



1 对于由两个证券构成的资产组合,可以用贝塔系数和收益方差两种方法度量该组合的风险,请写出具体的计算公式,并分析这两种方法各自有何优点。 [上海外国语大学2025年研]
答: (1)由两个证券构成的资产组合,其风险可用贝塔系数和收益方差两种方法度量,具体计算公式如下:
①贝塔系数度量法。资产组合的贝塔系数(β p )是组合中各证券贝塔系数的加权平均,计算公式为:β p =w 1 β 1 +w 2 β 2 。其中,w 1 、w 2 分别为两种证券在组合中的权重(w 1 +w 2 =1);β 1 、β 2 分别为两种证券的贝塔系数,且β i =cov(r i ,r m )/σ m 2 ,cov(r i ,r m )为第i种证券收益率与市场指数收益率的协方差,σ m 2 为市场指数收益率的方差。
②收益方差度量法。资产组合的收益方差(σₚ 2 )不仅与组合中各证券的方差有关,还与两种证券收益率的协方差相关,计算公式为:σₚ 2 =w 1 2 σ 1 2 +w 2 2 σ 2 2 +2w 1 w 2 cov(r 1 ,r 2 )。其中,σ 1 2 、σ 2 2 分别为两种证券收益率的方差;cov(r 1 ,r 2 )为两种证券收益率的协方差,且cov(r 1 ,r 2 )=ρ 12 σ 1 σ 2 ,ρ 12 为两种证券收益率的相关系数,σ 1 、σ 2 分别为两种证券收益率的标准差。
(2)贝塔系数度量法的优点主要有:
①聚焦系统性风险。贝塔系数专门衡量资产组合的系统性风险,即由市场共同因素(如宏观经济波动、利率变化等)引起的风险。在有效市场中,非系统性风险可以通过分散投资消除,因此贝塔系数更能反映资产组合真正需要补偿的风险,与资本资产定价模型(CAPM)等理论紧密结合,可直接用于计算资产组合的预期收益率,具有明确的经济意义。
②便于横向比较。贝塔系数以市场指数的贝塔系数(β m =1)为基准,不同资产组合的贝塔系数可以直接对比,清晰反映组合系统性风险相对于市场平均水平的高低。例如,β p >1表明组合系统性风险高于市场平均水平,β p <1则表明低于市场平均水平,使投资者能快速判断组合的风险等级。
③计算简便且稳定性较强。在已知组合中各证券贝塔系数和权重的情况下,只需通过简单的加权平均即可得到组合的贝塔系数,计算过程相对简单。同时,贝塔系数基于市场整体表现计算,受个别证券非系统性因素波动的影响较小,数值相对稳定,便于投资者长期跟踪和使用。
(3)收益方差度量法的优点主要有:
①全面反映总风险。收益方差衡量的是资产组合的总风险,既包括系统性风险,也包括非系统性风险。对于未充分分散的资产组合(如仅由两种证券构成的组合),非系统性风险仍占一定比例,总风险更能完整体现组合的实际波动情况,帮助投资者全面了解组合面临的所有风险因素。
②精准刻画组合内部关联性。收益方差的计算考虑了两种证券收益率之间的协方差(或相关系数),能反映出组合中证券之间的联动关系。当两种证券收益率相关性较低时,组合方差会显著下降,体现出分散投资降低风险的效果;而当相关性较高时,组合方差下降有限,这一特点使投资者能直观了解不同证券搭配对组合风险的具体影响。
③适用性广泛。收益方差不依赖于市场指数的选择,不受市场基准的限制,适用于各种市场环境和资产类型。无论是股票、债券还是其他金融资产构成的组合,都可以用收益方差来度量风险,且计算所需的数据(如证券收益率的历史数据)相对容易获取,实用性较强。
2 什么是信息不对称,简述信息不对称对金融市场的影响。 [西南财经大学2025年研]
答: (1)信息不对称的含义
信息不对称是指交易双方对交易相关信息的掌握程度不一致,导致一方处于信息优势地位而另一方处于劣势地位的经济现象。在金融市场中,这种不对称性表现为资金需求方比供给方更了解自身的信用状况、投资项目的真实风险与收益。典型例子包括借款人比银行更清楚自身还款能力、企业管理者比股东更掌握公司实际经营状况等。信息不对称会对金融市场运行产生深远影响,主要体现在交易前的逆向选择和交易后的道德风险两个阶段,这两种效应会显著降低市场资源配置效率,甚至导致市场失灵。
