



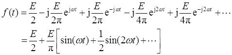
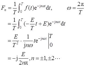
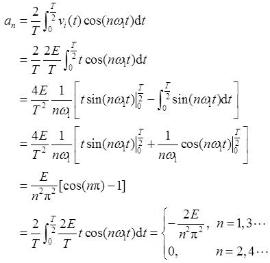
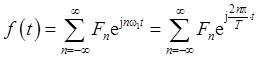
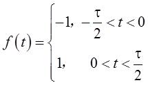
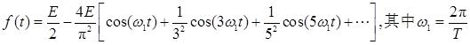
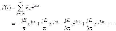
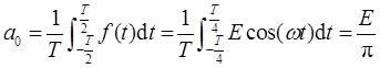
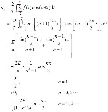
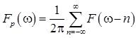
3-1 求图3-2-1所示对称周期矩形信号的傅里叶级数(三角函数形式与指数形式)。
图3-2-1
解: (1)三角函数形式
由图3-2-1可知,f(t)为奇函数且无直流分量,故有a 0 =a n =0。
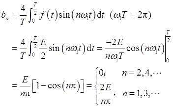
又因为该信号为奇谐信号,故只有奇次分量,有:
其中ω 1 =2π/T,所以三角函数形式的傅里叶级数为:
(2)指数形式
因为
所以指数形式的傅里叶级数为:
其中ω=2π/T。
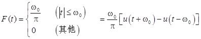
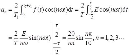
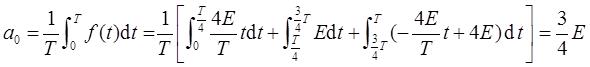
3-2 周期矩形信号如图3-2-2所示。
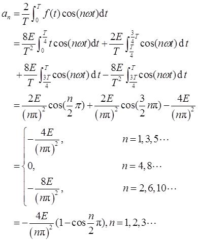
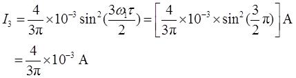
若重复频率f=5kHz,脉宽τ=20μs,幅度E=10V,求直流分量大小以及基波、二次和三次谐波的有效值。
图3-2-2
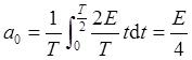
解: 由图3-2-2可知,f(t)为偶函数,其傅里叶级数不含正弦项,因此b n =0。
且f=5kHz,得:T=1/f=200μs
所以
因此,直流分量为1V;
基波分量为a
1
sin(ωt),其有效值为
;
二次谐波为a
2
sin(2ωt),其有效值为
;
三次谐波为a
3
sin(3ωt),其有效值为
。
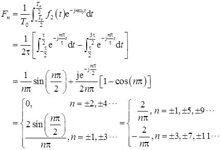
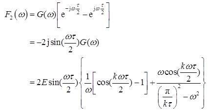
3-3 若周期矩形信号f 1 (t)和f 2 (t)波形如图3-2-2所示,f 1 (t)的参数为τ=0.5μs,T=1μs,E=1V;f 2 (t)的参数为τ=1.5μs,T=3μs,E=3V,分别求:
(1)f 1 (t)的谱线间隔和带宽(第一零点位置),频率单位以kHz表示;
(2)f 2 (t)的谱线间隔和带宽;
(3)f 1 (t)与f 2 (t)的基波幅度之比;
(4)f 1 (t)基波与f 2 (t)三次谐波幅度之比。
解: 由题3-2的结论可知,再由三角与指数系数关系F n =(a n -jb n )/2,f(t)的傅里叶级数可表示为:
其中,ω=2π/T。
(1)f 1 (t)的谱线间隔ω 1 =2π/T,则f 1 =ω 1 /2π=1/T=1/1μs=1000kHz。
带宽: Δf 1 =1/τ=1/0.5μs=2000kHz。
(2)f 2 (t)的谱线间隔f 2 =1/T=1/3μs=(1000/3)kHz。
带宽: Δf 2 =1/τ=1/1.5μs=(2000/3)kHz。
(3)由题3-2可知a n =(2E/nπ)sin(nπτ/T),所以
f
1
(t)的基波幅度为:
;
f
2
(t)的基波幅度为:
;
故A 11 ∶A 21 =(2/π)∶(6/π)=1∶3。
(4)f
2
(t)的三次谐波幅度为:
,故A
11
∶A
23
=(2/π)∶(2/π)=1∶1。
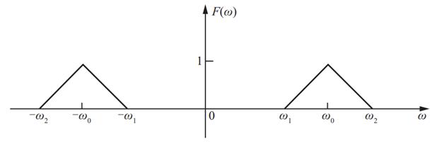
3-4 求图3-2-3所示周期三角信号的傅里叶级数并画出频谱图。
图3-2-3
解: 由图3-2-3可知,f(t)为偶函数,故b n =0,且
所以f(t)的傅里叶级数可表示为:
其频谱如图3-2-4所示。
图3-2-4
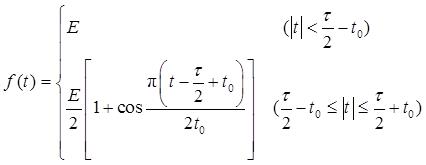
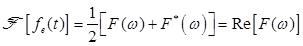
3-5 求图3-2-5所示半波余弦信号的傅里叶级数。若E=10V,f=10kHz,大致画出幅度谱。
图3-2-5
解: 由图3-2-5可知,f(t)为偶函数,其中ω=2π/T,因而b n =0,且
结合三角函数变换
,可求解并化简a
n
得:
所以其傅里叶级数可表示为:
