原微分方程知,特征根为α 1 =-2,α 2 =-3,所以零输入响应可表示为:
r zi (t)=A 1 e - 2t +A 2 e - 3t (t>0)
由已知系统的完全响应r(t)=Ce - t u(t),故零状态响应为:
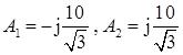
对比得A 1 =1,A 2 =-1/2,C=1/2。
代入得零输入响应为:
r zi (t)=e - 2t -e - 3t /2(t>0)
故系统的初始状态为:
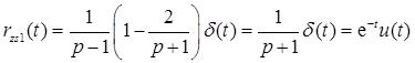
2-12 有一系统对激励为e 1 (t)=u(t)时的完全响应为r 1 (t)=2e - t u(t),对激励为e 2 (t)=δ(t)时的完全响应为r 2 (t)=δ(t)。
(1)求该系统的零输入响应r zi (t);
(2)系统的起始状态保持不变,求其对于激励为e 3 (t)=e - t u(t)的完全响应r 3 (t)。
解: (1)由题意可知e 2 (t)=d[e 1 (t)]/dt,所以r zs2 (t)=d[r zs1 (t)]/dt。
由于是同一系统,零输入响应均为r zi (t),可得方程组:
式②-①得:
由微分算子法知(p-1)r zs1 (t)=[1-2/(p+1)]δ(t),则:
将r zs1 (t)代入式①得:r zi (t)=r 1 (t)-r zs1 (t)=2e - t u(t)-e - t u(t)=e - t u(t)。
(2)由于系统的初始状态不变,则系统的零输入响应不变,即r zi (t)=e - t u(t),由题意知激励为δ(t)时,完全响应为δ(t),所以,系统的单位冲激响应为:
h(t)=δ(t)-e - t u(t)
当激励为e 3 (t)=e - t u(t)时,其零状态响应为:
r zs3 (t)=e 3 (t)*h(t)=e - t u(t)*[δ(t)-e - t u(t)]=e - t u(t)-te - t u(t)
故完全响应为:
r 3 (t)=r zi (t)+r zs3 (t)=(2-t)e - t u(t)
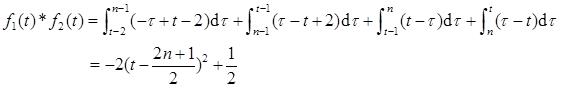
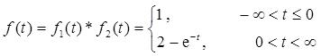
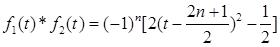
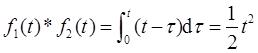
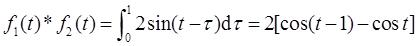
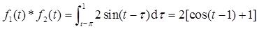
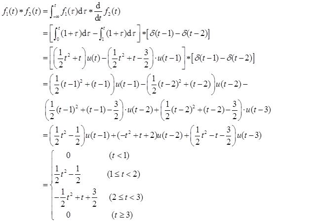
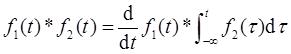
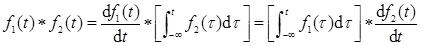
2-13 求下列各函数f 1 (t)与f 2 (t)的卷积f 1 (t)*f 2 (t)。
(1)f 1 (t)=u(t),f 2 (t)=e - αt u(t);
(2)f 1 (t)=δ(t),f 2 (t)=cos(ωt+45°);
(3)f 1 (t)=(1+t)[u(t)-u(t-1)],f 2 (t)=u(t-1)-u(t-2);
(4)f 1 (t)=cos(ωt),f 2 (t)=δ(t+1)-δ(t-1);
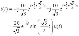
(5)f 1 (t)=e - αt u(t),f 2 (t)=(sint)u(t)。
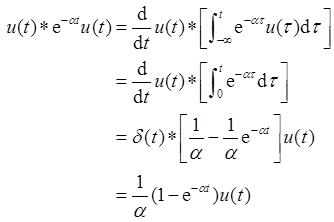
解: (1)根据卷积微分和积分性质:
故:
(2)f 1 (t)*f 2 (t)=δ(t)*cos(ωt+45°)=cos(ωt+45°)
(3)根据卷积微分和积分性质得:
(4)已知
,因此求卷积并化简得:
f 1 (t)*f 2 (t)=cos(ωt)*[δ(t+1)-δ(t-1)]=cos[ω(t+1)]-cos[ω(t-1)]=-2(sinω)sin(ωt)
(5)
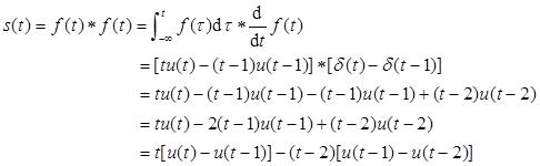
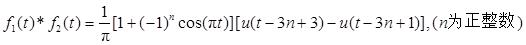
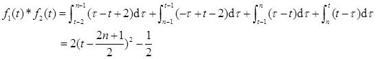
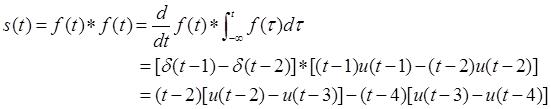
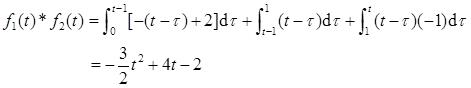
2-14 求下列两组卷积,并注意相互间的区别。
(1)f(t)=u(t)-u(t-1),求s(t)=f(t)*f(t);
(2)f(t)=u(t-1)-u(t-2),求s(t)=f(t)*f(t)。
解: (1)根据卷积微分和积分性质得:
波形如图2-2-8(a)所示。
(2)根据卷积微分和积分性质得:
波形如图2-2-8(b)所示。
图2-2-8
从图形看出两者的区别为:将s 1 (t)右移2个单位将得到s 2 (t)。
2-15 已知f 1 (t)=u(t+1)-u(t-1),f 2 (t)=δ(t+5)+δ(t-5),f 3 (t)=δ(t+1/2)+δ(t-1/2)。画出下列各卷积波形。
(1)s 1 (t)=f 1 (t)*f 2 (t);
(2)s 2 (t)=f 1 (t)*f 2 (t)*f 2 (t);
(3)s 3 (t)={[f 1 (t)*f 2 (t)][u(t+5)-u(t-5)]}*f 2 (t);
(4)s 4 (t)=f 1 (t)*f 3 (t)。
解: (1)s 1 (t)=f 1 (t)*f 2 (t)=[u(t+1)-u(t-1)]*[δ(t+5)+δ(t-5)]=[u(t+6)-u(t+4)]+[u(t-4)-u(t-6)]
波形如图2-2-9(a)所示。
(2)s 2 (t)=f 1 (t)*f 2 (t)*f 2 (t)=s 1 (t)*f 2 (t)=[u(t+11)-u(t+9)]+2[u(t+1)-u(t-1)]+[u(t-9)-u(t-11)]
波形如图2-2-9(b)所示。
(3)s 3 (t)={[f 1 (t)*f 2 (t)][u(t+5)-u(t-5)]}*f 2 (t)={s 1 (t)[u(t+5)-u(t-5)]}*f 2 (t)=[u(t+5)-u(t+4)+u(t-4)-u(t-5)]*[δ(t+5)+δ(t-5)]=[u(t+10)-u(t+9)]+[u(t+1)-u(t-1)]+[u(t-9)-u(t-10)]
波形如图2-2-9(c)所示。
(4)s 4 (t)=f 1 (t)*f 3 (t)=[u(t+1)-u(t-1)]*[δ(t+1/2)+δ(t-1/2)]=u(t+3/2)-u(t-1/2)+u(t+1/2)-u(t-3/2)
波形如图2-2-9(d)所示。
图2-2-9
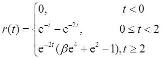
2-16 设
,证明r(t)=Ae
-
t
,0≤t≤3,并求出A值。
解: 由于t∈[0,3],因此
则A=1/(1-e - 3 )。
2-17 已知某一LTI系统对输入激励e(t)的零状态响应
,求该系统的单位冲激响应。
解:
由于
又
对比得:h(t)=e t - 1 u(-t+3)。
2-18 某LTI系统,输入信号e(t)=2e - 3t u(t),在该输入下的响应为r(t),即r(t)=H[e(t)],又已知
求该系统的单位冲激响应h(t)。
解:
由
,可得:
又
,所以h(t)=(e
-
2t
/2)u(t)。
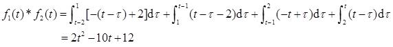
2-19 对图2-2-10所示的各组函数,用图解的方法粗略画出f 1 (t)与f 2 (t)卷积的波形,并计算卷积积分f 1 (t)*f 2 (t)。
图2-2-10
解: (a)①当-∞<t+2≤-3,即-∞<t≤-5时,f 1 (t)*f 2 (t)=0;
②当-3<t+2≤-2,即-5<t≤-4时,f 1 (t)*f 2 (t)=t+5;
