购买
下载掌阅APP,畅读海量书库
立即打开
畅读海量书库
扫码下载掌阅APP

四、计算题

1 无风险利率为0.04,市场组合的夏普比率为2.5,股票A收益率与市场组合收益率的相关系数为0.4,股票A收益率的方差为0.04,计算股票A的预期收益率。 [中南财经政法大学2024年研]

解: 夏普比率=(R m -R f )/σ m =2.5,β=σ p ·ρ/σ m =0.2×0.4/σ m =0.08/σ m ,股票A的预期收益率=R f +β×(R m -R f )=0.04+0.08/σ m ×(R m -R f )=0.04+0.08×(R m -R f )/σ m =0.04+0.08×2.5=0.24。

2 (1)某公司预期未来3年股利收益分别是5元/股,7元/股,6元/股,当前资本成本率5%,股价20元/股,问股价被高估还是低估?

(2)当前股价40元/股,3个月远期期货43元/股,无股利,年利率5%,问如何套利? [天津大学2019金融硕士]

解: (1)股价=未来所有股利的贴现值,有公式:

P=D 1 /(1+R)+D 2 /(1+R) 2 +D 3 /(1+R) 3

其中,P代表股价;D代表各期股利;R代表资本成本率;代入数值则有:

P=5/(1+5%)+7/(1+5%) 2 +6/(1+5%) 3 =16.29(元)

由于16.29元<20元,所以股价被高估了。

(2)假定该股票的即期价格为S 0 ,T是远期合约到期的时间,r是以连续复利计算的无风险年利率,F 0 是远期合约的即期价格,如果F O >S 0 ×e rT ,套利者可以买入股票同时卖空股票的远期期货合约;如果F O <S 0 ×e rT ,套利者可以卖空股票同时买入股票的远期期货合约;

此时,由于S 0 ×e rT =40×e 0.05 × 3/12 =40.5元<43元;

所以,投资者可以买入股票,同时卖空远期期货合约来套利,合约到期,即三个月后,投资者可获利:43-40.5=2.5元。

3 去年支付的股利为2美元,预计未来股利以10%的固定比率增长,股东要求的回报率为20%。求股票今天的价格。 [西南财经大学2017年研]

解: 根据股利增长模型(DDM),股票当前的价格P 0 =D 1 /(R-g),其中D 1 为股票1期后的预期股利,R为股东要求的回报率,g为股利增长率。

在本题中,R=20%,g=10%,D 1 =2×(1+10%)=2.2(美元)。

因此,股票今天的价格=2.2/(20%-10%)=22(美元)。

4 某投资者想购买越G公司的股票,该股票从今年起按3美元每股支付股利,预计该股利在可以预计的将来以每年10%的比例增长,投资者基于其对该公司风险所做的评估,认为应得的必要回报率为15%,那么该公司股票的价格是多少? [南京航空航天大学2016年研]

解: 根据固定股利增长模型,可知该公司股票的价格为:P=D 0 (1+g)/(R-g)=3×(1+10%)/(15%-10%)=66(美元)。

5 如果投资者看涨甲公司的股票,市场上该公司股票的现价为每股20元,投资者有20000元的自有资金可用于投资,投资者从券商处以年利率7%借得20000元贷款,将这40000元用来买股票,股票买入和卖出的综合成本分别为0.5%。如果四个月后甲公司股价上涨10%投资者的回报率是多少?(忽略可能的红利) [南京航空航天大学2016年研]

解: 期初投资者拥有40000元,可以购买股票数N=40000×(1-0.5%)/20=1990(股)

期末时,投资者需要还本付息总额为Y=20000×(1+7%/3)≈20466.67(元)

四个月后股票变为P=20×(1+10%)=22(元)

卖出股票获取收益为L=22×1990×(1-0.5%)=43561.1(元)

投资者的回报率为r=(43561.1-20466.67-20000)/20000≈15.47%

6 某企业投资15500元购入一台设备,该设备预计残值为500元,可使用3年,折旧按直线法计算。相对于目前而言,设备投产后每年销售收入增加额分别为:10000元、20000元、15000元,除折旧以外的费用增加额分别为:4000元、12000元、5000元。企业使用的所得税率为40%,要求的最低投资报酬率为10%,目前年税后利润为20000元。已知:(P/F,10%,1)=0.91,(P/F,10%,2)=0.83,(P/F,10%,3)=0.75,试求:

(1)假设企业经营无其他变化,预测未来3年企业每年的税后利润。

(2)该投资方案的净现值。 [北京航空航天大学2014年研]

解: (1)每年的折旧费为:(15500-500)÷3=5000(元);

第一年年末的税后利润F 1 =20000+(10000-4000-5000)×(1-40%)=20600(元);

第二年年末的税后利润F 2 =20000+(20000-12000-5000)×(1-40%)=21800(元);