若E=10V,f=10kHz,则幅度谱如图3-2-6所示。
图3-2-6
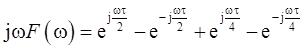
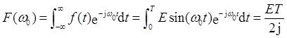
3-6 求图3-2-7所示周期锯齿信号的指数形式傅里叶级数,并大致画出频谱图。
图3-2-7
解: 信号指数形式的傅里叶级数为:
其中
所以
幅度谱和相位谱如图3-2-8(a)和(b)所示。
图3-2-8
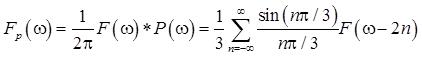
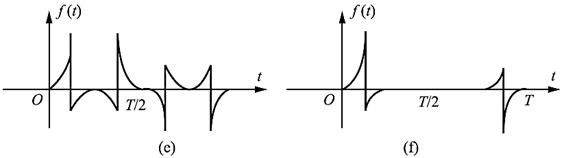
3-7 利用信号f(t)的对称性,定性判断图3-2-9中各周期信号的傅里叶级数中所含有的频率分量。
图3-2-9
解: (1)图(a)中f(t)为偶函数,同时也是奇谐函数,故只含有基波和奇次谐波的余弦分量;
(2)图(b)中f(t)为奇函数,同时也是奇谐函数,故只含有基波和奇次谐波的正弦分量;
(3)图(c)中f(t)为奇谐函数,故只含有基波和奇次谐波分量;
(4)图(d)中f(t)为奇函数,故只含有正弦分量;
(5)图(e)中f(t)既为偶函数又为偶谐函数,故只含直流和偶次谐波的余弦分量;
(6)图(f)中f(t)为偶谐函数,故只含直流和偶次谐波分量。
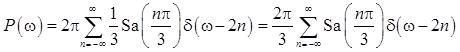
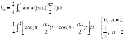
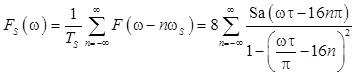
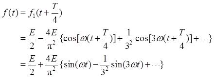
3-8 求图3-2-10中两种周期信号的傅里叶级数。
图3-2-10
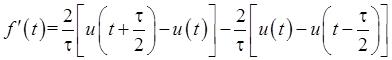
解: (1)图3-2-10(a)是图3-2-3中信号平移T/4的结果,设图3-2-3中信号为f 1 (t),则f(t)=f 1 (t+T/4)。
因为
所以
其中,ω=2π/T。
(2)由图3-2-10(b)可知,f(t)为偶函数,所以b n =0,且
所以
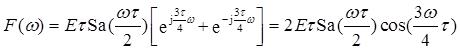
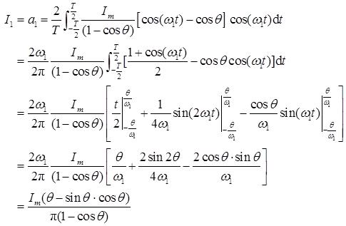
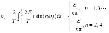
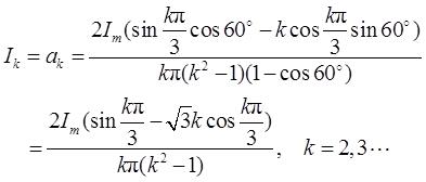
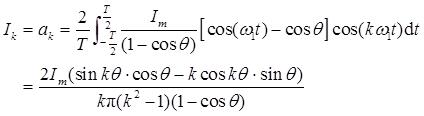
3-9 求图3-2-11所示周期余弦切顶脉冲波的傅里叶级数,并求直流分量I 0 以及基波和k次谐波的幅度(I 1 和I k )。
(1)θ=任意值;
(2)θ=60°;
(3)θ=90°。
[提示:i(t)=I m [cos(ω 1 t)-cosθ]/(1-cosθ),ω 1 为i(t)的重复角频率。]
图3-2-11
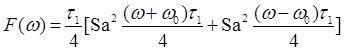
解: (1)图3-2-11所示的信号可表示为i(t)=I m [cos(ω 1 t)-cosθ]/(1-cosθ),ω 1 为i(t)的重复角频率,由于信号为偶函数,所以b n =0。
直流分量
基波幅度
k次谐波幅度
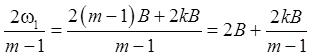
(2)当θ=60°时
直流分量
基波幅度
k次谐波幅度
(3)当θ=90°时
直流分量
基波幅度
k次谐波幅度
3-10 已知周期函数f(t)前四分之一周期的波形如图3-2-12所示。根据下列各种情况的要求画出f(t)在一个周期(0<t<T)内的波形。
(1)f(t)是偶函数,只含有偶次谐波;
(2)f(t)是偶函数,只含有奇次谐波;
(3)f(t)是偶函数,含有偶次和奇次谐波;
(4)f(t)是奇函数,只含有偶次谐波;
(5)f(t)是奇函数,只含有奇次谐波;
(6)f(t)是奇函数,含有偶次和奇次谐波。
图3-2-12
解: (1)f(t)为偶函数,且为偶谐函数,可画出在(0,T)内波形如图3-2-13(a)所示;
(2)f(t)为偶函数,且为奇谐函数,可画出在(0,T)内波形如图3-2-13(b)所示;
(3)f(t)为偶函数,且不为偶谐函数和奇谐函数,可画出在(0,T)内波形如图3-2-13(c)所示;
(4)f(t)为奇函数,且为偶谐函数,可画出在(0,T)内波形如图3-2-13(d)所示;
(5)f(t)为奇函数,且为奇谐函数,可画出在(0,T)内波形如图3-2-13(e)所示;
(6)f(t)为奇函数,且不为偶谐函数和奇谐函数,可画出在(0,T)内波形如图3-2-13(f)所示。
图3-2-13
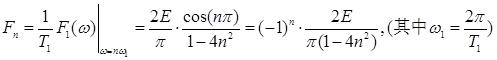
3-11 求图3-2-14所示周期信号的傅里叶级数的系数,图(a)求a n ,b n ;图(b)求F n 。
图3-2-14
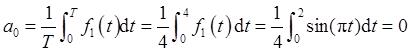
