



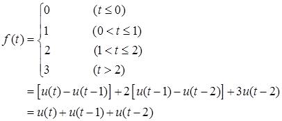
1-1 分别判断图1-2-1所示各波形是连续时间信号还是离散时间信号,若是离散时间信号,是否为数字信号?
图1-2-1
解: (a)连续时间信号(模拟信号);(b)连续时间信号(量化信号);(c)离散时间信号(数字信号);(d)离散时间信号(抽样信号);(e)离散时间信号(数字信号);(f)离散时间信号(数字信号)。
1-2 分别判断下列各函数式属于何种信号。(重复习题1-1题所问。)
(1)e - αt sin(ωt);
(2)e - nT ;
(3)cos(nπ);
(4)sin(nω 0 )(ω 0 为任意值);
(5)(1/2) n 。
以上各式中n为正整数。
解: (1)e - αt sin(ωt)时间、幅值均连续取值,故为连续时间信号(模拟信号);
(2)e - nT 时间离散、幅值连续,故为离散时间信号(抽样信号);
(3)cos(nπ)时间、幅值均离散,故为离散时间信号(数字信号);
(4)sin(nω 0 )时间离散、幅值连续,故为离散时间信号(抽样信号);
(5)(1/2) n 时间离散、幅值连续,故为离散时间信号(抽样信号)。
1-3 分别求下列各周期信号的周期T。
(1)cos(10t)-cos(30t);
(2)e j10t ;
(3)[5sin(8t)] 2 ;
(4)
。
解: (1)分量cos(10t)的周期T 1 =2π/10=π/5,分量cos(30t)的周期T 2 =π/15,两者的最小公倍数是π/5,所以此信号的周期T=π/5。
(2)因为e j10t =cos(10t)+jsin(10t),所以此信号周期为T=2π/10=π/5。
(3)因为[5sin(8t)] 2 =25sin 2 (8t)=25×{[1-cos(16t)]/2}=12.5-12.5cos(16t),所以此信号的周期为T=2π/16=π/8。
(4)原式可整理为
其中n为正整数。所以此信号的周期为2T。
1-4 对于教材例1-1所示信号,由f(t)求f(-3t-2),但改变运算顺序,先求f(3t)或先求f(-t),讨论所得结果是否与原例之结果一致。
解法一: f(t)→f(3t)→f(-3t)→f(-3t-2),运算结果如图1-2-2。
图1-2-2
解法二: f(t)→f(-t)→f(-3t)→f(-3t-2),运算结果如图1-2-3。
图1-2-3
所得结果一致。
1-5 已知f(t),为求f(t 0 -at)应按下列哪种运算求得正确结果(式中t 0 ,a都为正值)?
(1)f(-at)左移t 0 ;
(2)f(at)右移t 0 ;
(3)f(at)左移t 0 /a;
(4)f(-at)右移t 0 /a。
解: 正确答案是(4)。
(1)
(2)
(3)
(4)
显然只有(4)的变换结果与题干要求相符。
1-6 绘出下列各信号的波形:
(1)[1+sin(Ωt)/2]sin(8Ωt);
(2)[1+sin(Ωt)]sin(8Ωt)。
解: (1)高频信号sin(8Ωt)的周期T=2π/(8Ω),与其相乘的信号作为信号包络,波形如图1-2-4(a)所示。
(2)高频信号的周期T=2π/(8Ω),波形如图1-2-4(b)所示。
图1-2-4
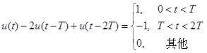
1-7 绘出下列各信号的波形。
(1)[u(t)-u(t-T)]sin(4πt/T);
(2)[u(t)-2u(t-T)+u(t-2T)]sin(4πt/T)。
解: (1)由于
而信号sin(4πt/T)的周期为T/2,故只需画出信号sin(4πt/T)在区间[0,T]上的波形如图1-2-5(a)所示。
(2)原式={u(t)-u(t-T)-[u(t-T)-u(t-2T)]}sin(4πt/T),由于
信号sin(4πt/T)的周期为T/2,故截取信号sin(4πt/T)在区间[0,T]上的波形,并在区间[T,2T]上将其反相,所得波形如图1-2-5(b)所示。
图1-2-5
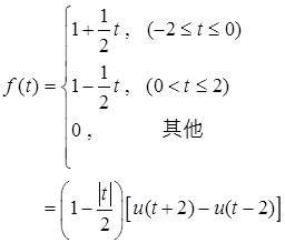
1-8 试将描述图1-2-6所示波形的教材表达式(1-16)和(1-17)改用阶跃信号表示。
图1-2-6
解: (1)表达式(1-16)为
改用阶跃函数可表示为
(2)表达式(1-17)为
改用阶跃信号可表示为
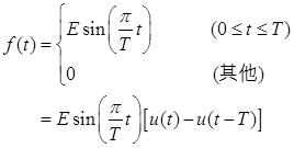