第三年年末的税后利润F 3 =20000+(15000-5000-5000)×(1-40%)=23000(元)。

(2)该投资方案的净现值NPV=F 1 ×(P/F,10%,1)+F 2 ×(P/F,10%,2)+(F 3 +500)×(P/F,10%,3)-15500=20600×0.91+21800×0.83+(23000+500)×0.75-15500=38965(元)。

7 ABC银行的ROA长期预期值1.2%,总资产为1000亿元,总负债为900亿元,假定该银行将总负债增加20亿元,其他因素不变,该银行的长期预期ROE将发生何种变化? [南京大学2015年研]

解: 净资产=1000-900=100(亿元)

ROE=(1000×1.2%)/100=12%

增加总负债20亿元,则总资产变为1020亿元,则:

ROE=(1020×1.2%)/100=12.24%

故ROE增加了0.24%。

8 H公司普通股目前的价格为28元/股,投资者李四以50元/份的价格买入2份H公司普通股的看涨(买入)期权,以30元/份的价格买入1份H公司普通股的看跌(卖出)期权。看涨期权的执行价格为30元/股,看跌期权的执行价格为25元/股,看涨和看跌期权具有相同的到期日,每份期权赋予投资者买卖股票的数额为100股。如果期权到期日H公司普通股的价格为33元/股,不考虑其他交易费用,请计算李四这次投资的净收益(损失)。 [中国科学技术大学2013年研]

解: 根据题意,股票的市场价格高于期权的执行价格,应该执行看涨期权。

则投资的净收益为:(33-30)×2×100-50×2-30=470(元)。

9 甲企业计划利用一笔长期资金投资购买股票。现有M公司股票和N公司股票可供选择,甲企业准备投资于其中一家。已知M公司股票现行市价为每股9元,上年每股股利为0.15元,预计以后每年将以6%的增长率增长。N公司股票现行市价为每股7元,上年每股股利为0.6元,股利分配政策将一贯坚持固定股利政策。另:甲企业要求的投资必要报酬率为8%。

要求:

(1)利用股票估值模型,分别计算M、N公司股票价值。

(2)甲企业的股票投资决策应该是什么? [北京航空航天大学2012年研]

解: (1)M公司股票股利为稳定增长型,N公司股票股利为零增长型。

由股利稳定增长型模型可知:

M公司股票价值=D 1 /(k-g)=(0.15×1.06)/(8%-6%)=7.95(元);

由股利零增长型模型可知:

N公司股票价值=D/k=0.6/8%=7.5(元)。

(2)由(1)可知,N公司股票现行市价低于N公司的股票价值,M公司的股票市价高于其股票的价值,即N公司的股票被低估,M公司的股票被高估,这意味着如果市场有效的话,N公司的股票价格会上涨,M公司的股票价格会下降,因此,甲企业应该投资N公司股票。

10 一价定律(或无套利均衡分析方法)是现代金融学重要的理论之一,被广泛地运用于金融产品及其衍生品的定价。市场现有如下几种金融产品,相关信息分别如下:

纯贴现国债:到期期限2年、面值¥1000,当前价格为¥907.03;

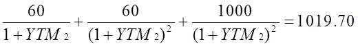
附息国债:票面利率6%(每年付息)、到期期限2年、面值¥1000,当前价格¥1019.70;

股票:当前股价¥100/股,1年后股价有¥120/股或¥80/股两种可能;

看涨期权:以上述股票为标的资产、1年后到期、执行价格¥110/股的欧式期权。

(1)根据以上信息,分别计算纯贴现国债和附息国债的到期收益率(Yield To Maturity,YTM),并创设一种“到期期限1年、面值¥1000”的纯贴现国债,以及确定其价格和到期收益率。

(2)在(1)的基础上,利用二项式(或二叉树)期权定价方法,确定看涨期权的价格。

(3)如果1年后的股价有¥120/股或¥60/股两种可能,重新确定看涨期权价格,并将之与(2)的结果进行对比分析。 [电子科技大学2016年研]

解: (1)①假定纯贴现债券的到期收益率为YTM 1 ,债券价格为P 1 ,面值为C,则:C/(1+YTM 1 2 =P 1 ,将数据代入公式:1000/(1+YTM 1 2 =907.03。

解得: YTM 1 ≈5%。

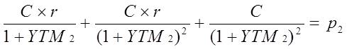
②假定附息国债的到期收益率为YTM 2 ,债券价格为P 2 ,面值为C,票面利率为r,则:

将数据代入公式:

解得: YTM 2 ≈4.94%。

③由题知,设新创设债券的价格为P 3 ,债券的现金流如下表所示:

通过N 1 份1年期贴现债券与N 2 份2年期贴现债券构造出1份两年期附息债券,也就是现金流进行匹配。

N 1 ×1000+N2×0=60,N 1 ×0+N 2 ×1000=1060。

得N 1 =60/1000,N 2 =1060/1000。

由60/1000份1年期贴现债券与1060/1000份2年期贴现债券组成的复制债券与1份附息债券在第1年和第2年的现金流完全相同,根据无套利均衡分析,两只债券的当前价格必然相等,因此有:(-P 3 )×(60/100)+(-P 1 )×(1060/1000)=-P 2 ,1000/(1+YTM 3 )=P 3

将P 1 =907.03,P 2 =1019.70代入上式,解得P 3 =970.80(元),YTM 3 =3.01%,即“到期期限1年、面值¥1000”的纯贴现债券的当前价格为¥970.80,到期收益率为3.01%。

(2)由题意可知,股票现价S 0 =100,在到期日股票价格以概率p上升到S u =120,以概率1-p下降为S d =80,期权执行价格X=110,股价上升比例u=1.2,股价下降比例d=0.8,股价上升情况下期权价值C u =10,股价下降情况下期权价值C d =0,无风险利率r=3.01%。因此有:p=(e rT -d)/(u-d)=(e 3.01% -0.8)/(1.2-0.8)=0.5764,C=[p×C u +(1-p)×C d ]×e rT =(0.5764×10+0)×e 3.01% =5.59。

由此可知,该看涨期权价格为¥5.59。

(3)由题意可知,股票现价S 0 =100,在到期日股票价格以概率p上升到S u =120,以概率1-p下降为S d =60,期权执行价格X=110,股价上升比例u=1.2,股价下降比例d=0.6,股价上升情况下期权价值C u =10,股价下降情况下期权价值C d =0,无风险利率r=3.01%。因此有:p=(e rT -d)/(u-d)=(e 3.01% -0.6)/(1.2-0.6)=0.7176,C=[p×C u +(1-p)×C d ]×e rT =(0.7176×10+0)×e 3.01% =6.96。

由此可知,该看涨期权价格为¥6.96。

比较(2)和(3)的结果可以看到,看涨期权的价格随着标的股票价格变化幅度的增大而提高。股票的价格变化幅度增大事实上说明股价的波动率增大,因此这一结果反映了期权价格不仅与标的资产的价格有关,并且与标的资产的波动性有关的事实。期权对于波动率的敏感性称为期权的Vega值,对于期权多头而言,Vega值一定是正的,标的资产波动率增大会提高期权的价格。

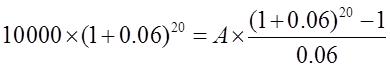
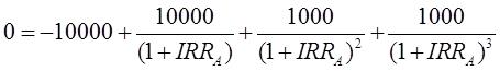
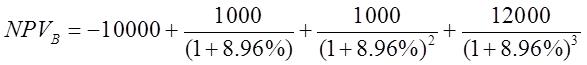
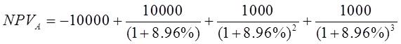
11 公司有两个互斥项目,初始投资都为10000万元,项目A的现金流为第一年10000万元,第二年为1000万元,第三年为1000万元,项目B的现金流为第一年1000万元,第二年1000万元,第三年为12000万元。公司的负债权益比为1∶4,公司债券的收益率为6%,假设无风险利率为4%,沪深300指数的收益率为10%,公司税为20%,公司β系数为1。

(1)利用资本资产定价模型,计算公司的权益收益率。

(2)若上述项目产生现金流均为资产方产生现金流,则在使用贴现模型第一项目价值进行评估的过程中,适用的折现率是多少?

(3)假设公司的贴现率用r表示,计算项目A和B的净现值(只需列出式子,无需计算),并说明项目选择的依据是什么。

(4)计算项目A与项目B的内部收益率,可以直接比较它们内部收益率计算选择(只需列出式子,无需计算)?依据是什么? [西南财经大学2016年研]

解: (1)由资本资产定价模型:

R S =R F +β×( R _ M -R F

依题意得,无风险利率R F =4%,贝塔系数β=1,市场组合利率 R _ M =10%;

则R S =4%+(10%-4%)×1=10%

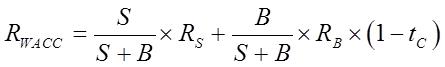
(2)加权平均资本成本R WACC =(B/V)×R B ×(1-t C )+(S/V)×R S

依题意得B/V=0.2,S/V=0.8,R B =6%,R S =10%。

则R WACC =0.2×6%×(1-20%)+0.8×10%=8.96%

(3)依题意可得:

应选择净现值高的项目。

(4)项目A的内部收益率IRR A

项目B的内部收益率IRR B

按照内部收益率法则,若IRR A 和IRR B 均大于公司的资本成本R WACC ,应选择内部收益率高的项目,但因为在互斥项目中使用内部收益率法还可能存在规模问题和时间序列问题,所以直接用内部收益率比较是不准确的,应选用净现值法进行比较。