(2)信息不对称对金融市场的具体影响
①逆向选择效应会扭曲资金配置。由于高风险借款者往往更积极地寻求融资并通过包装隐藏风险,资金供给方因无法准确识别借款人质量,只能按照市场平均风险水平定价,这会导致优质借款人退出市场,形成“劣币驱逐良币”现象。阿克洛夫的“柠檬市场”理论证明,在极端情况下可能造成直接融资市场萎缩。
②道德风险会削弱合约执行力。资金使用者获得融资后可能改变资金用途或降低努力程度,例如股权融资中的管理层卸责、债务融资中的高风险投资等。委托代理问题表明,当信息监督成本过高时,外部投资者利益容易受到侵害。
③信息成本会推高交易门槛。为防范信息不对称风险,资金供给方不得不实施严格的尽职调查、抵押担保要求和高利率补偿,这些措施在控制风险的同时也提高了市场参与成本。
(3)信息不对称的缓解
信息不对称问题催生了金融中介机构存在的必要性。相较于直接融资,银行等金融中介通过专业化信息处理能够有效缓解信息不对称:①通过长期合作关系积累客户信息,建立信用评估体系;②利用规模经济降低单位信息处理成本;③通过贷款监督和合约设计约束借款人行为。这些机制使金融中介在解决逆向选择和道德风险方面具有显著优势,这解释了为何间接融资在金融体系中始终占据重要地位。现代金融体系中,征信系统、信息披露制度、第三方审计等安排都是为降低信息不对称而发展出来的制度创新。
3 请回答选择证券投资基金进行投资的好处和风险。 [东北财经大学2022年研]
答: (1)选择证券投资基金进行投资的好处
①专业管理:证券投资基金由专业的基金经理进行管理,他们拥有丰富的市场经验和专业知识,能够做出更合理的投资决策。
②分散风险:基金通过将资金投资于多种不同的证券,实现资产的分散化,从而降低单一投资的风险。
③流动性高:开放式基金允许投资者随时申购和赎回份额,资金进出方便,流动性较好。
④门槛低:相对于直接购买股票或债券,投资基金的门槛较低,适合小额投资者。
⑤透明度高:基金的运作情况、净值变化等信息定期公开,投资者可以随时了解基金的表现。
⑥多样化选择:市场上有多种类型的基金,如股票基金、债券基金、混合基金等,投资者可以根据自己的风险偏好和投资目标选择合适的基金。
(2)选择证券投资基金进行投资的风险
①市场风险:基金投资于证券市场,市场波动会导致基金净值的波动,投资者可能面临本金损失的风险。
②管理风险:基金经理的投资决策可能不准确,导致基金表现不佳。
③费用风险:基金运作涉及管理费、托管费等多种费用,这些费用会侵蚀投资收益。
④流动性风险:虽然开放式基金流动性较高,但在市场极端情况下,赎回可能受到影响。
⑤信用风险:基金投资的债券等固定收益产品可能存在信用风险,即发行方违约的风险。
⑥政策风险:政府政策的变化可能影响市场环境,进而影响基金的表现。
4 有效市场假说。 [西安交通大学2020年研]
答: 有效市场假说是由美国经济学家尤金·法玛提出的。按照有效市场假说,资本市场的有效性是指市场根据新信息迅速调整证券价格的能力。有效市场假说主要包括三种形态,即强式有效市场、半强式有效市场以及弱式有效市场。具体阐述如下:
(1)强式有效市场
强式有效市场是信息反映能力最强的证券市场。在这种证券市场上,证券价格总能及时充分地反映所有相关信息,包括所有公开的信息和内幕信息。任何人都不可能利用公开或内幕信息来获取超额收益。其结果是:在强式有效市场上,每一位投资者都掌握了有关证券产品的所有信息,而且每一位交易者所占有的信息都是一样的,每一位投资者对该证券产品的价值判断都是一致的,并且都能将自己的投资方案毫无阻碍地付诸实施。因此,对于强式有效证券市场来说,不存在因证券发行者和投资者的非理性所产生的供求失衡,也不存在因这种供求失衡而导致的证券产品价格波动,其证券的价格反映了所有信息。这是一种理想的经济状态,其市场非常完善,市场中证券价值和价格总是相等的,并随着新信息的出现而随机波动。
