



1 用时域经典法求出的系统方程解可以分为齐次解和特解,分别对应系统的( )。 [重庆大学2024研]
A.零输入响应和零状态响应
B.零状态响应和零输入响应
C.自由响应和强迫响应
D.强迫响应和自由响应
【答案】 C
【解析】 齐次解的函数形式仅依赖于系统本身的特性,而与激励的函数形式无关,称为系统的自由响应或固有响应;特解的形式由激励信号决定,称为强迫响应。
2 以下单位冲激响应中,( )不对应稳定系统。 [武汉科技大学2017研]
A.h(t)=costu(t)
B.h(t)=te - t u(t)
C.h(t)=e 2t u(-t+2)
D.h(t)=(sint)/t
【答案】 A
【解析】
利用
来判断系统是否稳定,即当t趋向于正负无穷时,若h(t)≠0,则系统必然是不稳定的,而
,因此h(t)=costu(t)不对应稳定系统。
3 下列表达式中正确的是( )。 [中山大学2010研]
A.δ(2t)=δ(t)
B.δ(2t)=δ(t)/2
C.δ(2t)=2δ(t)
D.δ(2t)=δ(2/t)
【答案】 B
【解析】 根据单位冲激函数的时间尺度变换性质,有δ(at)=δ(t)/|a|。
1
算式
_______。
[电子科技大学2025研]
【答案】
【解析】
。
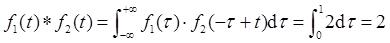
2 卷积积分tu(t)*u(t-2)的值为______。 [武汉大学2015研]
【答案】 (1/2)(t-2) 2 u(t-2)
【解析】 本题用时域解答,需先知道卷积公式tu(t)*u(t)=(1/2)t 2 u(t),则原式可化为:
tu(t)*u(t-2)=tu(t)*u(t)*δ(t-2)=[(1/2)t 2 u(t)]*δ(t-2)=(1/2)(t-2) 2 u(t-2)
此外也可以用频域解答,先求两式的拉氏变换,相乘后取反变换即可得卷积结果。
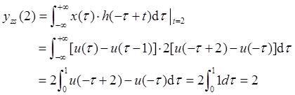
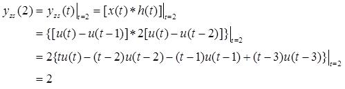
3 某连续时间LTI系统,若系统的输入x(t)=u(t)-u(t-1),冲激响应h(t)=2[u(t)-u(t-2)],则该系统的零状态响应y zs (t)在t=2时刻的值y zs (2)=______。 [北京交通大学2015研]
【答案】 2
【解析】 求系统零状态响应用卷积法。即y zs (t)=x(t)*h(t)。
解法一: 依题意有:
解法二: 根据题意,可得零状态响应为:
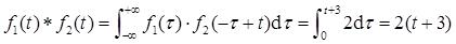
4 卷积积分(2t+1)*[u(t)-u(t-1)]=______。 [华中科技大学2012研]
【答案】 2t
【解析】 根据时域卷积的定义可知:
1 信号经过线性时不变系统,其输出不会产生与输入信号频率成分不同的频率分量。( ) [北京邮电大学2016研]
【答案】 对
【解析】 线性时不变系统的输出响应中只包含激励信号的频率成分,不会产生新的频率分量。
2 如果x(t)和h(t)是奇函数,则y(t)=x(t)*h(t)是偶函数。( ) [北京邮电大学2016研]
【答案】 对
【解析】 因为x(t)和h(t)为奇函数,y(t)=x(t)*h(t),则y(-t)=x(-t)*h(-t)=[-x(t)]*[-h(t)]=x(t)*h(t)=y(t)。
因此y(t)=x(t)*h(t)是偶函数。
1
某系统框图如图2-3-1所示,其中输入信号为x(t),已知
,
,试求系统的冲激响应h(t)。
[复旦大学2025研]
图2-3-1
解:
,
,则可得:
因此,系统的冲激响应为:
。
2
因果稳定LTI系统的冲激响应h(t)为实信号,
,系统的零点为负,求系统的单位冲激响应h(t)。
[复旦大学2025研]
解:
,零点为负,且系统因果(极点必须位于虚轴左侧)。
则
,故系统的单位冲激响应为:
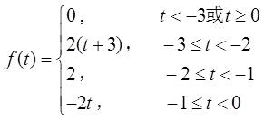
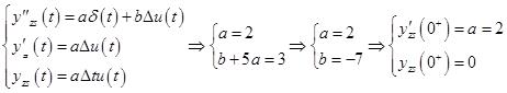
3 LTI系统中微分方程为:y″(t)+5y′(t)+6y(t)=2x′(t)+3x(t),y(0 — )=2,y′(0 — )=1,输入信号x(t)=u(t),请用时域分析法求:
(1)求零输入响应和零状态响应;