解: (a)由图3-2-14(a)可知,f(t)的周期为4,在一个周期内的表达式为:
f 1 (t)=sin(πt)[u(t)-u(t-2)](0≤t≤4)
故
所以
其中ω 1 =2π/T=π/2。
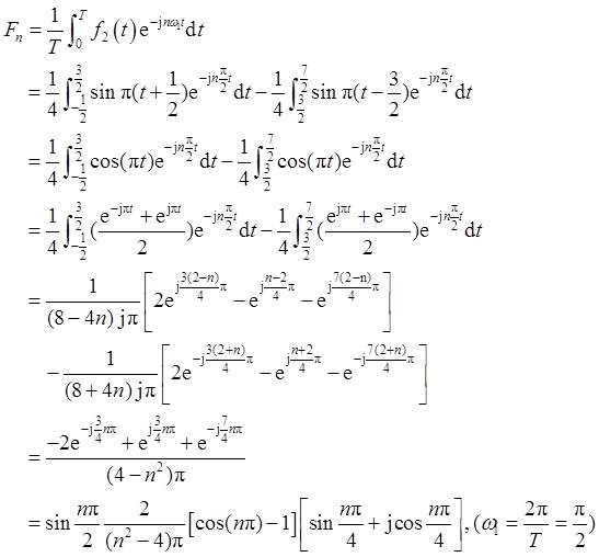
(b)由图3-2-14(b)可知f 2 (t)=f 1 (t+1/2)-f 1 (t-3/2),因此
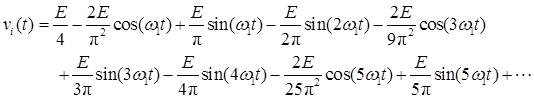
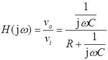
3-12 如图3-2-15所示周期信号v i (t),加到RC低通滤波电路。已知v i (t)的重复频率f 1 =1/T=1kHz,电压幅度E=1V,R=1kΩ,C=0.1μF。分别求:
(1)稳态时电容两端电压之直流分量、基波和五次谐波之幅度;
(2)求上述各分量与v i (t)相应分量的比值,讨论此电路对各频率分量响应的特点。
(提示:利用电路课所学正弦稳态交流电路的计算方法分别求各频率分量之响应。)
图3-2-15
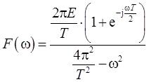
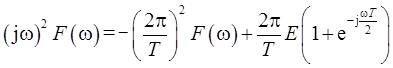
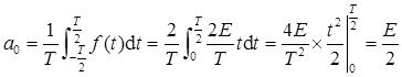
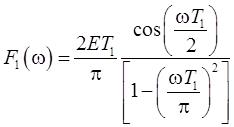
解: (1)周期电压源信号v i (t)的傅里叶级数系数为:
ω 1 =2π/T,所以
则v i (t)的直流分量为:v i0 =a 0 =E/4=0.25V;
v
i
(t)的基波分量的幅度为:
v
i
(t)的五次谐波分量的幅度为:
由图3-2-15可知,电路的频响函数为:
故对应的电容两端电压的各分量为:
直流分量ω=0,v o0 =v i0 =0.25V;基波分量ω=ω 1 =2000πrad/s。
五次谐波分量
(2)由题(1)可知v o (t)的直流分量与v i (t)的直流分量之比为:v o0 /v i0 =1;
基波幅度之比为:v o1 /v i1 =∣H(jω 1 )∣=0.847;
五次谐波幅度之比为:v o5 /v i5 =∣H(j5ω 1 )∣=0.303;
此RC积分电路对高频分量衰减大,对低频分量衰减小,故为一个低通滤波器。
3-13 学习电路课时已知,LC谐振电路具有选择频率的作用,当输入正弦信号频率与LC电路的谐振频率一致时,将产生较强的输出响应,而当输入信号频率适当偏离时,输出响应相对值很弱,几乎为零(相当于窄带通滤波器)。利用这一原理可从非正弦周期信号中选择所需的正弦频率成分。图3-2-16所示RLC并联电路和电流源i
1
(t)都是理想模型。已知电路的谐振频率为
,R=100kΩ,谐振电路品质因数Q足够高(可滤除邻近频率成分)。i
1
(t)为周期矩形波,幅度为1mA。当i
1
(t)的参数(τ,T)为下列情况时,粗略地画出输出电压v
2
(t)的波形,并注明幅度值。
(1)τ=5μs,T=10μs;
(2)τ=10μs,T=20μs;
(3)τ=15μs,T=30μs。
图3-2-16
解: 由图3-2-16可知,i 1 (t)为奇函数且为奇谐函数,因此其傅里叶级数不含直流分量和余弦分量,即a 0 =0,a n =0,有
所以
。
(1)当T=10μs时,有ω 1 =2π/T=2π×10 5 Hz,f 1 =ω 1 /2π=10 5 Hz=100kHz。
因为f 1 =f 0 ,所以输入i 1 (t)中的基波分量引起谐振,其余频率分量可认为被滤除(Q足够高),故有
v 2 (t)=R·I 1 sin(ω 1 t)=10 5 ×(4/π)×10 - 3 sin(ω 1 t)≈127sin(ω 1 t)(V)
波形如图3-2-17(a)所示。
(2)当T=20μs时,有f 1 =1/T=5×10 4 Hz=50kHz,ω 1 =2πf 1 =10 5 πrad/s。
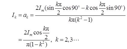
此时电路产生的输出电压v 2 (t)主要是由i 1 (t)中的二次谐波分量引起的,该二次谐波分量幅度为:
即由二次谐波所引起的响应为0,又因其他谐波分量引起的电压很弱,所以输出电压v 2 (t)近似为0,波形如图3-2-17(b)所示。
(3)当T=30μs时,有f 1 =1/T=(100/3)kHz,ω 1 =2πf 1 =(2/3)π×10 5 rad/s。
因为f 0 =3f 1 ,所以此时电路的谐振主要由i 1 (t)中的三次谐波分量引起,其幅度为:
引起的响应为:
波形如图3-2-17(c)所示。
图3-2-17
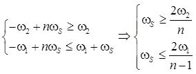
3-14 若信号波形和电路结构仍如图3-2-16所示,波形参数为τ=5μs,T=10μs。
(1)适当设计电路参数,能否分别从矩形波中选出以下频率分量的正弦信号:50kHz,100kHz,150kHz,200kHz,300kHz,400kHz?
