



1 期限为2年的国债,面值100元,票面利率5%,当前的市场价格为105元,求年化的利率(结果保留小数点后一位数字)。 [中山大学2025年研]
答: 年化利率=(总收益/市场价格)×(1/期限)×100%=(5/105)×(1/2)×100%=2.4%
2 无风险利率为0.04,市场组合的夏普比率为2.5,股票A收益率与市场组合收益率的相关系数为0.4,股票A收益率的方差为0.04,计算股票A的预期收益率。 [中南财经政法大学2024年研]
答: 夏普比率=(R m -R f )/σ m =2.5,β=σ p ·ρ/σ m =0.2×0.4/σ m =0.08/σ m ,股票A的预期收益率=R f +β×(R m -R f )=0.04+0.08/σ m ×(R m -R f )=0.04+0.08×(R m -R f )/σ m =0.04+0.08×2.5=0.24。
3 (1)某公司预期未来3年股利收益分别是5元/股,7元/股,6元/股,当前资本成本率5%,股价20元/股,问股价被高估还是低估?
(2)当前股价40元/股,3个月远期期货43元/股,无股利,年利率5%,问如何套利? [天津大学2019年研]
答: (1)股价=未来所有股利的贴现值,有公式:
P=D 1 /(1+R)+D 2 /(1+R) 2 +D 3 /(1+R) 3
其中,P代表股价;D代表各期股利;R代表资本成本率;代入数值则有:
P=5/(1+5%)+7/(1+5%) 2 +6/(1+5%) 3 =16.29(元)
由于16.29元<20元,所以股价被高估了。
(2)假定该股票的即期价格为S 0 ,T是远期合约到期的时间,r是以连续复利计算的无风险年利率,F 0 是远期合约的即期价格,如果F O >S 0 ×e rT ,套利者可以买入股票同时卖空股票的远期期货合约;如果F O <S 0 ×e rT ,套利者可以卖空股票同时买入股票的远期期货合约;
此时,由于S 0 ×e rT =40×e 0.05 × 3/12 =40.5元<43元;
所以,投资者可以买入股票,同时卖空远期期货合约来套利,合约到期,即三个月后,投资者可获利:43-40.5=2.5元。
4 去年支付的股利为2美元,预计未来股利以10%的固定比率增长,股东要求的回报率为20%。求股票今天的价格。 [西南财经大学2017年研]
答: 根据股利增长模型(DDM),股票当前的价格P 0 =D 1 /(R-g),其中D 1 为股票1期后的预期股利,R为股东要求的回报率,g为股利增长率。
在本题中,R=20%,g=10%,D 1 =2×(1+10%)=2.2(美元)。
因此,股票今天的价格=2.2/(20%-10%)=22(美元)。
5 一价定律(或无套利均衡分析方法)是现代金融学重要的理论之一,被广泛地运用于金融产品及其衍生品的定价。市场现有如下几种金融产品,相关信息分别如下:
纯贴现国债:到期期限2年、面值¥1000,当前价格为¥907.03;
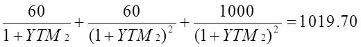
附息国债: 票面利率6%(每年付息)、到期期限2年、面值¥1000,当前价格¥1019.70;
股票: 当前股价¥100/股,1年后股价有¥120/股或¥80/股两种可能;
看涨期权: 以上述股票为标的资产、1年后到期、执行价格¥110/股的欧式期权。
(1)根据以上信息,分别计算纯贴现国债和附息国债的到期收益率(YTM),并创设一种“到期期限1年、面值¥1000”的纯贴现国债,以及确定其价格和到期收益率。
(2)在(1)的基础上,利用二项式(或二叉树)期权定价方法,确定看涨期权的价格。