(2)求系统的自由响应和强迫响应。 [重庆大学2024研]
解: (1)特征方程为:α 2 +5α+6=(α+2)(α+3)=0。
解得:
设零输入响应为:
。
又由于零状态所有0负时刻的值都为0,则:
代入得:
解得:
因此零输入响应为:
。
根据特征根可设:
。
t>0时自由项为1,设特解为:
。
代入方程解得:
。
则
。
根据冲激函数匹配法可得:
代入得:
解得:
因此零状态响应为:
。
(2)根据(1)可得全响应为:
因此自由响应为
,强迫响应为
。
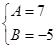
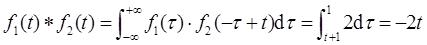
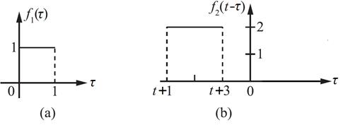
4 已知函数f 1 (t)和f 2 (t)波形如图2-3-2所示,求f(t)=f 1 (t)*f 2 (t)的表达式,并画出f(t)的波形图。 [西安电子科技大学2017研]
图2-3-2
解:
利用图解法求解二者卷积:
。
(1)当t<-3时,如图2-3-3,显然,f 1 (t)*f 2 (t)=0;
图2-3-3
(2)当-3≤t<-2时,如图2-3-4,有:
图2-3-4
(3)当-2≤t<-1时,如图2-3-5,有:
图2-3-5
(4)当-1≤t<0时,如图2-3-6,有:
图2-3-6
(5)当t≥0时,如图2-3-7,显然f 1 (t)*f 2 (t)=0。
图2-3-7
综上,f(t)的表达式为:
其波形图如图2-3-8所示。
图2-3-8
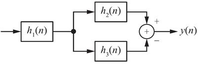
5 一个互联线性时不变离散系统如图2-3-9所示,它的子系统的单位样值响应分别为:
h 1 (n)=δ(n)+2δ(n-1)+δ(n-2),h 2 (n)=u(n),h 3 (n)=u(n-3)
联系y(n)和x(n)的总系统的单位样值响应记为h(n)。
图2-3-9
(1)将h(n)用h 1 (n),h 2 (n)和h 3 (n)表示出来。
(2)用(1)的结果具体计算h(n),并画出h(n)的波形图。 [北京邮电大学2016研]
解: (1)由系统框图可知:h 2 (n)和h 3 (n)并联后与h 1 (n)相级联,因此,总系统的单位样值响应为:h(n)=h 1 (n)*[h 2 (n)-h 3 (n)]。
(2)将h 1 (n),h 2 (n)和h 3 (n)表达式代入(1)中可知:
h(n)=[δ(n)+2δ(n-1)+δ(n-2)]*[u(n)-u(n-3)]=[u(n)-u(n-3)]+2[u(n-1)-u(n-4)]+[u(n-2)-u(n-5)]=u(n)+2u(n-1)+u(n-2)-u(n-3)-2u(n-4)-u(n-5)=δ(n)+3δ(n-1)+4δ(n-2)+3δ(n-3)+δ(n-4)
h(n)的波形图如图2-3-10所示。
图2-3-10
6 某LTI系统的输入x 1 (t)与零状态相应y zs1 (t)分别如图2-3-11中(a)与(b)所示:
(1)求系统的冲激响应h(t)、并画出h(t)的波形。
(2)当输入为如图2-3-11中图(c)所示的信号x 2 (t)时,画出系统的零状态响应y zs2 (t)的波形。 [西南交通大学2014研]
图2-3-11
解: (1)根据图形可写出x 1 (t)与y zs1 (t)的函数式为:
y zs1 (t)=t[u(t)-u(t-1)]+(2-t)[u(t-1)-u(t-2)]=tu(t)*[δ(t)-2δ(t-1)+δ(t-2)]
x 1 (t)=u(t)-u(t-1)=u(t)*[δ(t)-δ(t-1)]
由于y zs1 (t)=x 1 (t)*h(t),利用公式u(t)*u(t)=tu(t),可得:
y zs1 =tu(t)*[δ(t)-2δ(t-1)+δ(t-2)]=u(t)*[δ(t)-δ(t-1)]*u(t)*[δ(t)-δ(t-1)]={u(t)*[δ(t)-δ(t-1)]}*x 1 (t)
因此h(t)=u(t)*[δ(t)-δ(t-1)]=u(t)-u(t-1),图形如图2-3-12所示。
图2-3-12
(2)x 2 (t)=x 1 (t)-x 1 (t-1),根据LTI系统特性可得:y zs2 (t)=y zs1 (t)-y zs1 (t-1)。系统的零状态响应y zs2 (t)的波形如图2-3-13所示。
图2-3-13