购买
下载掌阅APP,畅读海量书库
立即打开
畅读海量书库
扫码下载掌阅APP

三、简答题

1 什么是信息不对称,简述信息不对称对金融市场的影响。 [西南财经大学2025年研]

答: (1)信息不对称的含义

信息不对称是指交易双方对交易相关信息的掌握程度不一致,导致一方处于信息优势地位而另一方处于劣势地位的经济现象。在金融市场中,这种不对称性表现为资金需求方比供给方更了解自身的信用状况、投资项目的真实风险与收益。典型例子包括借款人比银行更清楚自身还款能力、企业管理者比股东更掌握公司实际经营状况等。信息不对称会对金融市场运行产生深远影响,主要体现在交易前的逆向选择和交易后的道德风险两个阶段,这两种效应会显著降低市场资源配置效率,甚至导致市场失灵。

(2)信息不对称对金融市场的具体影响

①逆向选择效应会扭曲资金配置。由于高风险借款者往往更积极地寻求融资并通过包装隐藏风险,资金供给方因无法准确识别借款人质量,只能按照市场平均风险水平定价,这会导致优质借款人退出市场,形成“劣币驱逐良币”现象。阿克洛夫的“柠檬市场”理论证明,在极端情况下可能造成直接融资市场萎缩。

②道德风险会削弱合约执行力。资金使用者获得融资后可能改变资金用途或降低努力程度,例如股权融资中的管理层卸责、债务融资中的高风险投资等。委托代理问题表明,当信息监督成本过高时,外部投资者利益容易受到侵害。

③信息成本会推高交易门槛。为防范信息不对称风险,资金供给方不得不实施严格的尽职调查、抵押担保要求和高利率补偿,这些措施在控制风险的同时也提高了市场参与成本。

(3)信息不对称的缓解

信息不对称问题催生了金融中介机构存在的必要性。相较于直接融资,银行等金融中介通过专业化信息处理能够有效缓解信息不对称:①通过长期合作关系积累客户信息,建立信用评估体系;②利用规模经济降低单位信息处理成本;③通过贷款监督和合约设计约束借款人行为。这些机制使金融中介在解决逆向选择和道德风险方面具有显著优势,这解释了为何间接融资在金融体系中始终占据重要地位。现代金融体系中,征信系统、信息披露制度、第三方审计等安排都是为降低信息不对称而发展出来的制度创新。

2 请回答选择证券投资基金进行投资的好处和风险。 [东北财经大学2022年研]

答: (1)选择证券投资基金进行投资的好处

①专业管理:证券投资基金由专业的基金经理进行管理,他们拥有丰富的市场经验和专业知识,能够做出更合理的投资决策。

②分散风险:基金通过将资金投资于多种不同的证券,实现资产的分散化,从而降低单一投资的风险。

③流动性高:开放式基金允许投资者随时申购和赎回份额,资金进出方便,流动性较好。

④门槛低:相对于直接购买股票或债券,投资基金的门槛较低,适合小额投资者。

⑤透明度高:基金的运作情况、净值变化等信息定期公开,投资者可以随时了解基金的表现。

⑥多样化选择:市场上有多种类型的基金,如股票基金、债券基金、混合基金等,投资者可以根据自己的风险偏好和投资目标选择合适的基金。

(2)选择证券投资基金进行投资的风险

①市场风险:基金投资于证券市场,市场波动会导致基金净值的波动,投资者可能面临本金损失的风险。

②管理风险:基金经理的投资决策可能不准确,导致基金表现不佳。

③费用风险:基金运作涉及管理费、托管费等多种费用,这些费用会侵蚀投资收益。

④流动性风险:虽然开放式基金流动性较高,但在市场极端情况下,赎回可能受到影响。

⑤信用风险:基金投资的债券等固定收益产品可能存在信用风险,即发行方违约的风险。

⑥政策风险:政府政策的变化可能影响市场环境,进而影响基金的表现。

3 简述流动比率和速动比率及其含义。 [华中师范大学2021年研]