(3)如果1年后的股价有¥120/股或¥60/股两种可能,重新确定看涨期权价格,并将之与(2)的结果进行对比分析。 [电子科技大学2016年研]
答: (1)①假定纯贴现债券的到期收益率为YTM 1 ,债券价格为P 1 ,面值为C,则:C/(1+YTM 1 ) 2 =P 1 ,将数据代入公式:1000/(1+YTM 1 ) 2 =907.03。
解得: YTM 1 ≈5%。
②假定附息国债的到期收益率为YTM 2 ,债券价格为P 2 ,面值为C,票面利率为r,则:
将数据代入公式:
解得: YTM 2 ≈4.94%。
③由题知,设新创设债券的价格为P 3 ,债券的现金流如下表所示:
通过N 1 份1年期贴现债券与N 2 份2年期贴现债券构造出1份两年期附息债券,也就是现金流进行匹配。
N 1 ×1000+N2×0=60,N 1 ×0+N 2 ×1000=1060。
得N 1 =60/1000,N 2 =1060/1000。
由60/1000份1年期贴现债券与1060/1000份2年期贴现债券组成的复制债券与1份附息债券在第1年和第2年的现金流完全相同,根据无套利均衡分析,两只债券的当前价格必然相等,因此有:(-P 3 )×(60/100)+(-P 1 )×(1060/1000)=-P 2 ,1000/(1+YTM 3 )=P 3 。
将P 1 =907.03,P 2 =1019.70代入上式,解得P 3 =970.80(元),YTM 3 =3.01%,即“到期期限1年、面值¥1000”的纯贴现债券的当前价格为¥970.80,到期收益率为3.01%。
(2)由题意可知,股票现价S 0 =100,在到期日股票价格以概率p上升到S u =120,以概率1-p下降为S d =80,期权执行价格X=110,股价上升比例u=1.2,股价下降比例d=0.8,股价上升情况下期权价值C u =10,股价下降情况下期权价值C d =0,无风险利率r=3.01%。因此有:p=(e rT -d)/(u-d)=(e 3.01% -0.8)/(1.2-0.8)=0.5764,C=[p×C u +(1-p)×C d ]×e - rT =(0.5764×10+0)×e - 3.01% =5.59。
由此可知,该看涨期权价格为¥5.59。
(3)由题意可知,股票现价S 0 =100,在到期日股票价格以概率p上升到S u =120,以概率1-p下降为S d =60,期权执行价格X=110,股价上升比例u=1.2,股价下降比例d=0.6,股价上升情况下期权价值C u =10,股价下降情况下期权价值C d =0,无风险利率r=3.01%。因此有:p=(e rT -d)/(u-d)=(e 3.01% -0.6)/(1.2-0.6)=0.7176,C=[p×C u +(1-p)×C d ]×e - rT =(0.7176×10+0)×e - 3.01% =6.96。
由此可知,该看涨期权价格为¥6.96。
比较(2)和(3)的结果可以看到,看涨期权的价格随着标的股票价格变化幅度的增大而提高。股票的价格变化幅度增大事实上说明股价的波动率增大,因此这一结果反映了期权价格不仅与标的资产的价格有关,并且与标的资产的波动性有关的事实。期权对于波动率的敏感性称为期权的Vega值,对于期权多头而言,Vega值一定是正的,标的资产波动率增大会提高期权的价格。
6 A资产和B资产的方差-协方差矩阵如下表
假设A资产和B资产的E(r)分别为2和1。
(1)计算两资产的相关系数?
(2)如果一项资产组合包括50%A资产和50%B资产,计算该资产组合的预期收益率和风险?