1-9 粗略绘出下列各函数式的波形图。
(1)f(t)=(2-e - t )u(t);
(2)f(t)=(3e - t +6e - 2t )u(t);
(3)f(t)=(5e - t -5e - 3t )u(t);
(4)f(t)=e - t cos(10πt)[u(t-1)-u(t-2)]。
解: 题(1)、(2)、(3)、(4)信号波形,分别如图1-2-7(a)、(b)、(c)、(d)所示。
图1-2-7
1-10 写出图1-2-8(a)、(b)、(c)所示各波形的函数式。
图1-2-8
解: (1)由图1-2-8(a)可得
(2)由图1-2-8(b)可得
(3)由图1-2-8(c)可得
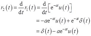
1-11 绘出下列各时间函数的波形图。
(1)te - t u(t);
(2)e -( t - 1 ) [u(t-1)-u(t-2)];
(3)[1+cos(πt)][u(t)-u(t-2)];
(4)u(t)-2u(t-1)+u(t-2);
(5)
;
(6)d[e - t (sint)u(t)]/dt。
解: 各时间函数的波形图如图1-2-9(a)~(f)所示。
图1-2-9
1-12 绘出下列各时间函数的波形图,注意它们的区别。
(1)t[u(t)-u(t-1)];
(2)t·u(t-1);
(3)t[u(t)-u(t-1)]+u(t-1);
(4)(t-1)u(t-1);
(5)-(t-1)[u(t)-u(t-1)];
(6)t[u(t-2)-u(t-3)];
(7)(t-2)[u(t-2)-u(t-3)]。
解: 信号的波形分别为图1-2-10(a)、(b)、(c)、(d)、(e)、(f)、(g)所示。
图1-2-10
1-13 绘出下列各时间函数的波形图,注意它们的区别。
(1)f 1 (t)=sin(ωt)·u(t);
(2)f 2 (t)=sin[ω(t-t 0 )]·u(t);
(3)f 3 (t)=sin(ωt)·u(t-t 0 );
(4)f 4 (t)=sin[ω(t-t 0 )]·u(t-t 0 )。
解: 信号波形分别为图1-2-11(a)、(b)、(c)、(d)所示。
图1-2-11
1-14 应用冲激信号的抽样特性,求下列表示式的函数值。
(1)
(2)
(3)
(4)
(5)
(6)
(7)
解: 利用抽样性质
得:
(1)
(2)
(3)
(4)
(5)
(6)
(7)
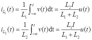
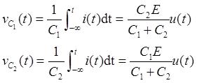
1-15 电容C 1 与C 2 串联,以阶跃电压源v(t)=Eu(t)串联接入,试分别写出回路中的电流i(t)、每个电容两端电压v C1 (t)、v C2 (t)的表示式。
解: 根据题意可知,电容C 1 、C 2 和电压源v(t)串联,可得回路电流
则电容两端电压v C1 (t)、v C2 (t)分别为
1-16 电感L 1 与L 2 并联,以阶跃电流源i(t)=Iu(t)并联接入,试分别写出电感两端电压v(t)、每个电感支路电流i L1 (t)、i L2 (t)的表示式。
解: 根据题意可知,电感L 1 、L 2 和电流源i(t)并联,可得电感两端电压
则电感支路电流i L1 (t)、i L2 (t)分别为
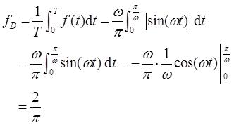
1-17 分别指出下列各波形的直流分量等于多少:
(1)全波整流f(t)=|sin(ωt)|;
(2)f(t)=sin 2 (ωt);
(3)f(t)=cos(ωt)+sin(ωt);
(4)升余弦f(t)=K[1+cos(ωt)]。
解: (1)信号sin(ωt)的周期为2π/ω,则整流信号|sin(ωt)|的周期为T=π/ω,所以直流分量
(2)由f(t)=sin 2 (ωt)=[1-cos(2ωt)]/2可知,周期T=π/ω。
因为cos(2ωt)在一个周期内的平均值为零,所以直流分量
(3)f(t)的周期T=2π/ω,而在[0,2π/ω]内cos(ωt)和sin(ωt)的积分均为零,所以f D =0。
(4)f(t)的周期T=2π/ω,在[0,2π/ω]内cos(ωt)积分为零,所以f D =K。
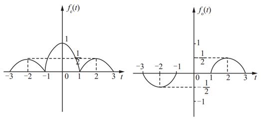
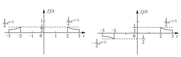