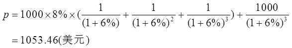
12 某欧洲债券的票面金额1000美元,票面利率8%,期限3年,发行时的市场收益率6%,请问该欧洲债券的发行价格是多少? [南京大学2015年研]

解: 设每年计息一次,则:

13 某公司的股票收益率与市场组合收益率之间的协方差是0.036,市场组合收益率的标准差为20%,市场风险溢价的期望值为7.5%。公司发行的债券的市场价值为4000万元,到期收益率为8%。公司同时还发行了500万股普通股,每股股价为20元。公司管理层认为目前公司的负债/权益比是最优的。公司税率为35%,国债收益率为6%。试求该公司的加权平均资本成本。 [武汉大学2015年研]

解: 根据CAPM模型,资本资产定价模型的公式为:R S =R F +β×(R M -R F ),其中β=σ im M 2 。该公司股票的期望收益率R S =6%+0.036/0.2 2 ×7.5%=12.75%

公司的价值V=债券市场价值+普通股股数×每股股价=4000+500×20=14000(万元);

加权平均资本成本的计算公式为:

该公司的加权平均资本成本:

R WACC =(12.75%×10000)/14000+(8%×4000)/14000×(1-35%)=10.59%

14 一家公司的投资组合经理正在使用资本资产定价模型来为他的客户推荐投资产品。已知以下市场信息:

(1)计算每只股票的预期收益率和阿尔法值(α)。

(2)请分别为如下两位投资者推荐股票X或股票Y:投资者A希望将所选择的这只股票加入到已有的完全分散化的股票投资组合中。投资者B将仅投资于所选择的这一只股票。 [北京航空航天大学2014年研]

解: (1)根据CAPM模型,股票X的预期收益率E(X)=5%+0.8×(14%-5%)=12.2%,阿尔法值(α X )=15%-12.2%=2.8%;股票Y的预期收益率E(Y)=5%+1.5×(14%-5%)=18.5%,阿尔法值(α Y )=17%-18.5%=-1.5%。

(2)投资者A应选择X股票,投资者B应选择Y股票。因为股票X的标准差较大即整体风险较大,加入到投资组合中可以分散部分风险。股票Y的预期收益率较高,整体风险较小,适合单独投资。

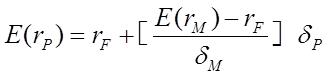
15 若短期国债(被认为是无风险的)的收益率为3%,某贝塔系数(β)为1.2的资产组合要求的期望收益率为9%。请计算:

(1)市场组合的期望收益率是多少?

(2)贝塔系数(β)为零的股票组合的期望收益率是多少?

(3)如果某股票的贝塔系数为0.9,当前价格为15元,预计该股票下一年度将派发红利1元,投资者预期一年后能够以17元卖出该股票。请问投资者当前是否应该购买该股票?为什么? [南京大学2013年研]

解: (1)资产组合期望收益率=无风险收益率+β×(市场组合期望收益率-无风险收益率),即R i =R f +β(R m -R f ),将题干中的数值代入,得9%=3%+1.2×(R m -3%),解得:R m =8%,市场组合的期望收益率为8%。

(2)β值表示投资组合对系统风险的敏感程度,β值为0的投资组合为无风险投资组合,即当指数发生变动时,投资组合不会发生相应变动,所以,贝塔系数(β)为零的股票组合的期望收益率等于无风险收益率,即3%。

(3)首先计算股票的期望收益率:R i =R f +β(R m -R f )=3%+0.9×(8%-3%)=7.5%,则股票现值应为(17+1)/(1+7.5%)=16.74(元),16.74>15,因此股票现在被低估,当前应该购买该股票。

16 西南航空上次股利每股2元,预计股利将以8%比率无限增长下去。目前股票的销售价格30元,西南航空权益资本成本应是多少? [西南财经大学2014年研]

解: 根据股利增长模型:P=Div 1 /(R-g)=Div 0 (1+g)/(R-g),变形可得:R=[Div 0 (1+g)/P 0 ]+g。依题意可得Div 0 =2元,g=8%,P 0 =30元,代入上式可以得到:R=[2×(1+8%)/30]+8%=15.2%。

17 某证券投资者在2010年初预测甲公司股票每年年末的股息均为0.5元,假定折现率为5%,则该年初股票投资价值是多少? [东北财经大学2011年研]

解: 根据零增长股利贴现模型,股票价值的计算公式:

P=D/r,代入数值可得P=0.5/5%=10(元)。

所以,该年初股票投资价值是10元。

18 某公司于2003年发行一种债券,面值1000元,年利率15%,每年计息一次,到期还本,限期10年。分别确定当市场利率为15%、10%时该公司债券的价格。 [武汉理工大学2004年研]