答: (1)流动比率

①流动比率是最为人熟知并且应用最为广泛的流动性指标。流动比率定义为流动资产与流动负债的比值。

②正常情况下,流动资产和流动负债会在12个月内转换成现金或以现金支付,故而流动比率是度量短期流动性的指标,它的单位可以是美元或者倍数。原则上,流动比率至少应达到1。因为,流动比率低于1意味着净营运资本(流动资产减去流动负债)为负值。

③流动比率会受到不同交易类型的影响。如果一家公司通过长期债务筹集资金,其短期影响就表现为现金增加和长期负债增加,而流动负债不受影响,从而流动比率上升。

(2)速动比率

①速动比率与流动比率类似,只是除去存货的影响,即速动比率为流动资产与存货的差值与流动负债之比。

②存货是流动性最低的流动资产,其账面价值不太能准确地反映市场价值,因为账面价值没有把存货的质量考虑在内。故而在速动比率中剔除存货。用现金购买存货不影响流动比率,但会降低速动比率。

4 有效市场假说。 [西安交通大学2020年研]

答: 有效市场假说是由美国经济学家尤金·法玛提出的。按照有效市场假说,资本市场的有效性是指市场根据新信息迅速调整证券价格的能力。有效市场假说主要包括三种形态,即强式有效市场、半强式有效市场以及弱式有效市场。具体阐述如下:

(1)强式有效市场

强式有效市场是信息反映能力最强的证券市场。在这种证券市场上,证券价格总能及时充分地反映所有相关信息,包括所有公开的信息和内幕信息。任何人都不可能利用公开或内幕信息来获取超额收益。其结果是:在强式有效市场上,每一位投资者都掌握了有关证券产品的所有信息,而且每一位交易者所占有的信息都是一样的,每一位投资者对该证券产品的价值判断都是一致的,并且都能将自己的投资方案毫无阻碍地付诸实施。因此,对于强式有效证券市场来说,不存在因证券发行者和投资者的非理性所产生的供求失衡,也不存在因这种供求失衡而导致的证券产品价格波动,其证券的价格反映了所有信息。这是一种理想的经济状态,其市场非常完善,市场中证券价值和价格总是相等的,并随着新信息的出现而随机波动。

(2)半强式有效市场

在半强式有效市场上,信息公开的有效性遭到破坏,存在某种尚未公开的“内幕信息”。但是,所有投资者占有的公开信息是一样的,除了“内幕信息”以外,只要是被公开的信息,就可以被所有投资者获得。同时,所有投资者对公开信息会做出一致的、准确的判断,并通过投资行为引起市场价格的变化。其结果是,在半强式有效市场上存在着两类信息:公开信息和内幕信息。极少数人掌握着内幕信息,而大部分人只能获得公开信息。如果掌握内幕信息的人不能参加交易,那么所有参与交易的人都能通过公开信息进行投资,而证券的市场价格就反映了全部投资者对所有公开信息的理性价值判断。如果少数既掌握“内幕信息”又拥有公开信息的人也参与交易,那么掌握“内幕信息”的人就可以从中赚取超额收益。

(3)弱式有效市场

在弱式有效市场上,市场行为的历史资料已经充分发挥了作用,不能再继续影响证券市场的价格走势,即证券价格充分反映了历史上一系列交易价格和交易量中所隐含的信息,也即有关证券的历史交易信息已经被充分披露和完全使用,任何投资者都不可能通过分析这些历史交易信息来获取超额收益。在这种市场上,信息从产生到公开的效率受到损害(即存在“内幕信息”),而且投资者对信息进行价值判断的效率也受到损害,并不是每一位投资者对所披露的信息都能做出全面、正确、及时和理性的解读和判断。只有那些掌握了专门分析工具的专业人员才能对披露的信息做出全面、正确、及时和理性的解读和判断,并在此基础上做出有效的投资决策。一般的投资公众解读和判断信息价值的能力以及做出有效投资决策的可能性都不如专业投资者。但一般投资公众对于历史信息的分析和判断是完全准确的,因此弱式有效市场可以反映历史信息。

三种形态的有效市场之间的关系为:强式有效市场包含着半强式有效市场,即一个强式有效市场也是一个半强式有效市场;半强式有效市场包含着弱式有效市场,即一个半强式有效市场必定是一个弱式有效市场;反之,不成立。