(2)对于那些不能选出的频率成分,试分别利用其他电路(示意表明)获得所需频率分量的信号(提示:需用到电路、模拟电路、数字电路等课程的综合知识,可行方案可能不止一种)。
解: (1)因T=10μs,故基频为:f 1 =1/T=100kHz。
由于i 1 (t)中只可能包含100kHz的整数倍频率的谐波成分,因此,不可能从该矩形波中选出100kHz的非整数倍频率,如50kHz,150kHz。
又
,其中ω
1
=2π×10
5
rad/s,τ=5μs。
当n为2和4时,二次谐波和四次谐波的幅度均为0,因此,也不可能从该矩形波中选出200kHz和400kHz的正弦信号。
综上可得,电路只能从矩形波中选出100kHz和300kHz的正弦分量。
(2)要获得50kHz、150kHz、200kHz及400kHz频率分量的信号,可利用图3-2-18所示电路。通过谐振电路1获得100kHz的正弦分量后分别使用分频器和倍频器获取50kHz、200kHz和400kHz分量的信号;通过谐振电路2获得300kHz正弦分量后通过分频器获得150kHz分量的信号。
图3-2-18
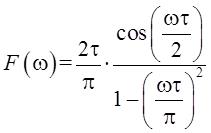
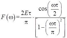
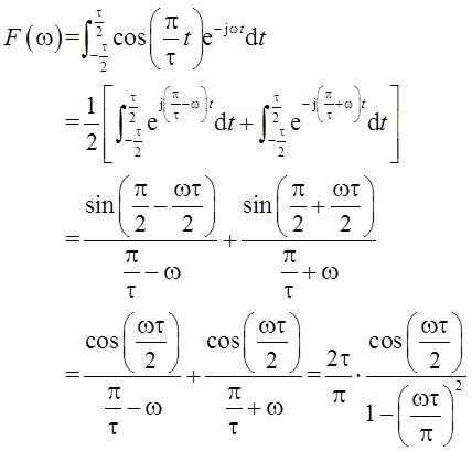
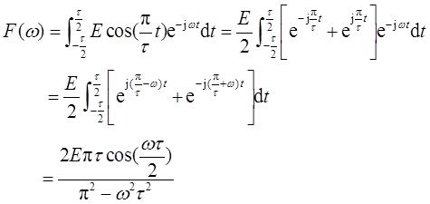
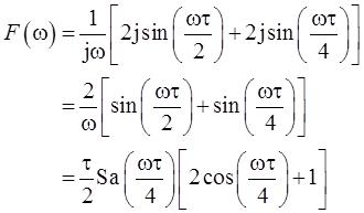
3-15 求图3-2-19所示半波余弦脉冲的傅里叶变换,并画出频谱图。
图3-2-19
解: 由图3-2-19可知,f(t)=Ecos(πt/τ)[u(t+τ/2)-u(t-τ/2)]。
根据定义可得,其傅里叶变换为:
频谱图如图3-2-20所示。
图3-2-20
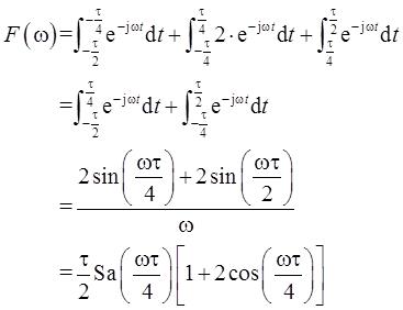
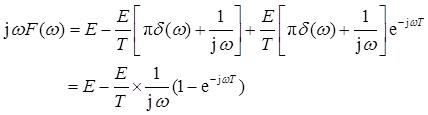
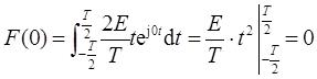
3-16 求图3-2-21所示锯齿脉冲与单周正弦脉冲的傅里叶变换。
图3-2-21
解: (a)由图3-2-21(a)可知,f(t)=2Et/T,(-T/2)≤t≤T/2,则
两边取傅里叶变换,有:
从而
(b)由图3-2-21(b)可知,f´(t)=Eδ(t)-(E/T)[u(t)-u(t-T)],所以
从而
F(ω)=[E/(ω 2 T)](1-jωT-e -jωT )
且
(c)由图3-2-21(c)可知,f(t)=Esin(ω 0 t),t∈[0,T],ω 0 =2π/T,则其傅里叶变换为:
其中ω
0
T=2π,
。
根据傅里叶变换定义知:
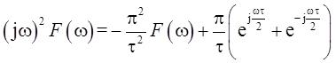
(d)由图3-2-21(d)可知,
,则
两边同时取傅里叶变换,有:
则
,其中
。
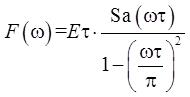
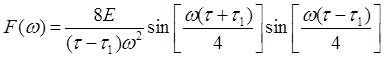
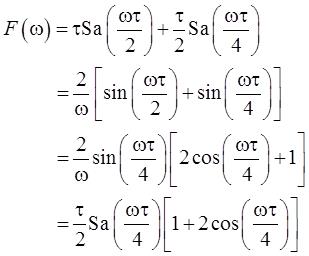
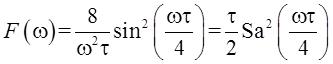
3-17 图3-2-22所示各波形的傅里叶变换可在本章正文或附录中找到,利用这些结果给出各波形频谱所占带宽B f (频谱图或频谱包络图的第一零点值),注意图中的时间单位都为μs。
图3-2-22
解: (a)由图3-2-22(a)可知,f(t)为矩形单脉冲信号,其频谱函数为F(ω)=EτSa(ωτ/2)。脉冲宽度τ=4μs,所以F(ω)的第一个零点为f=1/τ=0.25MHz,带宽B f =0.25MHz。
(b)由图3-2-22(b)可知:
该F(ω)的包络仍为抽样函数,其带宽B f =1/τ=(1/4)MHz=250kHz。
(c)由图3-2-22(c)可知:
因F(ω)的第一零点在f=2/τ,故带宽为B f =2/τ=0.25MHz。
(d)由图3-2-22(d)可知,f(t)为偶对称的三角脉冲信号向右平移半个脉宽的结果,又已知偶对称三角脉冲的频谱函数为(Eτ/2)Sa 2 (ωτ/4),所以f(t)的频谱为:
因平移不改变信号的频带宽度,故带宽为B f =2/τ=2/(2×10 - 6 )Hz=1MHz。
(e)由图3-2-22(e)可知,f(t)是偶对称的梯形脉冲信号右移半个脉宽的结果,已知梯形脉冲信号的频谱函数为:
第一个零点在f=2/(τ+τ 1 )。
因平移不改变带宽,故f(t)的带宽为:
(f)由图3-2-22(f)可知,f(t)为偶对称的抽样脉冲信号Sa(ω c t)右移π/ω c 个单位的结果,已知Sa(ω c t)的频谱函数为F(ω)=(π/ω c )[u(ω+ω c )-u(ω-ω c )]。
第一个零点在f=ω c /2π。
因平移不改变带宽,故f(t)的带宽为B f =ω c /2π=10 6 π/(2π)Hz=0.5MHz。
3-18 升余弦滚降信号的波形如图3-2-23(a)所示,它在t 2 到t 3 的时间范围内以升余弦的函数规律滚降变化。
设t 3 -τ/2=τ/2-t 2 =t 0 ,升余弦脉冲信号的表示式可以写成:
或写作:
其中,滚降系数k=t 0 /(τ/2)=2t 0 /τ。
求此信号的傅里叶变换式,并画频谱图。讨论k=0和k=1两种特殊情况的结果。
[提示:将f(t)分解为f 1 (t)和f 2 (t)之和,如图3-2-23(b),分别求傅里叶变换再相加。]
图3-2-23
解: 由图3-2-23可知,f(t)=f 1 (t)+f 2 (t),其中F 1 (ω)=EτSa(ωτ/2)。