解: 当市场利率为15%时,由于票面利率和市场利率相同,且按年计息,则债券的价格等于其面值。债券价格为1000元。

当市场价格为10%时,则该债券的市场价格为1000×15%×PVIA(10%,10)+1000×PVIF(10%,10)=1243.69元。

19 甲公司持有A、B、C三种股票,在由上述股票组成的证券投资组合中,各股票所占的比重为50%,30%和20%,其β系数分别为2.0、1.0和0.5。市场收益率为15%,无风险收益率为10%。A股票当前每股市价为12元,刚收到上一年度派发的每股1.2元的现金股利,预计股利以后每年将增长8%。

要求计算以下指标:

(1)甲公司证券组合的β系数;

(2)甲公司证券组合的风险收益率(RP);

(3)甲公司证券组合的必要投资收益率(K);

(4)投资A股票的必要投资收益率。 [武汉理工大学2004年研]

解: (1)该证券组合的系统风险系数β=2.0×50%+1.0×30%+0.5×20%=1.4。

(2)该公司证券组合的风险收益率R P =1.4×(15%-10%)=7%。

(3)甲公司证券组合的必要投资收益率K=10%+1.4×(15%-10%)=17%。

(4)投资A股票的必要投资收益率为1.2×(1+8%)÷12+8%=18.8%。

20 将表中空白项目填上。指出这些公司是否具有投资价值?根据价值型投资原则你在投资时如何对待这三只股票,请说明理由。 [东北财大2002年研]

解: 甲公司股票市盈率=当前市价/每股利润=10/0.17=58.82。

乙公司股票市盈率=当前市价/每股利润=7.3/0.22=33.18。

丙公司股票市盈率=当前市价/每股利润=7.8/0.22=35.45。

可见,甲、乙、丙公司股票的市盈率均大于行业平均水平,即甲、乙、丙公司股票的每股利润均低于其所在行业的平均每股利润,所以这些公司的股票投资价值不大。

根据价值投资原则,价值型投资者一般认为股票价格通常难以正确地反映其价值,投资机会产生于股票价格与其价值之间的差异,投资者购买那些自认为价值高于价格的股票,当价格上涨充分体现价值时抛出。因此可以通过应用一些财务指标来寻找那些价格与价值的比值相对较小的股票进行投资,期待价格上涨体现价值时,能够最终获取超过股市平均涨幅的投资收益。对甲、乙、丙公司的股票,由于其市盈率均高于其所在的市场平均水平,即其股票价值低于行业平均水平,因此投资者不应该对这三个股票进行投资。

21 某资产组合,年末来自该资产组合的现金流可能为70000美元或200000美元,概率相等,均为0.5;无风险国库券投资年利率为6%,如果投资者要求8%的风险溢价,则投资者愿意支付多少钱去购买该资产组合? [东北财大2006年研]

解: 资产组合的预期现金流为:0.5×70000+0.5×200000=135000(美元)。

投资者要求的回报率为:8%+6%=14%。

资产组合的现值为:135000/(1+14%)=118421(美元)。

22 假设某公司债务资本成本为9%,所得税率为33%,权益成本为15%。公司计划按照以下资本结构筹集资金:35%的债务和65%的股权,计算该公司的加权平均资本成本。 [东北财大2006年研]

解: 公司的税后债务资本成本为9%×(1-33%)=6.03%。

公司的加权平均资本成本为6.03%×35%+15%×65%=11.955%。

23 A公司目前股票价格为每股10元,流通在外的普通股为500000股。公司的负债为5000000元。债务资本成本为10%,权益资本成本为20%。公司盈利为250000元。不考虑税收。公司在某个时间回购了100000股的股份。

(a)回购前,公司的加权平均资本成本、市盈率、每股收益各是多少?

(b)回购前,公司的应得收益率是多少?

(c)回购后,公司的股票价格是多少,相比回购前如何变化?期望收益率是多少?

(d)回购后,公司的加权平均资本成本、市盈率、每股收益各是多少? [北大2005年研]

解: (a)回购前公司的股东权益为10×500000=5000000(元),公司负债为5000000元。加权平均资本成本为:

每股收益为:E=250000/500000=0.5。

市盈率为:P/E=100.5=20。

(b)回购前公司应得到的收益率为股东的权益资本成本即20%。

(c)假设回购过程中公司的权益的市场价值不变,则回购后公司股票价格为:

股票价格相对回购前升高。

每股的期望收益率为:(12.5-10)/10×100%=25%。

(d)假设公司是用债务进行回购,则增加债务12.5×100000=1250000(元),回购后公司的债务为1250000+5000000=6250000(元)。

公司回购后的加权资本成本为:

每股收益为:E=250000/400000=0.625。

市盈率为:P/E=10/0.625=16。

24 面额为1000美元的美国财政部国库贴现债券,1998年4月22日(星期三)由经纪人标出的买方折扣率为0.09,而卖方折扣率为0.085,假定结算日采用T+3日结算方式,国库券到期日为5月17日,那么投资者的买入和卖出价格各是多少? [东北财大2001年研]