1-18 粗略绘出图1-2-12所示各波形的偶分量和奇分量。
图1-2-12
解: 信号的偶分量f e (t)=[f(t)+f(-t)]/2,奇分量f o (t)=[f(t)-f(-t)]/2。
(a)由图1-2-12(a)可知,f e (t)和f o (t)的波形如图1-2-13(a)所示。
图1-2-13(a)
(b)由图1-2-12(b)可知,信号f(t)为偶函数,即f(t)=f(-t),所以其f e (t)=f(t),f o (t)=0,即偶分量为其本身,奇分量为0,f e (t)的波形如图1-2-13(b)所示。
图1-2-13(b)
(c)先作出f(-t)的波形如图1-2-13(c 1 )所示。
图1-2-13(c 1 )
则可得f e (t)和f o (t)的波形如图1-2-13(c 2 )所示。
图1-2-13(c 2 )
(d)先作出f(-t)的波形如图1-2-13(d 1 )所示。
图1-2-13(d 1 )
则可得f e (t)和f o (t)的波形如图1-2-13(d 2 )所示。
图1-2-13(d 2 )
1-19 绘出下列系统的仿真框图。
(1)d[r(t)]/dt+a 0 r(t)=b 0 e(t)+b 1 {d[e(t)]/dt};
(2)d 2 [r(t)]/dt 2 +a 1 {d[r(t)]/dt}+a 0 r(t)=b 0 e(t)+b 1 {d[e(t)]/dt}。
解: (1)取中间变量q(t),使
d[q(t)]/dt+a 0 q(t)=e(t)①
激励信号e(t)与中间变量q(t)的关系,如图1-2-14所示。
图1-2-14
将①代入原方程,得
②
对比等式两边,可知r(t)=b 0 q(t)+b 1 {d[q(t)]/dt}
从而得到系统仿真框图,如图1-2-15所示。
图1-2-15
(2)取中间变量q(t),使
d 2 [q(t)]/dt 2 +a 1 {d[q(t)]/dt}+a 0 q(t)=e(t)①
激励信号e(t)与中间变量q(t)的关系,如图1-2-16所示。
图1-2-16
将式①代入原方程,可得r(t)=b 0 q(t)+b 1 {d[q(t)]/dt}。
从而得到系统仿真框图,如图1-2-17所示。
图1-2-17
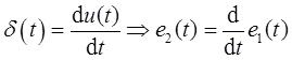
1-20 判断下列系统是否为线性的、时不变的、因果的。
(1)r(t)=d[e(t)]/dt;
(2)r(t)=e(t)u(t);
(3)r(t)=sin[e(t)]u(t);
(4)r(t)=e(1-t);
(5)r(t)=e(2t);
(6)r(t)=e 2 (t);
(7)
;
(8)
。
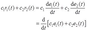
解: (1)令r 1 (t)=d[e 1 (t)]/dt,r 2 (t)=d[e 2 (t)]/dt,则
系统满足线性关系。
又
,满足时不变性。
由r(t)=d[e(t)]/dt可知,系统在t
0
时刻的响应与t>
时的输入无关,因此系统满足因果性。
综上,系统是线性、时不变、因果系统。
(2)令r 1 (t)=e 1 (t)u(t),r 2 (t)=e 2 (t)u(t),则c 1 r 1 (t)+c 2 r 2 (t)=c 1 e 1 (t)u(t)+c 2 e 2 (t)u(t)=[c 1 e 1 (t)+c 2 e 2 (t)]u(t),系统满足线性关系。
又r(t-t 0 )=e(t-t 0 )u(t-t 0 )≠e(t-t 0 )u(t),故系统时变。
由r(t)=e(t)u(t)知,系统响应只与当前激励有关,因此系统满足因果性。
综上,系统是线性、时变、因果系统。
(3)令r 1 (t)=sin[e 1 (t)]u(t),r 2 (t)=sin[e 2 (t)]u(t),则c 1 r 1 (t)+c 2 r 2 (t)=c 1 sin[e 1 (t)]u(t)+c 2 sin[e 2 (t)]u(t)≠sin[c 1 e 1 (t)+c 2 e 2 (t)]u(t)。
系统不满足线性关系。
又r(t-t 0 )=sin[e(t-t 0 )]u(t-t 0 )≠sin[e(t-t 0 )]u(t),故系统时变。
由r(t)=sin[e(t)]u(t)可知,系统响应只与当前激励有关,因此系统满足因果性。
综上,系统是非线性、时变、因果系统。