③当-2<t+2≤-1,即-4<t≤-3时,f 1 (t)*f 2 (t)=-t-3;
④当-1<t+2≤1,即-3<t≤-1时,f 1 (t)*f 2 (t)=0;
⑤当1<t+2≤2,即-1<t≤0时,f 1 (t)*f 2 (t)=2(t+1);
⑥当2<t+2≤3,即0<t≤1时,f 1 (t)*f 2 (t)=2(1-t);
⑦当-1<t-2≤1,即1<t≤3时,f 1 (t)*f 2 (t)=0;
⑧当1<t-2≤2,即3<t≤4时,f 1 (t)*f 2 (t)=t-3;
⑨当2<t-2≤3,即4<t≤5时,f 1 (t)*f 2 (t)=-t+5;
⑩当3<t-2<∞,即t>5时,f 1 (t)*f 2 (t)=0。
综上,卷积结果为:
f 1 (t)与f 2 (t)卷积积分的图解及卷积后的波形如图2-2-11(a)所示。
图2-2-11(a)
(b)①当-∞<t+1≤1,即-∞<t≤0时,
②当1<t+1<∞,即0<t<∞时,有
综上,卷积结果为:
卷积图解及卷积后波形如图2-2-11(b)所示。
图2-2-11(b)
(c)①当-∞<t≤0时,f 1 (t)*f 2 (t)=0;
②当0<t≤1时,
③当t>1且t-π≥0,即1<t≤π时,有
④当0<t-π≤1,即π<t≤π+1时,有
⑤当t-π>1,即t>π+1时,f 1 (t)*f 2 (t)=0。
综上,卷积结果为:
卷积图解如图2-2-11(c)所示。
图2-2-11(c)
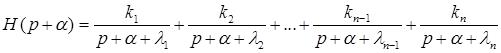
(d)①当t≤0时,f 1 (t)*f 2 (t)=0
②当0<t≤1时
③当1<t≤2时
④当2<t≤3时
⑤由以上推广,当n为奇数,且n<t≤n+1(n≥2)时:
当n为偶数,且n<t≤n+1(n≥2)时:
结合以上n为奇数或n为偶数的情况,可得对于n<t≤n+1,(n≥2)时,有
综上,可得:
卷积图解及卷积后波形如图2-2-11(d)所示。
图2-2-11(d)
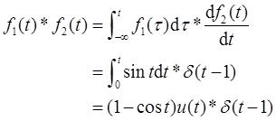
(e)由题意可得d[f 2 (t)]/dt=δ(t-1)。
又
,则由卷积性质可得:
①当t-1≤0,即t≤1时,f(t)=0;
②当t-1>0,即t>1时,f(t)=g(t)*δ(t-1)=[1-cos(t-1)]u(t-1)。
综上,可得:
卷积结果如图2-2-11(e)所示。
图2-2-11(e)
(f)由题意可得:
可将d[f 1 (t)]/dt看成周期为3的函数,g(t)的周期为2。
利用卷积性质:
①d[f 1 (t)]/dt的第一个周期与g(t)卷积的结果为:
②d[f 1 (t)]/dt的第二个周期与g(t)卷积的结果为:
③由此推广可得,d[f 1 (t)]/dt的第n个周期与g(t)卷积的结果为:
综上,可得:
卷积图解及卷积后波形如图2-2-11(f)所示。
图2-2-11(f)
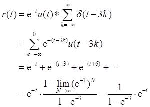
2-20 图2-2-12所示系统是由几个“子系统”组成,各子系统的冲激响应分别为:h 1 (t)=u(t)(积分器)、h 2 (t)=δ(t-1)(单位延时)、h 3 (t)=-δ(t)(倒相器)。
试求总的系统的冲激响应h(t)。
图2-2-12
解: 根据图2-2-12可知,h 2 (t)、h 1 (t)、h 3 (t)级联后与h 1 (t)并联,因此,总的冲激响应为:
h(t)=h 1 (t)+h 2 (t)*h 1 (t)*h 3 (t)=u(t)+δ(t-1)*u(t)*[-δ(t)]=u(t)-u(t-1)。
2-21 已知系统的冲激响应h(t)=e - 2t u(t):
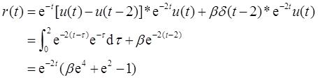
(1)若激励信号表示为:e(t)=e - t [u(t)-u(t-2)]+βδ(t-2)。式中β为常数,试确定响应r(t)。
(2)若激励信号表示为:e(t)=x(t)[u(t)-u(t-2)]+βδ(t-2)。
式中x(t)为任意t函数,若要求系统在t>2的响应为零,试确定β值应等于多少?