解: 投资者的买入价格=1000-1000×0.09×(29/360)=992.75(美元)。

投资者的卖出价格=1000-1000×0.085×(29/360)=993.15(美元)。

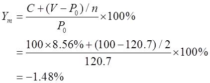
25 代码为000896的7年期国债于1996年11月1日发行,面值100元,票面利率为8.56%,每年付息一次。由于利率下调该国债的市场价格随之上升,至2001年11月1日除权前一个交易日其收盘价为120.70元。如果投资者以120.70元的价格买入该债券,请计算其到期收益率。已知此时的一年期银行储蓄存款利率是2.25%,请计算其内在价值,判断该债券是否值得投资,说明理由。 [东北财大2003年研]

解:

债券内在价值V=8.56×(P/A,2.25%,2)+100×(P/S,2.25%,2)=8.56×1.9346+100×0.9641=112.97(元)。

由于该债券的内在价值小于其市场价值,因此不值得购买。

26 假设市场组合由两个证券A和B组成,它们的投资比例分别是40%和60%。已知这两个证券的期望收益率分别是10%、15%,标准差分别是20%、28%,其相关系数为0.3。假设无风险收益率为5%。写出资本市场线方程。 [东北财大2003年研]

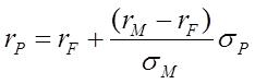
解: 资本市场线方程为:

其中,r M 、r F 、σ M 分别代表市场组合的收益率、无风险收益率、市场组合的标准差。

市场组合的预期收益率为r M =10%×40%+15%×60%=13%。

市场组合的标准差为:

由此可以得到资本市场线方程为:r P =5%+[(13%-5%)/20.66%]σ P

所以,资本市场线方程为r P =5%+0.39σ P

27 某投资者2004年欲购买股票。现有A、B两家公司的股票可供选择。从A、B公司2003年12月31日的有关会计报表及补充资料中获知,2003年A公司税后净利润为800万元,发放的每股股利为5元,市盈率为5,A公司发行在外的股数为100万股,每股面值10元;B公司2003年获得税后净利润为400万元,发放的每股股利为2元,市盈率为5,其发行在外的普通股股数为100万股,每股面值10元,预期A公司未来5年内股利为零增长,在此以后转为常数增长,增长率为6%,预期B公司股利将持续增长,年增长率为4%。假定目前无风险收益率为8%,平均风险股票的必要收益率为12%,A公司股票的贝塔系数为2,B公司股票的贝塔系数为1.5。求:

(1)分别计算两公司股票的价值,并判断两公司股票是否值得购买。

(2)如果投资购买两种股票各100股,求该投资组合的预期收益率和该投资组合的贝塔系数。 [北航2004年研]

解: (1)利用资本资产定价模型

R A =8%+2×(12%-8%)=16%

R B =8%+1.5×(12%-8%)=14%

利用固定成长股票及非固定成长股票模型公式计算:

A的股票价值为:

B的股票价值为:P B =2/(0.14-0.04)=20(元)。

计算A、B公司股票目前市价:

A的每股盈余=800/100=8(元/股)

A的每股市价=5×8=40(元)

B的每股盈余=400/100=4(元/股)

B的每股市价=5×4=20(元)

A公司股票价值高于其市价,应购买。

B公司股票等于其市价,也可购买,也可不购买。

(2)

投资组合的β系数:

28 如果你从1年后开始每年投资100美元,连续投资20年,年利率为10%,20年后你将拥有多少资金?如果你希望20年后账面上有5万美元,每年你应该存入多少资金? [南开大学2003年研]

解: 一年后开始每年投资100美元,连续投资20年,在年利率为10%情况下,20年后拥有的资金为:FV=100×(1+0.1) 20 +100×(1+0.1) 19 +…+100×(1+0.1)=6300.25(美元)。

设20年后账面上有50000元美元,现在每年存入A元美金,则:

50000=A×(1+0.1) 20 +A×(1+0.1) 19 +…+A×(1+0.1)

得A=793.65(美元)。

29 DDM公司刚支付了每股2美元的现金股利(D 0 ),这些年来,该公司的现金股利一直保持了每年5%的增长率,你预计这只股票的市场资本报酬率为13%。

(1)你认为该股票的内在价值是多少?

