购买
下载掌阅APP,畅读海量书库
立即打开
畅读海量书库
扫码下载掌阅APP

一、概念题

1 内部收益率 [上海外国语大学2025年研;首都经济贸易大学2012年研]

答: 内部收益率(IRR),是资金流入现值总额与资金流出现值总额相等、净现值等于零时的折现率。

内部收益率(IRR)的基本原理是找出一个能体现项目内在价值的数据,其本身不受资本市场利息率的影响,而是取决于项目的现金流量,是每个项目的内生变量。内部收益率就是令项目净现值为零的贴现率,因此具有净现值的部分特征。若内部收益率大于资本成本或基准贴现率,项目可以接受;若内部收益率小于资本成本或基准贴现率,项目不能接受。

2 夏普比率 [中南大学2025年研]

答: 夏普比率是由威廉·夏普提出的、广泛用于衡量基金等投资组合绩效表现的标准化指标,其计算公式为超额收益除以超额收益的标准差。作为衡量经风险调整后收益的指标,它反映了投资者承担每单位总风险所获得的超额收益,这里的总风险包含了基准组合的风险等在内。尽管它是投资学早期的产物,且在量化投资中其重要性相对信息比率有所不及,但由于形式简洁、计算方便,在评价投资者绩效时仍被广泛应用。

3 互换 [华中科技大学2025年研]

答: 互换是指两个或两个以上的当事人按共同商定的条件,在约定的时间内,交换一定支付款项的金融交易,主要有货币互换和利率互换两类。更为准确地说,互换是当事人之间约定在未来某一期间内相互交换他们认为具有相等经济价值的现金流的交易。互换是一种灵活有效的避险和资产负债综合管理的衍生工具。

4 货币的时间价值 [中央财经大学2024年研;广东财经大学2013年研]

答: 货币的时间价值是指货币经历一定时间的投资和再投资所增加的价值,也称资金的时间价值。它是非常有用的一个经济概念,特别是在衡量投资时,货币的时间价值,成为一个最基本的评价标准。货币时间价值的形式有:

①货币时间价值额。以绝对数表现的货币时间价值,是货币在生产经营中带来的真实增值额。

②货币时间价值率。以相对数表现的货币时间价值,是扣除风险报酬和通货膨胀后的社会平均资金利润率。

货币时间价值的意义有:

①促使公司加速资金周转,提高资金的利用率;

②作为评价投资方案是否可行的基本标准;

③作为评价公司收益的尺度。

随着时间的延续,货币总量在循环和周转中按几何级数增长,使得货币具有时间价值。货币时间价值可以通过单利、复利和年金的计算来衡量。

5 有效集 [对外经济贸易大学2024年研]

答: 有效集是指可行集中那些如果投资者不额外增加风险就无法再提升其预期收益率的所有投资组合组成的集合。有效集中的元素或组合都称为有效组合,有效集显然是可行集中的一个子集。另外,它有如下性质:①对每一风险水平,有效组合给投资者提供最大预期回报率;②对每一预期回报率水平,有效组合给投资者提供最小的风险;③它与投资者的风险偏好无关。有效边界是有效集在风险与预期收益坐标图上的几何表述。

6 在险价值(value-at-risk,VaR) [厦门大学2024年研]

答: 在险价值是指在既定的概率水平下,某一交易组合在未来特定时期内的最大的损失规模。金融机构利用在险价值(VaR)可以评估其风险敞口,并采取可行方法来降低风险。在正常的市场情况下,在险价值(VaR)是非常有用的风险衡量工具。

7 APT理论 [东北财经大学2022年研]

答: 套利定价理论(APT)是指从要素模型推导出的资产定价理论,运用了多样化和套利的概念,根据资产的几个风险因素的系统关系计算出风险资本预期(必要)收益率,该理论描述了在假定无风险套利利润的机会下各种证券预期收益间的关系。

8 风险溢价 [厦门大学2025年研;广东外语外贸大学2024年研;南开大学2023年研;中南财经政法大学2020年研]

答: 风险溢价是指有违约风险债券与无违约风险债券之间的利差,是人们因为持有某种风险债券必须获得的额外利息。具有违约风险的债券的风险溢价总为正,且风险溢价随着违约风险的上升而增加。在有效市场假设下,投资者要求的收益率与其所承担的风险是正相关的。由于承担了比较高的风险,市场必然给予较高的回报。无风险的资产存在一个基准收益率,市场接受的收益率高于无风险收益率的差就是市场要求相应风险水平所应有的风险溢价。