解: (1)r(t)=e(t)*h(t)={e - t [u(t)-u(t-2)]+βδ(t-2)}*[e - 2t u(t)]
利用积分图解法可知:
①当t≥2时
②当0≤t<2时
③当t<0时,两者卷积为0,即r(t)=0;
综上,得:
(2)由题(1)可知,当t>2时:
要使此时r(t)=0,则有
。
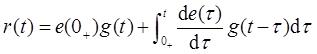
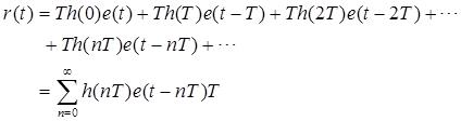
2-22 如果把施加于系统的激励信号e(t)按图2-2-13那样分解为许多阶跃信号的叠加,设阶跃响应为g(t),e(t)的初始值为e(0 + ),在t 1 时刻阶跃信号的幅度为Δe(t 1 )。试写出以阶跃响应的叠加取和而得到的系统响应近似式;证明,当取Δt 1 →0的极限时,响应r(t)的表示式为:
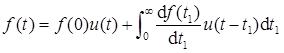
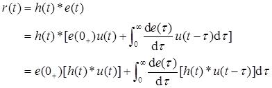
[此式称为杜阿美尔积分,参看教材第一章式(1-63)及2.7节(一)。]
图2-2-13
解: 根据教材式(1-63)可知,当Δt 1 →0时,可将信号f(t)表示为:
假设系统的冲激响应为h(t),则当系统的激励信号为阶跃信号u(t)时,系统响应为:
题目已知阶跃响应为g(t),因此有h(t)*u(t)=g(t),h(t)*u(t-τ)=g(t-τ)。
代入r(t)的表示式可得:
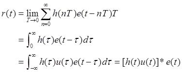
2-23 若一个LTI系统的冲激响应为h(t),激励信号是e(t),响应是r(t)。试证明此系统可以用图2-2-14所示的方框图近似模拟。
图2-2-14
证明: 根据该方框图可写出r(t)与e(t)的关系式为:
当T趋于0时,有
因此,当T较小时,可以用题图所示的方框图近似模拟冲激响应为h(t),激励信号是e(t),响应是r(t)的LTI系统。
2-24 若线性系统的响应r(t)分别用以下各算子符号式表达,且系统起始状态为零,写出各问的时域表达式。
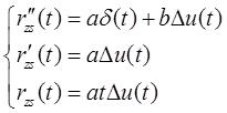
(1)Aδ(t)/(p+α);
(2)Aδ(t)/(p+α) 2 ;
(3)Aδ(t)/[(p+α)(p+β)]。
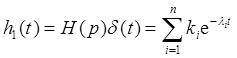
解: (1)H(p)=A/(p+α),特征根为s=-α,因此h(t)=Ae - αt u(t),则Aδ(t)/(p+α)=Ae - αt u(t)。
(2)H(p)=A/(p+α) 2 ,特征根为s 1 =s 2 =-α,因此h(t)=Ate - αt u(t),则Aδ(t)/(p+α) 2 =Ate - αt u(t)。
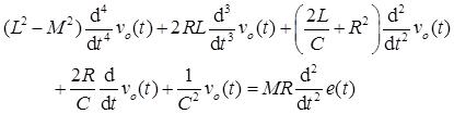
(3)
,特征根为-α、-β,均为一阶,故
则
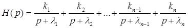
2-25 设H(p)是线性时不变系统的传输算子,且系统起始状态为零,试证明:[H(p)δ(t)]e - αt =H(p+α)δ(t)。
证明: 设H(p)对应的冲激响应为h 1 (t),H(p+α)对应的冲激响应为h 2 (t),有:
因为系统起始状态为零,所以有:
则:
显然,h 1 (t)e - αt =h 2 (t)
则[H(p)δ(t)]e - αt =H(p+α)δ(t),命题得证。