



本章介绍了有关连续时间系统的时域分析,给出了几种典型的系统响应求解方法,讲述了冲激响应和阶跃响应及其性质以及卷积的性质。通过本章学习,读者应掌握:根据不同系统进行微分方程的建立、不同类型系统响应求解分析、如何求完全响应及各个分量以及冲激响应和阶跃响应的求解。
微分方程是描述和分析连续时间系统的有力工具。对给定的具体系统进行电路分析,按照元件的约束条件可建立相应的微分方程。
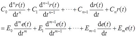
LTI系统一般可用高阶的微分方程表示为:
表2-1-1 LTI系统方程解的分析
注: a.自由响应和零输入响应都满足齐次方程的解,但是系数完全不同,零输入响应的系数仅由起始储能情况决定,而自由响应的系数要同时依从于起始状态和激励信号。
b.自由响应由两部分组成,其中,一部分由起始状态决定,另一部分由激励信号决定,二者都与系统的自身参数有关;当系统0 - 状态为零,则零输入响应为零,但自由响应可以不为零。
c.零输入响应在0 - 时刻到0 + 时刻不跳变,此时刻若发生跳变,可能为零状态响应分量。
表2-1-2 冲激响应和阶跃响应及其性质
表2-1-3 卷积及其性质
在无线通信系统中,当接收机从正常途径收到发射信号时,可能还有其他寄生的传输路径,例如从发射机经某些建筑物反射到达接收端,产生所谓“回波”现象。
回波系统的冲激响应表达式为:
h(t)=δ(t)+aδ(t-T)
若存在多个回声,则回波系统冲激响应可表示为:
为了从含有干扰信号的回波系统中取出正常信号,需要设计一个“逆系统”进行补偿,逆系统的冲激响应以h i (t)表示,则e(t)=r(t)*h i (t)=e(t)*[h(t)*h i (t)],经推导可得:
可根据具体环境要求,将k值取若干有限项即可满足消除回声的要求。