9 市盈率 [首都经济贸易大学2019年研]

答: 市盈率又称市价与每股盈余比率,指普通股的市场价格与每股收益的比率。其中,每股收益=(净利润-优先股股利)/发行在外的普通股股数。以P表示普通股的市价,E表示每股收益,则市盈率=P/E。

市盈率是衡量公司普通股市价高低的重要指标,也是投资者进行投资决策、发行人确定发行价格的重要参照指标,同时该指标衡量了股份制企业的盈利能力。股价与每股收益进行比较反映投资者对每1元净利润所愿支付的价格。这一比率越高,意味着公司未来成长的潜力越大。一般说来,市盈率越高,表明市场对公司的未来越看好。在市价确定的情况下,每股收益越高,市盈率越低,投资风险越小;反之,每股收益越低,市盈率越高,投资风险也就越大。在每股收益确定的情况下,市价越高,市盈率越高,风险越大;反之,市价越低,市盈率越低,风险也就越小。

10 看涨期权 [首都经济贸易大学2019年研]

答: 看涨期权是指赋予购买者在约定的时间或约定期限内按双方约定的价格购买一定数量相关金融资产的权利的合约。为了取得这样一种权利,期权合约的买方必须向卖方支付一定数额的费用,即期权费。

对于看涨期权的买方来说,当市场价格高于执行价格,他会行使买的权利,取得收益;当市场价格低于执行价格,他会放弃行使权利,所亏损的是期权费。

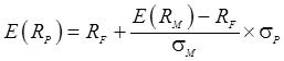
11 资本市场线 [中南大学2025年研;中山大学2022年研;天津大学2019年研;中山大学2015年研]

答: 资本市场线是指在以预期收益和标准差为坐标轴的图上,表示风险资产的有效组合与一种无风险资产再组合的有效集的连线。如果用E和σ分别表示证券或组合的期望收益率和方差,F、M和P分别表示无风险证券、市场组合和任意有效组合,资本市场线所代表的方程是:

资本市场线反映有效组合的期望收益率和标准差之间的一种简单的线性关系。

12 CAPM模型 [首都经济贸易大学2017年研]

答: 资本资产定价模型(CAPM)给出了确定资产风险及其期望收益率之间关系的精确预测方法。该模型的基本假定有:

①投资者是价格的接受者,单个投资者的交易行为不影响证券交易价格;

②存在无风险资产,并且投资者能够以无风险利率不受金额限制地借入或者贷出款项;

③投资者都是理性的,是风险厌恶者;

④资本市场是无摩擦的,而且无信息成本,所有投资者均可同时获得信息。

资本资产定价模型认为,当市场处于均衡状态时,某种资产(或资产组合)的期望收益率是其贝塔值(β值)的线性函数,即: R _ =R F +β( R _ M -R F ),式中, R _ 表示当市场处于均衡状态时,某资产(或资产组合)的期望收益率;R F 表示市场无风险利率; R _ M 表示当市场处于均衡状态时,市场证券组合的期望收益率,一般可以以某种市场指数(如标准普尔500指数等)的收益率来表示;β表示某种资产(或资产组合)的贝塔系数,它反映了资产(或资产组合)系统风险的大小。

13 久期 [首都经济贸易大学2016年研]

答: 久期(也称持续期、麦考利久期)用于对固定收益产品的利率敏感程度或利率弹性的衡量。它是以未来时间发生的现金流,按照目前的收益率折成现值,再用每笔现金流乘以现在距离该笔现金流发生时间点的时间年限,然后再进行求和,以这个总和除以债券各期现金流折现之和得到的数值就是久期。久期的公式为:

其中,D为久期;P为债券当前的市场价格;PV(c t )为债券各期现金流的现值。

当市场利率发生变化时,债券的价格将发生反比例的变动,其变动程度取决于久期的长短,久期越长,其变动幅度也就越大。

14 股票指数期货 [首都经济贸易大学2013年研]

答: 股票指数期货亦称股价指数期货、股票指数期货合约,它是一种金融期货合约,以股票市场价格指数为交易标的物,具体操作是买卖双方即期签订合同,规定买卖股票指数的日期、价格和数量等,并在未来到期日时完成交割。

与普通金融期货相比,股票指数期货还具有一些特点:①交易对象是股票指数,与具体商品和金融产品不同,是衡量各种股票平均价格变动水平的无形的综合指数;②价格是以股票指数点数乘以人为规定的每点价格形成的;③合约到期后,不可能进行实物交割,只需支付或收取到期日股票指数与合约成交指数差额所对应的现金,进行对冲。

