



1 描述某系统输入信号x(t)和输出信号y(t)关系的方程为y(t)=x 2 (t)。则该系统为( )。 [北京邮电大学2024研]
A.线性,时变
B.线性,时不变
C.非线性,时变
D.非线性,时不变
【答案】 D
【解析】 信号表达式中含有平方,则该系统非线性;T[x(t-t 0 )]=y(t-t 0 ),则该系统时不变。
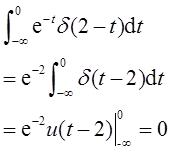
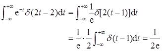
2
的值为( )。
[武汉大学2015研]
A.不确定
B.e - 2
C.0
D.e 2
【答案】 C
【解析】 由冲激信号的抽样特性
可得
3
积分
等于( )。
[武汉科技大学2017研]
A.-2δ(t)
B.-2u(t)
C.u(t-2)
D.-2δ(t-2)
【答案】 B
【解析】 根据冲激函数的性质有
4 y(t)=5cos(3t+π/2)+3cos(2t+π/3)的周期是( )。 [西南交通大学2014研]
A.π/6
B.π/3
C.2π
D.∞
【答案】 C
【解析】 第一项周期为T 1 =2π/3,第二项周期T 2 =2π/2=π,两者最小公倍数是2π,因此,y(t)的周期为2π。
5 下列各表达式中错误的是( )。 [武汉科技大学2017研]
A.δ′(t)=-δ′(-t)
B.
C.
D.δ′(t-t 0 )=δ′(t 0 -t)
【答案】 D
【解析】 对于D项由冲激偶函数性质可知:δ′(t-t 0 )=δ′[(-1)(t 0 -t)]=-δ′(t 0 -t)。
6 若f(t)是已录制声音的磁带,则下列表述错误的是( )。 [西南交通大学2014研]
A.f(-t)表示将磁带倒带转播放产生的信号
B.f(t+2)表示将磁带以超前2个单位播放
C.f(t/2)表示原磁带放音速度以二倍速度加快播放
D.2f(t)将磁带的音量放大一倍播放
【答案】 C
【解析】 f(t/2)表示将声音长度扩展两倍,正常放音情况下,原磁带放音速度会降低一半播放。
7 若f(t)为系统的输入激励,y(t)为系统的输出响应,y(0)为系统的初始状态,下列哪个输出响应所对应的系统是线性系统( )。 [西南交通大学2014研]
A.y(t)=5y 2 (0)+3f(t)
B.y(t)=3y(0)+2f(t)+d[f(t)]/dt
C.y(t)=2y(0)f(t)+2f(t)
D.y(t)=4y(0)+2f 2 (t)
【答案】 B
【解析】 线性系统性质:f 1 (t)→y 1 (t),f 2 (t)→y 2 (t),则a 1 f 1 (t)+a 2 f 2 (t)→a 1 y 1 (t)+a 2 y 2 (t),对于微分方程形式的系统而言,线性系统中不会出现输入、输出的乘积形式,也不会出现输入本身、输出本身的乘积形式。
1
积分
_______。
[电子科技大学2025研]
【答案】
【解析】 根据冲激函数的性质有
2 线性包含信号的_______,_______特性。 [复旦大学2025研]
【答案】 叠加性;均匀性(齐次性)
【解析】 具有叠加性与均匀性(也称齐次性)的系统称为线性系统。
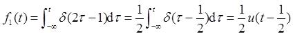
3
求积分
_______。
[北京邮电大学2024研]
【答案】
【解析】 由冲激函数的尺度变换以及筛选性,可得:
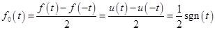
4 u(t)的奇分量=______。 [重庆大学2024研]
【答案】
【解析】 根据奇分量的定义式可得:
5
______。
[重庆大学2024研]
【答案】 jω
【解析】
根据冲激偶的性质可得:
。因此,
。
6 某连续时间系统的输入为x(t),零状态响应为y m (t)=3x(t)+4,试判断该连续时间系统是否为线性系统______,是否为非时变系统______。 [北京交通大学2015研]
【答案】 否;是
【解析】 因为3[x 1 (t)+x 2 (t)]+4≠[3x 1 (t)+4]+[3x 2 (t)+4]=y 1 (t)+y 2 (t),因此该系统是非线性的;又因为3x(t-t 0 )+4=y(t-t 0 ),因此该系统是非时变的。
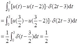
7
______。
[北京交通大学2015研]
【答案】 1/2
【解析】 依题意有
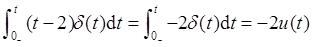
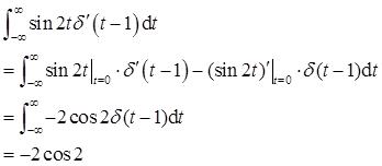
8
积分
的值=______。
[华中科技大学2012研]
【答案】 -2cos2
【解析】 根据冲击偶函数的性质有
1 信号x(t)经过一个连续时间系统的输出为y(t)=x(2t),该系统是时变系统。( ) [北京邮电大学2016研]
【答案】 对
【解析】 由时不变判断方法可知,y(t-t 0 )=x[2(t-t 0 )]≠T[x(t-t 0 )]=x(2t-t 0 ),因此系统是时变系统。
2
信号x(t)经过一个连续时间系统的输出为
,T为非零实常数,该系统是因果系统。
[北京邮电大学2016研]
【答案】 错
【解析】 因果系统是指系统在t 0 时刻的响应只与t=t 0 和t<t 0 时刻的输入有关,而该连续时间系统输出y(t)在t时刻的响应与时间段t-T/2<t i <t+T/2内的输入均有关,因此该系统是非因果系统。
3 两个线性时不变系统相级联的先后顺序不影响总的输入输出关系。( ) [中山大学2010研]
【答案】 对
【解析】 线性时不变系统级联,总的系统函数相当于各个系统函数相卷积,根据卷积的性质,卷积的次序是可以交换的。
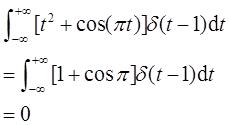
4 卷积可用于非线性时不变系统。( ) [南京大学2010研]
【答案】 错
【解析】 设激励信号为e(t),系统的零状态响应为r(t),则
此运算是线性时不变系统的输入和系统函数的卷积运算,因此若要满足上式,则系统必须要有叠加性,即要求是线性的;应用于非线性系统时,由于违反了叠加定理,因此不能使用。
分析系统y(t)=f(1-t)的线性、因果和时变特性。 [西安电子科技大学2017研]
答: (1)线性
设系统算子为T,则c 1 f 1 (t)+c 2 f 2 (t)通过系统后的结果T[c 1 f 1 (t)+c 2 f 2 (t)]为
c 1 f 1 (1-t)+c 2 f 2 (1-t)=c 1 y 1 (t)+c 2 y 2 (t)。
因此系统是线性的。
(2)因果性
令t=0有y(0)=f(1),说明当前响应与未来激励相关,因此系统是非因果的。
(3)时不变
令t→t-t 0 ,则经过算子T后T[f(t-t 0 )]为f(1-t-t 0 ),而y(t-t 0 )=f[1-(t-t 0 )]=f(1-t+t 0 ),比较以上两式有y(t-t 0 )≠T[f(t-t 0 )],因此系统是时变的。
综上所述,该系统是线性、非因果、时变系统。
1 已知函数f 1 (-t/2)和f 2 (t)的波形如图1-3-1所示。画出y 1 (t)=f 1 (t+1)u(-t)和y 2 (t)=f 2 (5-3t)的波形。 [西安电子科技大学2017研]
图1-3-1
答: y 1 (t)的波形如图1-3-2所示。
图1-3-2