(3)计算最优资产组合的权重? [暨南大学2016年研]
答: (1)由上表可得,A、B两资产的协方差为Cov(A,B)=0.12,A资产的方差为σ A 2 =0.16,B资产的方差为σ B 2 =0.25,因此,σ A =0.4,σ B =0.5。
相关系数计算公式为:ρ=Cov(A,B)/σ A σ B =0.12÷0.2=0.6。
(2)预期收益为资产A和资产B的预期收益的加权平均和,即:E=0.5×2+0.5×1=1.5。风险计算公式为:σ 2 =0.25σ A 2 +0.25σ B 2 +2×0.5×0.5×Cov(A,B)。
即: σ 2 =0.25×0.16+0.25×0.25+2×0.5×0.5×0.12=0.1625。
(3)设A资产的权重为X A ,B资产的权重为X B ,最优组合权重要使组合的方差最小,即满足:X A +X B =1。
minσ 2 =X A 2 σ A 2 +X B 2 σ B 2 +2X A X B Cov(A,B)
解得X A =1,X B =0。
7 某股票当前支付的红利为每股2元。市场上的无风险利率为6%,这只股票的风险溢价为4%。
(1)如果分析师预测该股票年分红将维持每股2元不变,那么这只股票的估值为多少?
(2)如果分析师预测该股票的年分红将以常数2%增长,那么这只股票的估值为多少?
(3)如果分析师预测该股票分红的稳定增长率略高于2%,那么将会如何影响分析师对于股票的估值? [北京航空航天大学2014年研]
答: 该股票的内部报酬率k=6%+4%=10%。
(1)根据零增长股利模型,这只股票的价值P=D/k=2/10%=20(元)。
(2)根据固定增长股利模型,这只股票的价值P=D 1 /(k-g)=2×(1+2%)/(10%-2%)=25.5(元)。
(3)根据固定增长股利模型,股票价值P=D 0 (1+g)/(k-g),当其他条件不变时,股票价值P与股利增长率g同方向变动。所以分析师预测该股票分红的稳定增长率略高于2%,股票价值将高于25.5元。
8 若短期国债(被认为是无风险的)的收益率为3%,某贝塔系数(β)为1.2的资产组合要求的期望收益率为9%。请计算:
(1)市场组合的期望收益率是多少?
(2)贝塔系数(β)为零的股票组合的期望收益率是多少?
(3)如果某股票的贝塔系数为0.9,当前价格为15元,预计该股票下一年度将派发红利1元,投资者预期一年后能够以17元卖出该股票。请问投资者当前是否应该购买该股票?为什么? [南京大学2013年研]
答: (1)资产组合期望收益率=无风险收益率+β×(市场组合期望收益率-无风险收益率),即R i =R f +β(R m -R f ),将题干中的数值代入,得9%=3%+1.2×(R m -3%),解得:R m =8%,市场组合的期望收益率为8%。
(2)β值表示投资组合对系统风险的敏感程度,β值为0的投资组合为无风险投资组合,即当指数发生变动时,投资组合不会发生相应变动,所以,贝塔系数(β)为零的股票组合的期望收益率等于无风险收益率,即3%。
(3)首先计算股票的期望收益率:R i =R f +β(R m -R f )=3%+0.9×(8%-3%)=7.5%,则股票现值应为(17+1)/(1+7.5%)=16.74(元),16.74>15,因此股票现在被低估,当前应该购买该股票。
9 H公司普通股目前的价格为28元/股,投资者李四以50元/份的价格买入2份H公司普通股的看涨(买入)期权,以30元/份的价格买入1份H公司普通股的看跌(卖出)期权。看涨期权的执行价格为30元/股,看跌期权的执行价格为25元/股,看涨和看跌期权具有相同的到期日,每份期权赋予投资者买卖股票的数额为100股。如果期权到期日H公司普通股的价格为33元/股,不考虑其他交易费用,请计算李四这次投资的净收益(损失)。 [中国科学技术大学2013年研]
答: 根据题意,股票的市场价格高于期权的执行价格,应该执行看涨期权。
则投资的净收益为:(33-30)×2×100-50×2-30=470(元)。