设函数
则有f 2 (t)=g(t-τ/2)+g(-t-τ/2),g(t)为奇函数,其波形如图3-2-24(a)所示,其傅里叶变换为:
所以,根据平移性质可得f 2 (t)的傅里叶变换为:
从而
其频谱图如图3-2-24(b)所示。
图3-2-24
当k=2t 0 /τ=0时,f(t)=f 1 (t),F(ω)=F 1 (ω)=EτSa(ωτ/2);
当k=2t
0
/τ=1时,f(t)是升余弦脉冲信号,
。
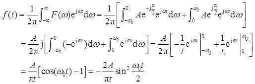
3-19 求图3-2-25所示F(ω)的傅里叶逆变换f(t)。
图3-2-25
解:
(1)由图3-2-25(a)可知:
|F(ω)|=A[u(ω+ω 0 )-u(ω-ω 0 )]
φ(ω)=ωt 0 [u(ω+ω 0 )-u(ω-ω 0 )]
则
。
根据傅里叶逆变换的定义可知:
(2)由图3-2-25(b)可知:
|F(ω)|=A[u(ω+ω 0 )-u(ω-ω 0 )]
φ(ω)=(-π/2)[u(ω+ω 0 )-u(ω)]+(π/2)[u(ω)-u(ω-ω 0 )]
则
同理得:
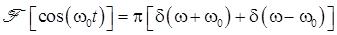
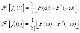
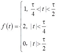
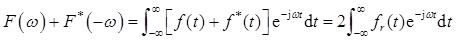
3-20 函数f(t)可以表示成偶函数f e (t)与奇函数f o (t)之和,试证明:
(1)若f(t)是实函数,且
,则
(2)若f(t)是复函数,可表示为f(t)=f r (t)+jf i (t),且F[f(t)]=F(ω)。
则
其中
。
解: (1)由题意可知:
因为f(t)为实函数,所以有f(t)=f * (t),则
即
。
又偶分量为:f e (t)=(1/2)[f(t)+f(-t)],奇分量为:f o (t)=(1/2)[f(t)-f(-t)],故
(2)设f(t)=f
r
(t)+jf
i
(t),因为
,所以
两式左右相加得:
两式左右相减得:
因此
3-21 对图3-2-26所示波形,若已知
,利用傅里叶变换的性质求f
1
(t)以t
0
/2为轴反褶后所得f
2
(t)的傅里叶变换。
图3-2-26
解: 由图3-2-26可知f 2 (t)=f 1 (-t+t 0 )=f 1 [-(t-t 0 )]。
根据傅里叶变换的尺度变换和时移性质,有:
所以
。
3-22 利用时域与频域的对称性,求下列傅里叶变换的时间函数。
(1)F(ω)=δ(ω-ω 0 );
(2)F(ω)=u(ω+ω 0 )-u(ω-ω 0 );
(3)
。
解: 根据对称性,若f(t)↔F(ω),则F(t)↔2πf(-ω)。
(1)因δ(t)↔1,
由对称性,有:
所以时间函数为:
。
(2)因u(t+ω 0 )-u(t-ω 0 )↔2ω 0 Sa(ω 0 ω)
由对称性,有:
2ω 0 Sa(ω 0 t)↔2π[u(-ω+ω 0 )-u(-ω-ω 0 )]=2π[u(ω+ω 0 )-u(ω-ω 0 )]
即
(ω 0 /π)Sa(ω 0 t)↔u(ω+ω 0 )-u(ω-ω 0 )=F(ω)
所以时间函数为:f(t)=(ω 0 /π)Sa(ω 0 t)。
(3)由题意可知:
则
,即f(ω)=(ω
0
2
/π
2
)Sa(ω
0
ω)。
所以时间函数为:f(t)=(ω 0 2 /π 2 )Sa(ω 0 t)。
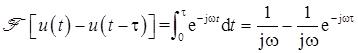
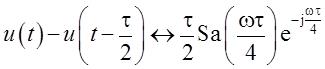
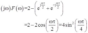
3-23 若已知矩形脉冲的傅里叶变换,利用时移特性求图3-2-27所示的傅里叶变换,并大致画出幅度谱。
图3-2-27
解:
设门函数f
1
(t)=u(t+τ/2)-u(t-τ/2),则
。
由图3-2-27,又f(t)=f 1 (t+τ/2)-f 1 (t-τ/2),则根据傅里叶变换的时移性质,可得:
幅度谱图如图3-2-28所示。
图3-2-28
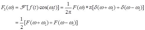
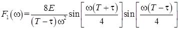
3-24 求图3-2-29所示三角形调幅信号的频谱。
图3-2-29
解: 设三角形脉冲信号为f 1 (t),则f(t)=f 1 (t)cos(ω 0 t),所以F(ω)=(1/2)[F 1 (ω+ω 0 )+F 1 (ω-ω 0 )]。
又三角脉冲信号的傅里叶变换为:
所以
3-25 图3-2-30所示信号f(t),已知其傅里叶变换式
,利用傅里叶变换的性质(不作积分运算),求:
(1)φ(ω);
(2)F(0);
(3)
;
(4)
之图形。
图3-2-30
解:
设三角形脉冲信号f
1
(t),其脉宽τ=4,幅度E=2,则f(t)=f
1
(t-1),故
。
(1)由F(ω)=∣F(ω)∣e jφ ( ω ) =4Sa 2 (ω)e - jω ,可得:φ(ω)=-ω。
(2)F(0)=4Sa 2 (0)=4。
(3)由
,可得:
。
(4)由题3-20(1)可知,
,故有
其波形图如图3-2-31所示。
图3-2-31
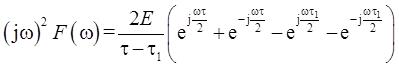
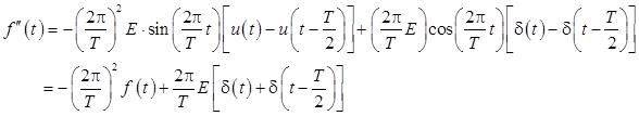
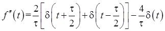
3-26 利用微分定理求图3-2-32所示梯形脉冲的傅里叶变换,并大致画出τ=2τ 1 情况下的频谱图。
图3-2-32