(2)半强式有效市场
在半强式有效市场上,信息公开的有效性遭到破坏,存在某种尚未公开的“内幕信息”。但是,所有投资者占有的公开信息是一样的,除了“内幕信息”以外,只要是被公开的信息,就可以被所有投资者获得。同时,所有投资者对公开信息会做出一致的、准确的判断,并通过投资行为引起市场价格的变化。其结果是,在半强式有效市场上存在着两类信息:公开信息和内幕信息。极少数人掌握着内幕信息,而大部分人只能获得公开信息。如果掌握内幕信息的人不能参加交易,那么所有参与交易的人都能通过公开信息进行投资,而证券的市场价格就反映了全部投资者对所有公开信息的理性价值判断。如果少数既掌握“内幕信息”又拥有公开信息的人也参与交易,那么掌握“内幕信息”的人就可以从中赚取超额收益。
(3)弱式有效市场
在弱式有效市场上,市场行为的历史资料已经充分发挥了作用,不能再继续影响证券市场的价格走势,即证券价格充分反映了历史上一系列交易价格和交易量中所隐含的信息,也即有关证券的历史交易信息已经被充分披露和完全使用,任何投资者都不可能通过分析这些历史交易信息来获取超额收益。在这种市场上,信息从产生到公开的效率受到损害(即存在“内幕信息”),而且投资者对信息进行价值判断的效率也受到损害,并不是每一位投资者对所披露的信息都能做出全面、正确、及时和理性的解读和判断。只有那些掌握了专门分析工具的专业人员才能对披露的信息做出全面、正确、及时和理性的解读和判断,并在此基础上做出有效的投资决策。一般的投资公众解读和判断信息价值的能力以及做出有效投资决策的可能性都不如专业投资者。但一般投资公众对于历史信息的分析和判断是完全准确的,因此弱式有效市场可以反映历史信息。
三种形态的有效市场之间的关系为:强式有效市场包含着半强式有效市场,即一个强式有效市场也是一个半强式有效市场;半强式有效市场包含着弱式有效市场,即一个半强式有效市场必定是一个弱式有效市场;反之,不成立。
5 按合约类型的标准分类,简述四种最基本的金融衍生工具种类要求。 [华中科技大学2017年研]
答: 金融衍生工具是指一类价值依赖于原生性金融工具的金融产品,在形式上均表现为一种合约,在合约上载明买卖双方同意的交易品种、价格、数量、交割时间及地点等。按合约类型的标准划分主要有远期、期货、期权和互换这四种类型。
(1)远期合约
远期合约是相对最简单的一种金融衍生工具。合约双方约定在未来某一日期按约定的价格买卖约定数量的相关资产。远期合约通常是在两个金融机构之间或金融机构与其客户之间签署的。远期合约的交易一般不在规范的交易所内进行。目前,远期合约主要有货币远期和利率远期两类。在远期合约的有效期以内,合约的价值随相关资产市场价格的波动而变化。若合约到期时以现金结清,当市场价格高于合约约定的执行价格时,应由卖方向买方支付价差金额;当市场价格低于执行价格时,则由买方向卖方支付价差金额。按照这样一种交易方式,远期合约的买卖双方可能形成的收益或损失都是无限大。
(2)期货合约
期货合约与远期合约十分相似,它是交易双方约定在未来某一时间按约定价格买卖一定标准数量的某种特定金融资产的合约。期货合约的收益曲线也与远期合约一致,即买卖双方可能形成的收益或损失都是无限大。无论是远期合约还是期货合约,都为交易人提供了一种避免因一段时期内价格波动带来风险的工具;同时,也为投机人利用价格波动取得投机收入提供了手段。两者的区别在于:远期合约交易一般规模较小,较为灵活,交易双方易于按各自的愿望对合约条件进行磋商。而期货合约的交易是在有组织的交易所内完成的,合约的内容(如相关资产的种类、数量、价格、交割时间、交割地点等)都有标准化的特点。比较起来,期货交易更为规范化,也更便于管理。
(3)期权合约