股票指数期货交易为投资者提供了一个能够规避市场系统风险的机制,其原理是根据股价指数和股票价格变动的同方向趋势,在股票的现货市场和股价指数的期货市场上做相反的操作来抵消股价变动的风险。这样,在市场可能出现波动的时候,投资者可以在不卖出股票本身的情况下对其投资进行保值,从而起到稳定市场、保护投资者的利益、维护证券市场健康发展的作用。

15 到期收益率 [青岛大学2013年研]

答: 到期收益率是指使债券的价格等于本金与利息现值之和的贴现率。对于息票债券来说,到期收益率是使未来各年息票利息支付额的现值与最后偿还的债券面值的现值之和,等于债券当前价值(即债券价格)的利率。到期收益率是事前评价债券收益的重要指标。

16 利率期限结构 [中国科学技术大学2013年研]

答: 利率期限结构是指在某一时点上,影响利率的其他因素相同时,不同期限资金的收益率与到期期限之间的关系。通常用收益率曲线(又称“回报率曲线”)作为描述债券利率期限结构的工具。利率的期限结构反映了不同期限的资金供求关系,揭示了市场利率的总体水平和变化方向,为投资者从事债券投资和政府有关部门加强债券管理提供可参考的依据。一般来说,收益率曲线有四种基本的形态:水平状,向上倾斜状,向下倾斜状,驼峰状。最常见的是向上倾斜的收益率曲线,因为一般情况下,长期债券的利率高于短期债券的利率。

利率期限结构理论主要有预期理论、流动性偏好理论、市场分割理论。

①预期理论是指投资者的预期决定未来利率走向的一种理论,该理论认为,远期利率等于市场整体对未来短期利率的预期。换句话说,流动性溢价为零。当预期利率上升时,会有上升的收益率曲线,反之,收益率曲线下降。

②流动性偏好假说认为,相对长期债券而言,投资者通常更偏好短期债券。因为长期债券的流动性比短期债券要差,持有长期债券的投资者担负着更大的市场风险——价格波动和难以变现的风险,因此这类债券持有者必须要求相应的更高的收益补偿。这种由于增加市场风险而产生的对长期债券收益的报酬称为流动性贴水。

③市场分割理论认为资金在不同期限市场之间基本上是不流动的,就决定了收益率曲线有不同的形态,如当长期市场上资金供过于求,导致利率下降的同时,短期市场资金供不应求,导致利率上升,就会形成向下倾斜的收益率曲线。

17 有效组合 [中央财大2012年研;上海财大2000年研]

答: 有效组合指在期望收益率一定时其风险(即标准差)最低的证券组合,或者指在风险一定时其期望收益率最高的证券组合。有效边界上的点对应的证券组合也称为有效组合。

有效边界

具体来讲,在所有可行的投资组合中,如果证券组合的特征由期望收益率和收益率方差来表示,则投资者需要在E-δ坐标系中的可行域中寻找最好的点,但不可能在可行域中找到一点被所有投资者都认为是最好的。按照投资者的共同偏好规则,可以排除那些被所有投资者都认为差的组合,排除后余下的这些组合就是有效证券组合。根据有效组合的定义,有效组合不止一个,描绘在可行域的图形中,如图粗实线部分它是可行域的上边界部分,也即有效边界ABC曲线段(如上图所示)。对于可行域内部及下边界上的任意可行组合,均可以在有效边界上找到一个有效组合比它好。但有效边界上的不同组合,比如B和C,按共同偏好规则不能区分好差。因而有效组合相当于有可能被某位投资者选作最佳组合的候选组合,不同投资者可以在有效边界上获得任一位置。作为一个理性投资者,且厌恶风险,则他不会选择有效边界以外的点。此外,A点是一个特殊的位置,它是上边界和下边界的交汇点,这一点所代表的组合在所有可行组合中方差最小,因而被称作最小方差组合。

18 有效市场假定 [南开大学2011年研]

答: 有效市场假定由美国芝加哥大学财务教授尤金·法玛在20世纪60年代提出。该假定认为,在一个有效的资本市场中,证券的价格应该立即对相关信息做出反映,即有利的信息会立即导致证券价格上升,而不利的信息则会使其价格立即下降。因此,任何时刻的证券价格都已经充分地反映了当时所能得到的一切相关信息。在有效市场上,证券价格在任何时候都是证券内在价值的最佳评估。根据可获得的有关信息的分类不同,可将市场效率划分为弱式有效、半强式有效和强式有效三种类型:

①弱式有效市场,指证券价格被假设完全反映包括它本身在内的过去历史的证券价格资料。其主要特点在于证券的现行价格充分反映了历史上一系列交易价格和交易量中所隐含的信息,证券价格的变动表现为随机游走过程。

②半强式有效市场,指有公开的可用信息假定都被反映在证券价格中,不仅包括证券价格序列信息,还包括公司财务报告信息、经济状况的通告资料和其他公开可用的有关公司价值的信息,公布的宏观经济形势和政策方面的信息。半强式有效的市场并不意味着所有的市场参与者都能马上接受并且理解所有公开有用的信息,事实上只有机构投资者和职业分析家才可能对新的信息做出迅速的反映。

③强式有效市场,指所有相关信息(包括内部信息和公开信息)都在证券价格中反映出来,即证券价格除了包含历史价格信息和所有公开信息外,还包含了所谓的内幕信息。

19 半强有效市场 [中央财经大学2011年研]

答: 半强有效市场是指所有公开的可用信息假定都被反映在证券价格中,不仅包括证券价格序列信息,还包括公司财务报告信息、经济状况的通告资料和其他公开可用的有关公司价值的信息,公布的宏观经济形势和政策方面的信息。半强式有效的市场并不意味着所有的市场参与者都能马上接受并且理解所有公开有用的信息,事实上只有机构投资者和职业分析家才可能对新的信息做出迅速的反应。

20 市场证券组合 [上海财大2002年研]

答: 市场证券组合指个人或机构投资者所持有的各种与整个资本市场的构成完全相同的有价证券组合的总称,通常包括各种类型的债券、股票及存款单等。证券组合的分类通常以组合的投资目标为标准。证券组合按不同标准可以分为避税型、收入型、增长型、收入和增长混合型、货币市场型、国际型及指数化型等。投资者构建证券组合的原因主要有:①降低风险。资产组合理论证明,证券组合的风险随着组合所包含证券数量的增加而降低,资产间关联性极低的多元化证券组合可以有效地降低非系统风险。②实现收益最大化。理性投资者的基本行为特征是厌恶风险和追求收益最大化。投资者力求在这风险和收益中达到可能的最佳平衡。如果投资者仅投资于单个资产,他只有有限的选择。当投资者将各种资产按不同比例进行组合时,其选择就会有无限多种。这为投资者在给定风险水平下获取更高收益提供了机会。当投资者构造证券组合来平衡风险和收益时,他能够得到比投资单个资产更为满意的收益与风险的平衡。具体来说,市场证券组合具有如下特点:①市场证券组合包含了资本市场上全部种类的上市证券;②每一种证券在市场证券组合中所占的比重,与该种证券的总市值占整个资本市场总市值的比重相等。

21 证券市场线 [人大1999年研]

答: 证券市场线指在均衡状态下,某种特定证券的期望收益率E(r i )与该种证券的市场相关系数δ im 之间是一种线性关系,表达这种线性关系的直线即为证券市场线。具体来说,证券市场线的数学表达式为:

式中E(r i ),表达第i种特定证券在均衡状态下的期望收益率;r f 表示市场无风险利率;E(r m )表示市场证券组合的期望收益率; 表示市场证券组合的方差;δ im 表示第i种特定证券与市场证券组合之间的协方差, 就是证券i的β系数。证券市场线实际上就是资本资产定价模型的标准形式。若以E(r p )和β p 分别表示证券或证券组合的期望收益率和β系数,F、M和P分别表示无风险证券、市场组合和任意证券或证券组合。则它的方程可简化为:E(r P )=r F +[E(r M )-r F P ,证券市场线表明任意证券或证券组合的期望收益与由β系数测定的风险之间存在着线性的均衡关系。任一证券或证券组合的期望收益由两部分组成:一部分是无风险利率r F ,它是由时间创造的,是对放弃即期消费的补偿;另一部分[E(r M )-r F P ,则是对承担市场风险β P 的补偿,通常称为风险溢价,它与承担的风险β P 的大小成正比,其中的E(r M )-r F 代表了对单位风险的补偿,通常称之为风险价格。 wzzTEr52vCSWAWIDMR1KY8ubL5XPbv/tB4uhPtlOHZVv0EyhowrUTOyMGAmoMt8E

点击中间区域
呼出菜单
上一章
目录
下一章
×