解: 由图3-2-32可知:
对f(t)进行两次求导,可得:
两边进行傅里叶变换,有:
即
当τ=2τ
1
时,
。
其频谱图如图3-2-33所示。
图3-2-33
3-27 利用微分定理求图3-2-34所示半波正弦脉冲f(t)及其二阶导数d 2 [f(t)]/dt 2 的频谱。
图3-2-34
解: 由图3-2-34可知,f(t)=Esin(ω 0 t)[u(t)-u(t-T/2)],其中ω 0 =2π/T。
对f(t)求两次导,有:
两边取傅里叶变换,有:
所以
利用微分性质,可得到二阶导数的傅里叶变换,为:
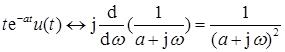
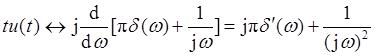
3-28 (1)已知
,求f(t)=te
-
at
u(t)的傅里叶变换。
(2)证明tu(t)的傅里叶变换为jπδ´(ω)+1/(jω) 2 。
(提示:利用频域微分定理。)
解: (1)已知e - at u(t)↔1/(a+jω),由频域微分性质可得:
(2)已知u(t)↔πδ(ω)+1/jω,由频域微分性质可得:
3-29 若已知
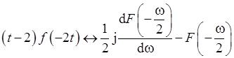
,利用傅里叶变换的性质确定下列信号的傅里叶变换:
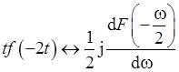
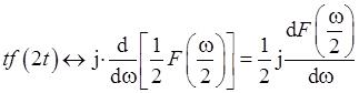
(1)tf(2t);
(2)(t-2)f(t);
(3)(t-2)f(-2t);
(4)td[f(t)]/dt;
(5)f(1-t);
(6)(1-t)f(1-t);
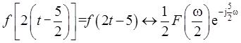
(7)f(2t-5)。
解: (1)由尺度变换性质,有:
f(2t)↔(1/2)F(ω/2)
又由频域微分性质,有:
(2)由分配律,有:
(t-2)f(t)=tf(t)-2f(t)
由频域微分性质,有:
tf(t)↔jd[F(ω)]/dω
所以
(t-2)f(t)↔jd[F(ω)]/dω-2F(ω)。
(3)已知(t-2)f(-2t)=tf(-2t)-2f(-2t),由尺度变换性质,有f(-2t)↔(1/2)F(-ω/2),又由频域微分性质,有:
所以
(4)由时域微分性质,有:
d[f(t)]/dt↔(jω)F(ω)
又由频域微分性质,有:
(5)由时延性质,有f(t+1)↔F(ω)e jω ,又由尺度变换性质,有f(-t+1)↔F(-ω)e - jω 。
(6)已知(1-t)f(1-t)=f(1-t)-tf(1-t)
由题(5)可知:
f(1-t)↔F(-ω)e - jω
又由频域微分性质,有:
所以
(7)由尺度变换,有:
f(2t)↔(1/2)F(ω/2)
又由时延性质,有:
3-30 试分别利用下列几种方法证明
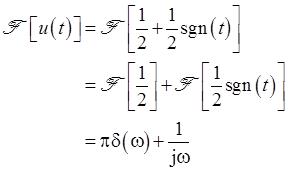
(1)利用符号函数[u(t)=1/2+(1/2)sgn(t)];
(2)利用矩形脉冲取极限(τ→∞);
(3)利用积分定理[
];
(4)利用单边指数函数取极限[
]。
证明:
(1)
由线性性质,可得:
命题得证。
(2)由题意,可得:
所以
根据冲激函数的定义,有:
所以
。
命题得证。
(3)由积分性质
,有:
命题得证。
(4)由
,可得:
根据常用信号双边指数脉冲的傅里叶变换知:
故对于
而言,当a→0时,即为当(1/2)e
-
a|t|
中a→0时的傅里叶变换,其傅里叶变换为(1/2)e
-
0
×
|t|
=1/2↔πδ(ω)。
而
,所以
。
命题得证。
3-31 已知图3-2-35中两矩形脉冲f 1 (t)及f 2 (t),且
(1)画出f 1 (t)*f 2 (t)的图形;
(2)求f 1 (t)*f 2 (t)的频谱,并与习题3-26所用的方法进行比较。
图3-2-35
解: (1)由图3-2-35可知:
f 1 (t)=E 1 [u(t+τ 1 /2)-u(t-τ 1 /2)]
f 2 (t)=E 2 [u(t+τ 2 /2)-u(t-τ 2 /2)]
假设τ 1 >τ 2 ,f 1 (t)*f 2 (t)的波形图如图3-2-36所示。
图3-2-36
(2)因为
,
,所以由卷积定理,有:
为便于和题3-26结论相比较,将两题符号对应如下(该题所有变量上加“
”):
代入式中,可得:
和题3-26结论完全相同。从计算方法上,3-26利用傅里叶变换的时域微分特性和已知冲激函数的傅里叶变换,本题运用卷积特性和已知矩形脉冲的傅里叶变换,由于从形状上矩形脉冲比冲激函数“更接近”梯形脉冲,所以本题方法也更简单。
3-32 已知阶跃函数和正弦、余弦函数的傅里叶变换:
求单边正弦函数和单边余弦函数的傅里叶变换。
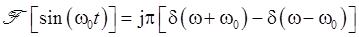
解: 单边正弦函数为sin(ω 0 t)u(t),则根据频域卷积定理有:
单边余弦函数为cos(ω 0 t)u(t),则根据频域卷积定理有:
3-33 已知三角脉冲f 1 (t)的傅里叶变换为F 1 (ω)=(Eτ/2)Sa 2 (ωτ/4)。
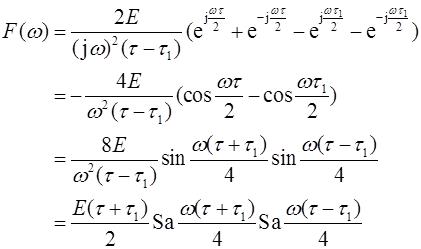
试利用有关定理求f 2 (t)=f 1 (t-τ/2)cos(ω 0 t)的傅里叶变换F 2 (ω)。f 1 (t)、f 2 (t)的波形如图3-2-37所示。
图3-2-37
解: 因为F 1 (ω)=(Eτ/2)Sa 2 (ωτ/4),根据时移特性,有:
由于cos(ω 0 t)↔π[δ(ω+ω 0 )+δ(ω-ω 0 )],则根据卷积定理(时域乘积,频域卷积)有:
3-34 若f(t)的频谱F(ω)如图3-2-38所示,利用卷积定理粗略画出f(t)cos(ω