期权是一种选择权,期权合约是指期权的买方有权在约定的时间或约定的时期内,按照约定的价格买进或卖出一定数量的相关资产,也可以根据需要放弃行使这一权利。为了取得这样一种权利,期权合约的买方必须向卖方支付一定数额的费用,即期权费。按照相关资产的不同,金融期权有外汇期权、利率期权、股票期权、股指期权等。
期权还分看涨期权和看跌期权两个基本类型。看涨期权的买方有权在某一确定的时间以确定的价格购买相关资产;看跌期权的买方有权在某一确定的时间以确定的价格出售相关资产。对期权的买方来说,收益无限,损失有限,损失的仅限于期权费;对期权的卖方来说,收益有限,损失无限。在这种看似不对称的条件下,还会存在期权的卖方,是因为可能出现以下两种情况:一是买入看涨期权,价格不涨反跌,或者价格虽涨,但涨不到执行价格;买入看跌期权,价格虽跌,但跌不破执行价格。二是将卖出期权与买入现货资产结合起来,分散风险。
(4)互换合约
互换是指交易双方约定在合约有效期内,以事先确定的名义本金额为依据,按约定的支付率(利率、股票指数收益率等)相互交换支付的约定。交换的具体对象可以是不同种类的货币、债券,也可以是不同种类的利率、汇率、价格指数等。
互换合约实质上可以分解为一系列远期合约的组合。
6 简述套利定价理论。 [首都经济贸易大学2016年研]
答: (1)套利定价理论(APT)是史蒂芬·罗斯在1976年提出的,是资本资产定价模型的拓广,由套利定价理论给出的定价模型与资本资产定价模型一样,都是均衡状态下的模型,不同的是套利定价理论的基础是因素模型。
套利定价理论认为,套利行为是现代效率市场(即市场均衡价格)形成的一个决定因素。如果市场未达到均衡状态,市场上就会存在无风险套利机会。并且套利定价理论用多个因素来解释风险资产收益,并根据无套利原则,得到风险资产均衡收益与多个因素之间存在(近似的)线性关系。
(2)套利定价理论的三个基本假设
①因素模型能描述证券收益;②市场上有足够的证券来分散风险;③完善的证券市场不允许任何套利机会存在。
(3)套利定价理论的基本机制
在给定资产收益率计算公式的条件下,根据套利原理推导出资产的价格和均衡关系式。套利定价理论作为描述资本资产价格形成机制的一种新方法,其基础是价格规律:在均衡市场上,两种性质相同的商品不能以不同的价格出售。套利定价理论是一种均衡模型,用来研究证券价格是如何决定的。它假设证券的收益是由一系列产业方面和市场方面的因素确定的。当两种证券的收益受到某种或某些因素的影响时,两种证券收益之间就存在相关性。
(4)套利定价理论的意义
套利定价理论推导出了与资本资产定价模型相似的一种市场均衡关系。套利定价理论以收益率形成过程的多因子模型为基础,认为证券收益率与一组因子线性相关,这组因子代表证券收益率的一些基本因素。事实上,当收益率通过单一因子形成时(且该因子为市场因素),将会发现套利定价理论与资本资产定价模型相同。因此,套利定价理论可以被认为是一种广义的资本资产定价模型,为投资者提供了一种替代性的方法,来理解市场中的风险与收益率间的均衡关系。套利定价理论与现代资产组合理论、资本资产定价模型、期权定价模型等一起构成了现代金融学的理论基础。
7 简述证券市场线和资本市场线的区别。 [华中科技大学2016年研]
答: (1)证券市场线和资本市场线的含义
①证券市场线
资本资产定价模型(CAPM)的图示形式称为证券市场线(SML),它主要用来说明投资组合报酬率与系统风险程度β系数之间的关系。SML揭示了市场上所有风险性资产的均衡期望收益率与风险之间的关系。证券市场线公式为:R i =R f +β(R m -R f ),如下图所示。
②资本市场线
根据新资产组合的期望收益率和风险,可以在坐标图上画出一条向上倾斜的、与马科维茨资产组合曲线相切的直线。这条直线叫作资本市场线(CML),用来说明投资组合报酬率与总风险程度方差σ P 之间的关系。资本市场线如下图所示。