10 已知某看涨期权的执行价格为100美元,期限为一年,在此期间标的股票不支付红利,当前价格为100美元。若投资者认为股票价格涨至120美元或跌至80美元的可能性均为50%,无风险利率为10%。请用二项式期权定价模型计算该看涨期权的价值。 [北京航空航天大学2012年研]
答: 构造一个无风险套期保值组合:以100美元买入1份股票,同时卖出m份以该股票为标的物的看涨期权。r为无风险利率,C为看涨期权的价值;S为股票当前价格。
当股票价格上涨时,期权价值C u =120-100=20(美元);当股票价格下降时,期权价值C d =0。股票价格上涨幅度u=120/100=1.2,股票价格下降幅度d=80/100=0.8。
该无风险套期保值组合在每种状态下的支付相等,即有u×S-m×C u =d×S-m×C d 。
即120-m×20=80-m×0,解得m=2。
又因为,该无风险套期保值组合期初的价格等于期末支付的现值,即(u×S-m×C u )/(1+r)=S-m×C。
将相应数据代入解得,C=13.64(美元)。
11 李先生是钱江投资咨询公司的一名投资分析师,接受委托对西湖商业股份公司投资建设新商场项目进行评估分析。李先生根据西湖商业股份公司具体情况做了如下测算:
(1)公司本年度净收益为5000万元,每股支付股利2元,新商场建成开业后,预计净收益第一年、第二年、第三年均增长15%,第四年增长8%,第五年及以后各年将维持第四年的净收益水平;
(2)公司一直采用固定支付率的股利政策,并打算今后继续执行该政策;
(3)现在公司的β系数为1,新商场项目建成投产后β系数将提高到1.5;
(4)国库券年收益率为5%,预计市场年收益率为8%;
(5)目前公司股票的市价为28.6元。
李先生打算利用股利贴现模型,同时考虑风险因素进行股票价值的评估。西湖商业股份公司的一位董事提出,如果采用股利贴现模型,则股利越高,股价越高,所以公司应改变原有的股利政策,提高股利支付比率。
请你协助李先生完成以下工作:
(1)分析这位董事的观点是否正确,如果不正确,请说明理由。
(2)分析股利增加对可持续增长率和股票的账面价值有何影响?
(3)评估该公司股票价值。 [浙江工商大学2011年研]
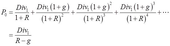
答: (1)这位董事的观点不正确,根据股利贴现模型同时考虑风险因素后,股利增长率固定时,普通股的价格为:P 0 =Div 1 /(R-g)。式中,g是增长率,Div 1 是第一年年底的股利。因此,股价不只和股利有关,和其他因素也有关系,只有当其他条件不变时,股利越高,股价才越高。
(2)可持续增长率可计算如下:可持续增长率=ROE×b/(1-ROE×b)。当其他条件不变时,股利越高,股价越高,股票的账面价值越高。当其他条件不变时,股利增加,留存收益减少,故可持续增长率降低。
(3)若用CAPM模型,股票的期望收益率为E(R S )=R f +β×(R M -R f )=5%+1.5×(8%-5%)=9.5%
因此有公司股票的内在价值为:P=2×(1+15%)/(1+9.5%)+2×(1+15%) 2 /(1+9.5%) 2 +2×(1+15%) 3 /(1+9.5%) 3 +2×(1+15%) 3 ×(1+8%)/[(9.5%-8%)×(1+9.5%) 3 ]≈173.43(元)。
当股票的内在价值低于股价时,股票被低估。当股票的内在价值低高于股价时,股票被高估。28.6元<173.43元,因此该股票被低估了。
12 艺馨公司本次派发的股利为每股2元,投资者对艺馨同类公司要求15%的报酬率。艺馨公司的股利每年增长5%。请用股利增长模型计算,艺馨公司股票目前的价值是多少?3年后的价值是多少?并分析,在股利增长模型中,股价与股利增长率之间的关系。(保留小数点后3位) [深圳大学2011年研]
答: 股利增长率固定的普通股的价格为:
式中,g是增长率,Div 1 是第一年年底的股利,R为股东报酬率。