(4)令r 1 (t)=e 1 (1-t),r 2 (t)=e 2 (1-t),则c 1 r 1 (t)+c 2 r 2 (t)=c 1 e 1 (1-t)+c 2 e 2 (1-t),系统满足线性关系。
由r(t)=e(1-t)知,激励信号e(t)反褶后再右移1个单位可得响应信号r(t)。
因为
,故系统时变。
当t=0时,r(0)=e(1-0)=e(1),0时刻的响应取决于将来输入,故系统不满足因果条件。
综上,系统是线性、时变、非因果系统。
(5)令r 1 (t)=e 1 (2t),r 2 (t)=e 2 (2t),则c 1 r 1 (t)+c 2 r 2 (t)=c 1 e 1 (2t)+c 2 e 2 (2t),系统满足线性关系。
又r(t-t 0 )=e[2(t-t 0 )]≠f[e(t-t 0 )]=e(2t-t 0 ),故系统时变。
因为t=1时,r(1)=e(2),响应取决于将来值,不满足因果要求,所以系统为非因果系统。
综上,系统是线性、时变、非因果系统。
(6)令r 1 (t)=e 1 2 (t),r 2 (t)=e 2 2 (t),则:c 1 r 1 (t)+c 2 r 2 (t)=c 1 e 2 1 (t)+c 2 e 2 2 (t)≠[c 1 e 1 (t)+c 2 e 2 (t)] 2
系统不满足线性关系。
又r(t-t 0 )=e 2 (t-t 0 ),故系统为时不变系统。
因为响应r(t)=e 2 (t)只与输入的当前值有关,所以系统满足因果条件。
综上,系统是非线性、时不变、因果系统。
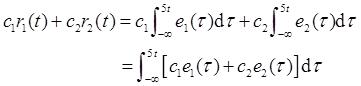
(7)令
,则
系统满足线性关系。
作替换有
,则
故系统满足时不变特性。
由
知,响应只与当前及以前的输入有关,故系统满足因果性。
综上,系统是线性、时不变、因果系统。
(8)令
,则
系统满足线性关系。
又
,故系统时变。
当t=1时,
,响应与未来输入有关,因此系统不满足因果特性。
综上,系统是线性、时变、非因果系统。
1-21 判断下列系统是否是可逆的。若可逆,给出它的逆系统;若不可逆,指出使该系统产生相同输出的两个输入信号。
(1)r(t)=e(t-5);
(2)r(t)=d[e(t)]/dt;
(3)
;
(4)r(t)=e(2t)。
解: 若系统在不同激励信号作用下产生不同的响应,则该系统可逆。
(1)可逆,逆系统为r(t)=e(t+5);
(2)不可逆,因为若e 1 (t)=t+1,e 2 (t)=t,则r(t)=d[e 1 (t)]/dt=d[e 2 (t)]/dt=1,不同激励产生相同的响应,系统不可逆;
(3)可逆,逆系统为r(t)=d[e(t)]/dt;
(4)可逆,逆系统为r(t)=e(t/2)。
1-22 若输入信号为cos(ω 0 t),为使输出信号中分别包含以下频率成分:
(1)cos(2ω 0 t);
(2)cos(3ω 0 t);
(3)直流。
请你分别设计相应的系统(尽可能简单)满足此要求,给出系统输出与输入的约束关系式。讨论这三种要求有何共同性、相应的系统有何共同性。
解: (1)系统模型为:r(t)=e(2t);
(2)系统模型为:r(t)=e(3t);
(3)系统模型为:r(t)=e(t)+c(c为非零常数)。
三个要求的共性是:输入信号经过系统后,有新的频率分量产生。
三个系统的共性是:都可以改变输入信号的频率或增加新的频率分量。
1-23 有一线性时不变系统,当激励e 1 (t)=u(t)时,响应r 1 (t)=e - at u(t),试求当激励e 2 (t)=δ(t)时,响应r 2 (t)的表示式(假定起始时刻系统无储能)。
解: 由于该系统为线性时不变系统,起始时刻系统无储能,故系统的响应为零状态响应。又因为
利用线性时不变系统的微分特性知
1-24 证明δ函数的尺度运算特性满足δ(at)=δ(t)/|a|。(提示:利用教材图1-28,当以t为自变量时脉冲底宽为τ,而改以at为自变量时底宽变成τ/a,借此关系以及偶函数特性即可求出以上结果。)
证明: 首先以t为横轴,脉冲底宽为τ,高度为1/τ,作δ(t)的矩形逼近图形,如图1-2-18所示。
图1-2-18
再以at(假设a>0)为横轴作相同的图形时,底宽变成τ/a,但是要保证矩形的高度保持不变,则有矩形的面积变为原来的1/a倍,即δ(at)=δ(t)/a。因为δ(t)是偶函数,所以当a<0时有δ(at)=δ(-at)=-δ(t)/a。即从作用效果上来讲:δ(at)=δ(t)/|a|。
命题得证。