根据f 2 (t)的波形图可知,f 2 (t)=9δ(t+1),因此y 2 (t)的表达式为:y 2 (t)=f 2 (5-3t)=3δ(t-2),则y 2 (t)的波形图如图1-3-3所示。
图1-3-3
2 已知f(t)波形如图1-3-4所示,请画出信号f 1 (t)=f(2-t)u(4-t)的波形图。 [武汉大学2015研]
图1-3-4
答: 将f(t)先翻转然后右移两个单位后取t<4的部分即可,如图1-3-5所示。
图1-3-5
3 信号x(t)如图1-3-6所示,画出信号y(t)=2x(-t/3+2/3)的图形。 [北京邮电大学2012研]
图1-3-6
答: y(t)=2x[-(t-2)/3]如图1-3-7(d)所示。
图1-3-7
4
粗略画出函数式
的波形图。
[中山大学2011研]
答: 此函数是Sa函数的尺度变换和位移变换,函数式的波形图如图1-3-8所示。
图1-3-8
5 已知f(t)的波形如图1-3-9所示,试画出f(5-2t)的波形。 [武汉理工大学2010研]
图1-3-9
答: 由f(t)的波形可知f(-t)波形如图1-3-10所示。
图1-3-10
由f(-t)波形得f(-2t)波形如图1-3-11所示。
图1-3-11
由以上得f(5-2t)=f[-2(t-5/2)]波形如图1-3-12所示。
图1-3-12
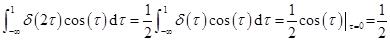
1
。
[西安电子科技大学2017研]
解: 根据冲激函数性质有
2 计算下列积分。 [武汉大学2015研]
(1)
;
(2)
。
解: (1)
(2)
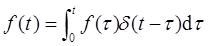
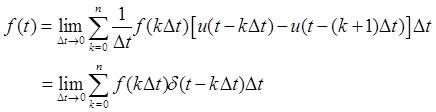
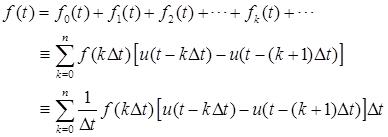
3 任意信号是如何分解成无穷多个单位阶跃信号或无穷多的单位冲激信号的?请阐述之。 [武汉大学2015研]
答: 以冲激响应为例,这种分解思路是先把信号f(t)分解成宽度为∆t的矩形窄脉冲之和,任意时刻k∆t的矩形脉冲幅度为f(k∆t)。假设f(t)为因果信号,则f(t)可表示为
令窄脉冲宽度∆t→0,并对其取极限,得到
此时k∆t→τ,∆t→dτ,
,即求和运算变为积分运算。于是,用冲激函数表示任意信号的积分形式为
同理,任意信号用阶跃函数表示为
4 已知信号如图1-3-13所示。
图1-3-13
(1)求x(t)与d[x(t)]/dt的表达式;
(2)画出d[x(t)]/dt的图形;
(3)画出x(2-t)u(-t)的图形。 [电子科技大学2013研]
解: (1)根据x(t)的波形可以直接写出x(t)的表达式为
x(t)=(t-1)[u(t)-u(t-1)]+2[u(t-1)-u(t-2)]+(2-t)[u(t-2)-u(t-3)]=(t-1)u(t)-(t-3)u(t-1)-tu(t-2)+(t-2)u(t-3)
因此d[x(t)]/dt的表达式为
d[x(t)]/dt=[u(t)-u(t-1)]-[u(t-2)-u(t-3)]-δ(t)+2δ(t-1)-2δ(t-2)+δ(t-3)。
(2)d[x(t)]/dt的图形如图1-3-14所示。
图1-3-14
(3)利用信号的基本运算方法x(t)→x(-t)→x[-(t-2)]→u(-t)x(2-t)。
可得x(2-t)u(-t)的图形如图1-3-15所示。
图1-3-15
5 信号x(t)的波形如图1-3-16所示,试计算x′(t-0.5),并画出波形图。 [复旦大学2025研]
图1-3-16
解: x′(t-0.5)=u(t-1)-2u(t-2)+u(t-3)。
波形图如图1-3-17所示。
图1-3-17