在上图中,CML线的斜率是( r m -r f )/σ m ;直线的截距是无风险利率,表示当资产组合中所有的资金投资于无风险资产时,即w f =100%、w m =0时,该资产组合所对应的风险与收益率。资本市场线上的M点同时位于马科维茨的有效边界之上,它表示当所有的资金全部投资于风险资产组合时,与资产组合的风险与收益相对应的点,此时,σ P =σ m 。在资本市场线上,所有的点均表示一种无风险资产F与市场组合M这两者的任意一种组合所对应的风险与收益。
(2)证券市场线与资本市场线的区别
①证券市场线的横轴是贝塔系数(只包括系统风险);资本市场线的横轴是标准差(既包括系统风险又包括非系统风险)。
②证券市场线揭示的是证券的本身的风险和报酬之间的对应关系;资本市场线揭示的是持有不同比例的无风险资产和市场组合情况下风险和报酬的权衡关系。
③资本市场线中的风险组合的期望报酬率与证券市场线中的平均股票的要求收益率含义不同;资本市场线中的“σ”不是证券市场线中的“贝塔系数”。
④证券市场线表示的是要求收益率,即投资前要求得到的最低收益率;而资本市场线表示的是期望报酬率,即投资后期望获得的报酬率。
⑤证券市场线的作用在于根据必要报酬率,利用股票估价模型,计算股票的内在价值;资本市场线的作用在于确定投资组合的比例。
8 简要描述投资组合理论。 [厦门大学2014年研]
答: 投资组合理论给出了确定最优投资组合的方法:投资者首先必须估计所有证券的预期收益率和方差、这些证券之间的协方差以及无风险利率水平;随后,找出切点处投资组合(最优风险组合),并由无风险利率与切点处投资组合共同决定一条直线,再根据无差异曲线与其的切点确定最优投资组合。故该理论包含两个重要内容:均值-方差分析方法和投资组合有效边界模型。
(1)均值-方差分析方法
人们进行投资,本质上是在不确定性的收益和风险中进行选择。投资组合理论用均值-方差来刻画这两个关键因素。所谓均值,是指投资组合的期望收益率,它是单只证券的期望收益率的加权平均,权重为相应的投资比例。而方差是指投资组合的收益率的方差,收益率的标准差称为波动率,它刻画了投资组合的风险。证券组合的风险不仅取决于单个证券的风险和投资比重,还取决于这些证券收益之间的协方差或相关系数,并且协方差或相关系数起着特别重要的作用。
(2)投资组合有效边界模型
投资组合理论研究的中心问题是人们在证券投资决策中应该怎样选择收益和风险的组合。投资组合理论研究“理性投资者”如何选择优化投资组合。把优化投资组合在以波动率为横坐标,收益率为纵坐标的二维平面中描绘出来,形成一条曲线。这条曲线上有一个点,其波动率最低,称之为最小方差点(MVP)。这条曲线在最小方差点以上的部分就是(马克威茨)投资组合有效边界,对应的投资组合称为有效投资组合。投资组合有效边界是一条单调递增的凹曲线。在波动率-收益率二维平面上,任意一个投资组合要么落在有效边界上,要么处于有效边界之下。因此,有效边界包含了全部(帕雷托)最优投资组合,理性投资者只需在有效边界上选择投资组合。在有效边界上,对任何给定标准差,有最高的预期收益率。
9 根据股票价格信息说明有效市场。 [中南财经政法大学2014年研]
答: 根据有效市场假说,有效市场是指市场价格能够反映完全的经济信息的市场,有效市场假说表明,如果市场价格充分反映了经济信息,投资者就不可能通过对未来价格的预测获得超额利润,赢得市场。
完全的经济信息只是一个笼统的说法,对完全信息的具体化进一步明确了有效市场的概念。根据对完全信息的定义不同,有效市场分为三种类型:
(1)弱有效市场:证券价格包含了全部能从市场交易数据中获得的信息,即意味着根据历史交易资料进行交易是无法获取经济利润的。这实际上等同于宣判技术分析无法击败市场。
(2)半强有效市场:证券价格不仅包含证券全部过去价格的信息,而且还包括所有公开信息。这表明,不仅过去的价格决定着价格,而且,过去发生的被公开的事件(如政府的政策等)也决定着价格。实际上意味着技术分析和基础分析都无法击败市场,即取得经济利润。