(2)假定该股票的实际价格为20美元,此时,你应该如何调整模型中的因变量股利增长率和市场资本报酬率? [南开大学2003年研]

解: (1)该股票的内在价值为P 0 =D 0 /(r-g)=2/(0.13-0.05)=25(美元)。

(2)如果股票实际价格为20美元,则20=P 0 =D 0 /(r-g)=2/(r-g),得r-g=0.1。所以如果股利增值率不变,则市场资本报酬率应该上升为15%,如果市场资本报酬率不变,则股利增值率应该下降为3%。

30 某投资基金2000年的实际收益率是7.2%,经估算该投资基金的标准差为10%,它的β系数为0.9,市场组合的实际收益率是8%,标准差为14%。试用Jensen、Treynor和Sharpe三种业绩指数评价该投资基金的业绩。 [东北财大2003年研]

解: (1)Jensen指数

可得r F =5.2%;

J P =E(r P )-{r F +[E(r M )-r F ]×β P }=7.2%-{5.2%+[8%-5.2%]×0.9}=-0.0052<0。

该投资基金的绩效不好。

(2)Treynor指数

T P =[E(r P )-r F ]/β P =(7.2%-5.2%)/0.9=0.022<0.9

由于Treynor指数小于证券市场线的指数,因此该投资基金的绩效不如市场绩效好。

(3)Sharpe指数

S P =[E(r P )-r F ]/σ P =(7.2%-5.2%)/10%=0.2

S P =[E(r M )-r F ]/σ M =(8%-5.2%)/14%=0.2

位于资本市场线上的夏普指数与市场组合的夏普指数均相等,表明该投资基金中等绩效。

31 某投资者拥有一个组合具有下列特征(假设收益率由一个单因素模型生成):

该投资者决定通过增加证券A的持有比例0.2来创造一个套利组合。

(1)在该投资者的套利组合中其他两种证券的权数各是多少?

(2)该套利组合的期望收益率是多少?

(3)如果每个人都同该投资者的决定行事,对这3种证券的价格会造成什么影响? [北航2004年研]

解: (1)A的持有比例增加0.2,欲创造一个套利组合,只要B、C组合的风险和A相同,设B的权数为x,则C为1-x,则有:3.5x+0.5×(1-x)=2.0,得x=0.5,所以B的权数为0.5,C的权数为0.5,所以B、C的比例各减少0.1,此时A、B、C组合与原组合风险相同。

(2)期望收益率为:

R=0.4×20%+0.3×10%+0.3×5%=12.5%

(3)如果每个人都同该投资者的决定行事,则B、C的价格会上升,A的价格会下降,最终失去套利机会。

32 某人计划从银行借款10000元,年利率为12%,半年计息一次。这笔借款在10年中分期等额摊还本息,且每半年还款一次。第一次还款是在借款日期后6个月。求:

(1)贷款的实际年利率为多少?

(2)计算每半年应付的等额偿还额。

(3)第二个半年所付的本金及利息各为多少?

(4)若在第5年末支付当期的偿还额后,希望一次性还清贷款,则需要支付多少? [北航2004年研]

解: (1)设实际年利率为r,则r=(1+0.06) 2 -1=12.36%。

(2)设每次还A元,10年后银行借款及其利息和与还款者还款的现金在10年后的货币价值相等。即10000×(1+0.06) 20 =A(1+0.06) 19 +A(1+0.06) 18 +…+A。

解得: A=871.85。

(3)第二个半年应该支付的本金为10000/20=500(元),所需要支付的利息为811.85-500=371.85(元)。

(4)设需要支付B元,则

即B=17908.5-11491.85

解得: B=6416.65(元)。

33 假设两年后你要支付每年10000元的学费,市场利率为8%。

(1)你的债务的现值和持续期为多少?

(2)你持有多大期限的零息票债券可以为你的债务免险?

(3)假设你购买了一份债券,其价值和持续期等于你的债务的价值和持续期,但市场利率突然上升到9%,那么你的净头寸,即债券和债务间的差值,将如何变化? [北航2004年研]

解: (1)债务现值为B=10000/(1+0.08)+10000/(1+0.08) 2 =17832.65(元)。

持续期为

(2)由于零息票债券的持续期就是其持有期,所以要使债务免险,只需要使债券的持有期等于债务的持续期,即1.48年。

(3)由于债券的价值和持续期都等于债务的价值和持续期,所以持续期缺口等于零,净值不随利率变化而变化,所以当利率从8%上升到9%时,净头寸不改变。

34 MicroPC是一家领先的internet-PC制造商,预期该公司每年将支付盈利的40%作为股利,并且预期该公司盈利留存部分的再投资收益率为每年20%,公司的资本成本为15%。

(1)该公司股票的市盈率为多少?