0
t),
,f(t)cos(ω
1
t)的频谱(注明频谱的边界频率)。
图3-2-38
解: 由频域卷积定理,有:
又
,
所以
三个频谱图如图3-2-39(a)(b)(c)所示。
图3-2-39
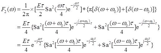
3-35 求图3-2-40所示信号的频谱(包络为三角脉冲,载波为对称方波)。并说明与图3-2-29信号频谱的区别。
图3-2-40
解: 由图3-2-40可知,f(t)=f 1 (t)·f 2 (t)
其中,f 1 (t)为三角脉冲,且F 1 (ω)=(τ 1 /2)Sa 2 (ωτ 1 /4);f 2 (t)为周期T 0 =2τ的对称方波,且
所以
由频域卷积定理,有:
题3-24中载波只有一个频率,调制后的频谱只是将三角脉冲的频谱搬移到ω 0 处,本题中的周期方波包含无数个奇次谐波分量,故调制后的频谱是将三角脉冲信号的频谱以2π/τ为周期重复平移得到的。
3-36 已知单个梯形脉冲和单个余弦脉冲的傅里叶变换(见教材附录三),求图3-2-41所示周期梯形信号和周期全波余弦信号的傅里叶级数和傅里叶变换。并示意画出它们的频谱图。
图3-2-41
解: (1)由附录三查得,单个梯形脉冲的傅里叶变换为:
周期信号f(t)傅里叶级数的系数为:
则f(t)的傅里叶级数为:
傅里叶变换为:
其频谱图如图3-2-42(a)所示。
(2)由附录三查得,单个余弦脉冲傅里叶变换为:
周期信号f(t)傅里叶级数的系数为:
则f(t)的傅里叶级数为:
傅里叶变换为:
其频谱图如图3-2-42(b)所示。
图3-2-42
3-37 已知矩形脉冲和余弦脉冲信号的傅里叶变换(见教材附录三),根据傅里叶变换的定义和性质,利用三种以上的方法计算图3-2-43所示各脉冲信号的傅里叶变换,并比较三种方法。
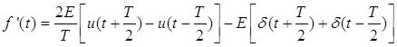
图3-2-43
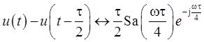
解: (1)①解法一
由图3-2-43(a)可知:
根据定义,则有:
②解法二
对f(t)求导,有:
由时移性质,有:
所以
③解法三
对f(t)进行二次求导,有:
两边进行傅里叶变换,有:
所以
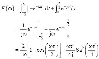
(2)①解法一
由图3-2-43(b)可知:
根据定义,则有:
②解法二
因为f(t)=[u(t)-u(t-τ/2)]-[u(t+τ/2)-u(t)],且由时移性质,有:
所以
③解法三
对f(t)进行求导,有f´(t)=2δ(t)-[δ(t+τ/2)+δ(t-τ/2)]
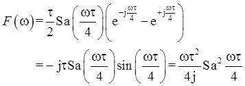
两边进行傅里叶变换:
所以F(ω)=(ωτ 2 /4j)Sa 2 (ωτ/4)。
(3)①解法一
由图3-2-43(c)可知f(t)=cos(πt/τ),-τ/2<t<τ/2。根据定义,则有:
②解法二
由附录三可知,幅值为E,宽度为τ的偶对称单脉冲余弦信号的傅里叶变换为:
由图可知f(t)的幅值1,宽度为τ,所以其傅里叶变换为:
③解法三
对f(t)进行二次求导,有:
两边进行傅里叶变换,有:
所以
(4)①解法一
由图3-2-43(d)可知
根据定义,则有:
②解法二
已知:
f(t)=[u(t+τ/2)-u(t-τ/2)]+[u(t+τ/4)-u(t-τ/4)]
u(t+τ/2)-u(t-τ/2)↔τSa(ωτ/2)
u(t+τ/4)-u(t-τ/4)↔(τ/2)Sa(ωτ/4)
故
③解法三
对f(t)求导,有:f´(t)=δ(t+τ/4)+δ(t+τ/2)-δ(t-τ/2)-δ(t-τ/4),两边进行傅里叶变换,有:
故
3-38 已知三角形、升余弦脉冲的颜谱(见教材附录三)。大致画出图3-2-44中各脉冲被冲激抽样后信号的频谱(抽样间隔为T S ,令T s =τ/8)。
图3-2-44
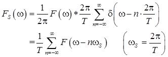
解: 对时域信号进行冲激抽样,抽样间隔为T S ,可表示为:
其频谱为:
(1)图3-2-44(a)为三角脉冲,其傅里叶变换为:
F(ω)=(τ/2)Sa 2 (ωτ/4)
第一个零点ω=4π/τ,且T s =τ/8,ω s =2π/T s =16π/τ,所以冲激抽样后信号的频谱为:
其频谱图大致如图3-2-45(a)所示。
(2)图3-2-44(b)为升余弦脉冲信号,其傅里叶变换为:
第一个零点ω=2π/τ,且T s =τ/8,ω s =2π/T s =16π/τ,所以冲激抽样后信号的频谱为:
其频谱图大致如图3-2-45(b)所示。
(3)图3-2-44(c)为周期信号,相当于图3-2-45(a)中的信号进行周期延拓,故
其频谱为:
其大致波形如图3-2-45(c)所示。
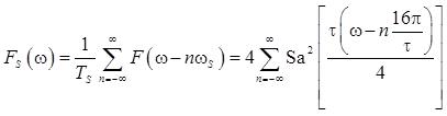
因
,所以冲激抽样后信号的频谱图如图3-2-45(d)所示。
图3-2-45
3-39 确定下列信号的最低抽样率与奈奎斯特间隔:
(1)Sa(100t);
(2)Sa 2 (100t);
(3)Sa(100t)+Sa(50t);
(4)Sa(100t)+Sa 2 (60t)。
解: (1)由Sa(100t)↔(π/100)[u(ω+100)-u(ω-100)]可知,信号的最大角频率为ω m =100,所以最低抽样率为2f m =ω m /π=100/π,奈奎斯特抽样间隔为π/ω m =π/100。
(2)由Sa 2 (100t)↔(π/100)[1-∣ω∣/200],∣ω∣<200可知,信号最大角频率为ω m =200,所以最低抽样率为2f m =200/π,奈奎斯特抽样间隔为π/ω m =π/200。