由此公式算得目前股价为2×1.05/(15%-5%)=21(元),3年后的股价为2×1.05 4 /(15%-5%)≈24.310(元)。
在股利增长模型中,股价与股利增长率之间成正比关系。
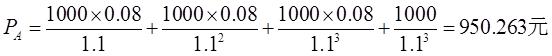
13 现有三年期国债两种,分别按一年和半年付息方式发行,其面值为1000元,票面利率为6%,市场利率为8%,其发行价格分别是多少? [金融联考2004年研]
答: 当按一年付息时,发行价格应该为
当按半年付息时,发行价格应该为
14 假设目前市场上的利率期限结构是平坦的,市场年利率均为10%(一年计一次复利),一个债券基金经理面临着市场上的两种债券:债券A面值1000元,息票率为8%,一年付一次利息;债券B面值1000元,息票率为10%,一年付一次利息。这两个债券都是三年后到期,到期时一次性偿还本金,但是该经理只打算进行一年期的投资,并且该经理预期一年后市场利率期限结构将近乎平行地下降,而市场普遍认为一年后市场利率基本不变。不考虑其他因素,请问对于该经理而言,哪种债券是较好的选择? [金融联考2004年研]
答: 应该购买债券A,原因如下:
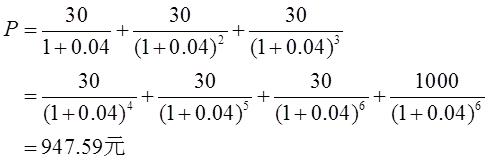
债券A目前的价格为
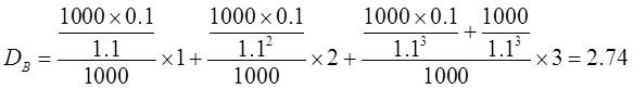
债券A的久期为
由于债券B的息票利率与当前市场利率相同,所以债券B的市场价格即为面值1000元,其久期为:
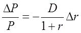
根据利率波动与债券价格波动的关系:
由于对于两种债券的当前市场利率都相同,A债券的久期高于B债券,所以当利率波动幅度相同时,A债券的价格波动幅度更大。由于债券基金经理估计未来利率下跌,所以债券价格应该上升,又由于A债券久期更长,所以A债券价格上升幅度更大,预期收益率更高。应该选择A债券。
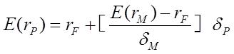
15 假设市场组合由两个证券A和B组成,它们的投资比例分别是40%和60%。已知这两个证券的期望收益率分别是10%、15%,标准差分别是20%、28%,其相关系数为0.3。假设无风险收益率为5%。写出资本市场线方程。 [东北财大2003年研]
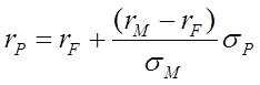
答: 资本市场线方程为:
其中,r M 、r F 、σ M 分别代表市场组合的收益率、无风险收益率、市场组合的标准差。
市场组合的预期收益率为r M =10%×40%+15%×60%=13%。
市场组合的标准差为:
由此可以得到资本市场线方程为:r P =5%+[(13%-5%)/20.66%]σ P 。
所以,资本市场线方程为r P =5%+0.39σ P 。
16 某投资基金2000年的实际收益率是7.2%,经估算该投资基金的标准差为10%,它的β系数为0.9,市场组合的实际收益率是8%,标准差为14%。试用Jensen、Treynor和Sharpe三种业绩指数评价该投资基金的业绩。 [东北财大2003年研]
答: (1)Jensen指数
由
可得r F =5.2%;
J P =E(r P )-{r F +[E(r M )-r F ]×β P }=7.2%-{5.2%+[8%-5.2%]×0.9}=-0.0052<0。
该投资基金的绩效不好。
(2)Treynor指数
T P =[E(r P )-r F ]/β P =(7.2%-5.2%)/0.9=0.022<0.9
由于Treynor指数小于证券市场线的指数,因此该投资基金的绩效不如市场绩效好。
(3)Sharpe指数
S P =[E(r P )-r F ]/σ P =(7.2%-5.2%)/10%=0.2
S P =[E(r M )-r F ]/σ M =(8%-5.2%)/14%=0.2
位于资本市场线上的夏普指数与市场组合的夏普指数均相等,表明该投资基金中等绩效。