(3)强有效市场:证券价格包含了全部过去价格的信息,全部公开信息,以及全部内部消息。也就是说价格包含了过去所有事件的信息,这些信息包括公开的信息和私人信息(未公开的),意味着获得内幕消息也无法获利。
现实中的证券市场是属于何种类型需要对具体的市场进行分析。规范和发达的证券市场大多属于半强有效市场,在这种市场中,公开的信息能很快在证券价格上得到反映。因此在这种市场上只有更快地获得内部消息才有可能获得超额利润。但是,在规范的证券市场中利用内部消息获利是非法的。
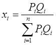
10 何谓市场投资组合? [中国海洋大学2012年研]
答: 市场投资组合是指由投资人或金融机构所持有的股票、债券、衍生金融产品等组成的集合。投资组合的目的在于分散风险。市场投资组合指由全部风险证券构成,并且其成员证券的投资比例与整个市场上风险证券的相对市值比例一致的证券组合。一般用M表示市场组合。根据定义,如果市场上有n个风险证券正在流通,分别记为证券1、证券2…证券n,那么市场组合M中包含了这n种风险证券,则风险证券i在市场组合M中的投资比例为:
式中: P i 表示证券i的市场价格;Q i 表示证券i的流通股数。均衡状态下,最优风险组合之所以等于市场组合M是基于以下事实:一方面,每个投资者手中持有的风险证券均以最优证券组合的形式存在,所不同的是各自在组合上投资的资金不同;另一方面,在均衡状态下,投资者手中持有的风险证券必然是市场上正在流通的风险证券。
11 简述远期合约的缺陷及期货市场成功的原因。 [南开大学2011年研]
答: (1)远期合约的缺陷
远期交易是指买卖双方签订远期合同,规定在未来某一时间进行实物商品交收的一种交易方式。
远期交易方式在交易过程中会有一系列困难,如商品品质、等级、价格、交货时间、交货地点等都是根据双方的具体情况一对一达成的,当双方情况或市场价格发生变化,需要转让已签订的合同,则非常困难。另外,远期交易最终能否履约主要依赖对方的信誉,而对对方信誉状况做全面细致的调查,费时费力,且成本较高,难以进行,使交易中的风险增大。
(2)期货市场成功的原因
期货市场是进行期货交易的场所,它由远期现货市场发展而来,是与现货市场相对应的组织化和规范化程度更高的市场形态。期货市场成功的原因主要有以下几个方面:
①期货合约是由交易所统一制定的标准化远期合约。在合约中,标的物的数量、规格、交割时间和地点等都是既定的。这种标准化合约给期货交易带来极大的便利,交易双方不需要事先对交易的具体条款进行协商,从而节约了交易成本、提高了交易效率和市场流动性。
②期货交易实行场内交易,所有买卖指令必须在交易所内进行集中竞价成交。只有交易所的会员方能进场交易,其他交易者只能委托交易所会员,由其代理进行期货交易。
③期货交易实行保证金制度。交易者在买卖期货合约时按合约价值的一定比率缴纳保证金(一般为5%~15%)作为履约保证,即可进行数倍于保证金的交易。这种以小博大的保证金交易,也被称为“杠杆交易”。期货交易的这一特征使期货交易具有高收益和高风险的特点。保证金比率越低,杠杆效应就越大,高收益和高风险的特点就越明显。
④期货交易采用双向交易方式。交易者既可以买入建仓(或称开仓),即通过买入期货合约开始交易,也可以卖出建仓,即通过卖出期货合约开始交易。前者也称为“买空”,后者也称为“卖空”。双向交易给予投资者双向的投资机会,也就是在期货价格上升时,可通过低买高卖来获利;在期货价格下降时,可通过高卖低买来获利。
⑤交易者在期货市场建仓后,大多并不是通过交割(即交收现货)来结束交易,而是通过对冲了结。买入建仓后,可以通过卖出同一期货合约来解除履约责任;卖出建仓后,可以通过买入同一期货合约来解除履约责任。对冲了结使投资者不必通过交割来结束期货交易,从而提高了期货市场的流动性。
⑥期货交易实行当日无负债结算,也称为逐日盯市。结算部门在每日交易结束后,按当日结算价对交易者结算所有合约的盈亏、交易保证金及手续费、税金等费用,对应收应付的款项实行净额一次划转,并相应增加或减少保证金。如果交易者的保证金余额低于规定的标准,则须追加保证金,从而做到“当日无负债”。当日无负债可以有效防范风险,保障期货市场的正常运转。