(2)如果该公司刚刚支付了今年的股利,每股股利为0.1元,请计算该公司股票的内在价值。

(3)如果对该公司新增投资可得20%的年收益率的估计是过高了,新的估计为15%,则该公司股价将会发生什么变化。(以百分比表示)。

(4)如果资本成本增至16%,则该公司股价将会发生什么变化。(以百分比表示)

(5)“最近全球高科技股价的暴跌仅仅是因为投资者认识到他们过去对高科技行业的长期增长潜力估计过高。”请结合(3)和(4)的计算结果来谈谈你对这一观点的看法。 [北京大学2003年研]

解: (1)该股票的市盈率=1/15%=6.7。

(2)该公司的股利增长率=20%×(1-40%)=12%。

所以该公司股票的内在价值=0.1×(1+12%)/(15%-12%)=3.73。

(3)当收益率为15%时,股利增长率=15%×(1-40%)=9%。

所以该公司股票的内在价值=0.1×(1+9%)/(15%-9%)=1.82。

变化百分比=(3.73-1.82)/3.73×100%=51.2%。

(4)当资本成本为16%时,公司股价=0.1×(1+12%)/(16%-12%)=2.8。

该公司股票将下跌,变化百分比=(3.73-2.8)/3.73×100%=24.9%。

(5)最近全球高科技股价的暴跌的部分原因是投资者认识到他们过去对高科技行业的长期增长潜力估计过高,如果实际的增长率低于预期的增长率,就像第三问中的低增长率直接会导致公司股价的降低。但是这并不是唯一的原因,资本成本的增加,像(4)中的,同样会导致公司股价的下跌。

35 在市场上处于无套利均衡条件下,股票I的期望收益率为19%,β值为1.7;股票Ⅱ的期望收益率为14%,β值为1.2。假设CAPM理论成立,则市场组合的期望收益率为多少?无风险收益率为多少? [金融联考2006年研]

解: 根据CAPM理论,在市场上处于无套利均衡条件下,股票的收益率等于无风险利率加上市场组合的风险溢价乘以该股票的值。所以可得到如下方程组:

r 1 =r f +(r m -r f )×β 1 ,即19%=r f +(r m -r f )×1.7。

r 2 =r f +(r m -r f )×β 2 ,即14%=r f +(r m -r f )×1.2。

其中,r 1 、r 2 分别为股票Ⅰ、Ⅱ的预期收益率,r m 为市场组合的期望收益率,r f 为无风险收益率,β 1 、β 2 分别为股票Ⅰ、Ⅱ的β值。

解此方程组得:r f =2%,r m =12%。

即市场组合的期望收益率为12%,无风险收益率为2%。

36 某一证券组合由15%的A股票和85%的B股票组成,AB的标准差分别是10%和30%,相关系数是0.3,请计算该组合的方差。若其他条件不变,将相关系数改为0.2,那么计算结果将发生什么变化?请解释。 [东北财大2006年研]

解: 根据公式:

相关系数为0.3时:

相关系数变为0.2时:

计算结果显示组合风险降低。这说明组合风险不仅依赖于单个证券的风险,而且还依赖于证券之间的相互影响。

37 设A、B两种风险资产的收益率r和各种收益率实现的概率p如下表。

假设这两种风险资产完全正相关,以80%的A资产和20%的B资产构成资产组合C,要求:

(1)分别计算A、B两种风险资产的平均收益率和风险度。

(2)计算资产组合C的平均收益率和风险度。

(要求精确到小数点后两位数) [武汉理工2006年研]

解: (1)资产A的平均收益率为r A =0.4×0.5+0.6×0.5=0.5。

资产A的风险度为:

资产B的平均收益率为:

r B =0.5×0.2+0.5×0.4=0.3

资产B的风险度为:

(2)资产组合C的平均收益率为:r C =0.8×0.5+0.2×0.3=0.46。

因为资产A的风险度为0,所以资产组合C的风险度为:σ 2 =0.2 2 ×0.1 2 =0.0004。

38 给定A、B、C债券,其D系数分别为5、10、12,试构成两个不同的债券组合,但组合的D系数都为9。 [上海交大2007年研]

解: 显然只有债券A与B、A与C构成的组合,它们的D系数才可能为9,首先考虑A与B构成的组合,设该组合中债券A所占的比例为x,根据题意则有:

5x+10(1-x)=9。

解得: x=0.2。这说明在A与B构成的组合中,如果债券A所占的比例为20%。

债券B所占的比例为80%,则该组合的D系数为9。

同样的方法可求出在A与C构成的组合中,如果债券A所占的比例为42.9%,债券C所占的比例为57.1%,则该组合的D系数为9。

39 某债券的面额为100元,息票率为7%,还有两年到期,若投资者以102元买入,持有至到期,则持有期收益率为多少?如果再投资收益率为5%,其他条件不变,则已实现收益率为多少? [金融联考2009年研]

解: (1)设持有期收益率y 1 ,则有:102=7/(1+y 1 )+107/(1+y 1 2 ,计算得:y 1 =5.91%。

(2)设已实现收益率y 2 ,则有:102×(1+y 2 2 =7×(1+5%)+107,计算得:y 1 =5.88%。 d7mrVdNeleEf0P/QOT4XLzshlBbOwYbKH/T/uCVmjfr0XmukB1e9rmOuxtWdxr3S

点击中间区域
呼出菜单
上一章
目录
下一章
×