(3)由Sa(50t)↔(π/50)[u(ω+50)-u(ω-50)],Sa(100t)↔(π/100)[u(ω+100)-u(ω-100)]可知,信号最大角频率为ω m =100,所以最低抽样率为2f m =ω m /π=100/π,奈奎斯特抽样间隔为π/ω m =π/100。
(4)由Sa 2 (60t)↔(π/60)[1-∣ω∣/120],∣ω∣<120可知,信号最大角频率为ω m =120,所以最低抽样率为2f m =120/π,奈奎斯特抽样间隔为π/ω m =π/120。
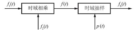
3-40 若
,p(t)是周期信号,基波频率为ω
0
,
。
(1)令f
p
(t)=f(t)p(t),求相乘信号的傅里叶变换表达式
;
(2)若F(ω)图形如图3-2-46所示,当p(t)函数表达式为p(t)=cos(t/2)或以下各小题时,分别求F P (ω)表达式并画出频谱图;
(3)p(t)=cost;
(4)p(t)=cos(2t);
(5)p(t)=(sint)sin(2t);
(6)p(t)=cos(2t)-cost;
(7)
;
(8)
;
(9)
;
(10)p(t)是图3-2-2所示周期矩形波,其参数为T=π,τ=T/3=π/3,E=1。
图3-2-46
解:
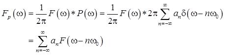
(1)因为
已知f p (t)=f(t)p(t),由频域卷积定理,有:
(2)当p(t)=cos(t/2)时,P(ω)=π[δ(ω+1/2)+δ(ω-1/2)],则
F p (ω)=(1/2)[F(ω+1/2)+F(ω-1/2)]
频谱如图3-2-47(b)所示。
(3)当p(t)=cost时,P(ω)=π[δ(ω+1)+δ(ω-1)],则
F p (ω)=(1/2)[F(ω+1)+F(ω-1)]
频谱如图3-2-47(c)所示。
(4)当p(t)=cos(2t)时,P(ω)=π[δ(ω+2)+δ(ω-2)],则
F p (ω)=(1/2)[F(ω+2)+F(ω-2)]
频谱如图3-2-47(d)所示。
(5)当p(t)=(sint)·sin(2t)时,有:
则
F p (ω)=(1/4)[F(ω+1)+F(ω-1)-F(ω+3)-F(ω-3)]。
频谱如图3-2-47(e)所示。
(6)当p(t)=cos(2t)-cos(t)时,P(ω)=π[δ(ω+2)+δ(ω-2)-δ(ω+1)-δ(ω-1)]
则
F p (ω)=(1/2)[F(ω+2)+F(ω-2)-F(ω+1)-F(ω-1)]。
频谱如图3-2-47(f)所示。
(7)当
时,有:
则
频谱如图3-2-47(g)所示。
(8)当
时,有:
则
频谱如图3-2-47(h)所示。
(9)当
时,有:
则
频谱如图3-2-47(i)所示。
(10)当p(t)为周期矩形波,且T=π,τ=T/3=π/3,E=1时,其傅里叶系数为:
F n =(Eτ/T)Sa[(nω 1 τ)/2]=(1/3)Sa(nπ/3),(ω 1 =2π/T=2)
则傅里叶变换为:
所以
频谱如图3-2-47(j)所示。
图3-2-47
3-41 系统如图3-2-48所示,f
1
(t)=Sa(1000πt),f
2
(t)=Sa(2000πt),
,f(t)=f
1
(t)f
2
(t),f
s
(t)=f(t)p(t)。
(1)为从f s (t)无失真恢复f(t),求最大抽样间隔T max ;
(2)当T=T max 时,画出f s (t)的幅度谱∣F S (ω)∣。
图3-2-48
解: (1)因为f 1 (t)=Sa(1000πt),f 2 (t)=Sa(2000πt),所以:
F 1 (ω)=10 - 3 [u(ω+1000π)-u(ω-1000π)]
F 2 (ω)=(1/2)×10 - 3 [u(ω+2000π)-u(ω-2000π)]
根据卷积定理,有:
由此可知,最大角频率为ω m =3000πrad/s,从而最大抽样间隔T max =2π/2ω m =(1/3000)s。
(2)因为
,f
s
(t)=f(t)·p(t)是对于f(t)的冲激抽样信号,所以其频谱为:
当T s =T max 时,ω s =2π/T max =2ω m =6000πrad/s。
其幅度谱|F S (ω)|如图3-2-49所示。
图3-2-49
3-42 若连续信号f(t)的频谱F(ω)是带状的(ω 1 ~ω 2 ),如图3-2-50所示。
(1)利用卷积定理说明当ω 2 =2ω 1 时,最低抽样率只要等于ω 2 就可以使抽样信号不产生频谱混叠;
(2)证明带通抽样定理,该定理要求最低抽样率ω S 满足下列关系:ω s =2ω 2 /m,其中m为不超过ω 2 /(ω 2 -ω 1 )的最大整数。
图3-2-50
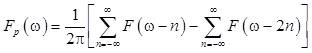
解: (1)对连续信号进行冲激抽样后得到的抽样信号为:
则
当ω 2 =2ω 1 =ω s 时,采用ω s =ω 2 的频率进行抽样,所得F s (ω)如图3-2-51(a)所示,可见频谱并未发生混叠。ω 2 =mB+kB,0≤k<1。
(2)设ω 2 -ω 1 =B,又m为不超过ω 2 /(ω 2 -ω 1 )的最大整数,故有:
ω 2 =mB+kB,0≤k<1
ω 1 =(m-1)B+kB
又设F(ω)经过n次右移后叠加得到图3-2-51(b),若没有混叠,则
由图3-2-51(b)可知,要在两波形之间无混叠地插入L n ,则ω s 至少要为2B,这样波形L移至L n 时最大整数值n应满足:
n≤2ω 2 /2B=(mB+kB)/B=m+k
因0≤k<1,故n=m,则有:
又因为
2ω 2 /m=(2mB+2kB)/m=2B+2kB/m
从而2ω 1 /(m-1)>2ω 2 /m
因此,最低抽样频率:ω S =2ω 2 /m。
图3-2-51