⑦期货市场具有风险规避、价格发现和资产配置的功能。期货交易是众多的买主和卖主根据期货市场的规则,通过公开、公平、公正、集中竞价的方式进行的期货合约的买卖,易于形成一种真实而权威的期货价格,指导企业的生产经营活动,同时又为套期保值者提供了回避、转移价格波动风险的机会。由于期货可以与其他资产对冲以及期货市场的杠杆机制、保证金制度使得投资期货更加便捷和灵活,期货市场具有资产配置的功能。
⑧期货市场在宏观经济中的作用包括:a.提供分散、转移价格风险的工具,有助于稳定国民经济;b.为政府制定宏观经济政策提供参考依据;c.促进本国经济的国际化;d.有助于市场经济体系的建立与完善。
⑨期货市场在微观经济中的作用包括:a.锁定生产成本,实现预期利润;b.利用期货价格信号,组织安排现货生产;c.期货市场拓展现货销售和采购渠道;d.期货市场促使企业关注产品质量问题。
由于上述期货交易的特点、期货市场的功能及作用,使得期货市场获得成功。
12 试述完善资本市场和效率资本市场的区别与联系。 [北航2004年研]
答: 完善资本市场和效率资本市场具有密切的关系。完善资本市场是指满足以下条件的资本市场:首先,市场无阻力,即不存在交易成本和政府税收,所有资产都可进入市场交易,且交易量可以是资产数额的任意比例;其次,产品市场和证券市场都是完全竞争市场;再次,市场信息的交流是高效率的,即所有信息均可不需任何成本而同时为所有人获知;最后,参加市场交易的个人都是理性的,都追求个人效用的最大化。
而效率资本市场的要求比完善资本市场宽松得多,只要求价格能够完全且瞬时反映所有可获得的有关信息。
两者的联系是:完善资本市场一定是效率资本市场,两者都意味着资源配置的有效率和市场运作的有效率。
两者的区别体现在以下几个方面:
(1)与完善资本市场相比,效率资本市场可以存在一些阻力,即交易成本,如证券交易中所支付的经纪人费用,人力资本的不可分性等。
(2)效率市场允许产品市场上存在不完全竞争。比如,若某企业因在产品市场上的垄断地位而获得垄断利润,则有效率的资本市场将依照预期的垄断利润的现值确定该公司的股票价格。这样,尽管在产品市场上资源配置是无效率的,但证券市场仍然是有效率的。
(3)效率资本市场只要求信息能够全面迅速地在证券价格上表现出来,并不要求获得信息的成本为零。
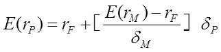
13 解释资本市场线的意义。 [武汉理工大学2004年研]
答: (1)资本市场线是指投资者可以从资本市场上所获得的所有有效证券组合的点集合。其方程为:
其中,E(r P )和δ P 分别表示有效组合P的期望收益率和标准差;E(r M )和δ M 分别表示市场组合M的期望收益率和标准差;r F 表示无风险证券收益率。
投资者将在由无风险资产与风险资产共同构成的有效边界上选择符合自身风险偏好的资产组合。由于这一有效边界是一条直线,故所有投资者将选择同样的风险与收益替代关系。
(2)资本市场线的意义在于它说明了投资者对风险资产组合构成的投资选择与其风险偏好是不相关的。投资者的投资选择分为两步:①选择市场组合,这时不考虑自身的风险偏好。②据自身的风险偏好在自己的投资组合中选择市场资产组合与无风险资产的比例。投资者个人对风险的态度仅仅影响借入或贷出的资金量,而不影响最佳风险资产组合。其原因是当存在无风险资产并可按无风险利率自由借贷时,市场组合优于所有其他组合。对于不同风险偏好的投资者来说,只要能以无风险利率自由借贷,他们都会选择市场组合。这就是所谓的分离定理。分离定理在理财方面非常重要,它表明企业管理层在决策时不必考虑每位股东对风险的态度。证券的价格信息完全可用于确定投资者所要求的报酬率,该报酬率可指导管理层进行有关决策。