5 直接融资与间接融资分别是指什么,它们的区别是什么? [天津大学2019年研]

答: (1)直接融资是指市场上拥有暂时闲置资金的单位与资金短缺需要补充资金的单位,相互之间直接进行协议,或者在金融市场上前者购买后者发行的有价证券,将货币资金提供给所需要补充资金的单位使用,从而完成资金融通的过程。

(2)间接融资是指市场上拥有暂时闲置货币资金的单位通过存款的形式,或者购买银行、信托、保险等金融机构发行的有价证券,将其暂时闲置的资金先行提供给这些金融中介机构,然后再由这些金融机构以贷款、贴现等形式,或通过购买需要资金的单位发行的有价证券,把资金提供给这些单位使用,从而实现资金融通的过程。

(3)直接融资和间接融资有以下区别:

①形式上不同。直接融资过程中,资金的需求者与资金的供给者直接形成债权债务关系;而间接融资过程中,资金的需求者与资金的供给者不直接形成债权债务关系。

②债权债务关系上不同。直接融资的资金供求双方形成了直接的债权债务关系或所有权关系;而间接融资的资金供求双方不形成直接的债权债务关系,而是分别与金融机构发生债权债务关系。

③融资的工具不同。直接融资的工具常见的有商业票据和直接借贷凭证、股票和债券等。而间接融资的工具一般是金融机构发行的各种融资工具,如存单、贷款合约等。

④优势不同。直接融资使得资金供求双方联系紧密,有利于与合理配置资金,提高资源使用效率,且筹资成本较低而投资收益较大。间接融资则凭借多样化的融资工具可以灵活方便的满足资金供需双方的融资需求。金融机构可以通过多样化的策略降低风险,安全性较高,有利于提高金融活动的规模效益,提高全社会资金的使用效率。

⑤局限性不同。直接融资的双方在资金数量、期限、利率等方面受到较多限制。直接融资工具的流动性和变现能力受金融市场的发育程度的限制,一般低于间接融资工具。资金供给方所承担的风险和责任较大。间接融资的资金的供需双方的直接联系被割断,不利于供给方监督和约束资金的使用。对需求方来说,增加了筹资成本;对供给方来说,降低了收益。

6 按合约类型的标准分类,简述四种最基本的金融衍生工具种类要求。 [华中科技大学2017年研]

答: 金融衍生工具是指一类价值依赖于原生性金融工具的金融产品,在形式上均表现为一种合约,在合约上载明买卖双方同意的交易品种、价格、数量、交割时间及地点等。按合约类型的标准划分主要有远期、期货、期权和互换这四种类型。

(1)远期合约

远期合约是相对最简单的一种金融衍生工具。合约双方约定在未来某一日期按约定的价格买卖约定数量的相关资产。远期合约通常是在两个金融机构之间或金融机构与其客户之间签署的。远期合约的交易一般不在规范的交易所内进行。目前,远期合约主要有货币远期和利率远期两类。在远期合约的有效期以内,合约的价值随相关资产市场价格的波动而变化。若合约到期时以现金结清,当市场价格高于合约约定的执行价格时,应由卖方向买方支付价差金额;当市场价格低于执行价格时,则由买方向卖方支付价差金额。按照这样一种交易方式,远期合约的买卖双方可能形成的收益或损失都是无限大。

(2)期货合约

期货合约与远期合约十分相似,它是交易双方约定在未来某一时间按约定价格买卖一定标准数量的某种特定金融资产的合约。期货合约的收益曲线也与远期合约一致,即买卖双方可能形成的收益或损失都是无限大。无论是远期合约还是期货合约,都为交易人提供了一种避免因一段时期内价格波动带来风险的工具;同时,也为投机人利用价格波动取得投机收入提供了手段。两者的区别在于:远期合约交易一般规模较小,较为灵活,交易双方易于按各自的愿望对合约条件进行磋商。而期货合约的交易是在有组织的交易所内完成的,合约的内容(如相关资产的种类、数量、价格、交割时间、交割地点等)都有标准化的特点。比较起来,期货交易更为规范化,也更便于管理。

(3)期权合约

期权是一种选择权,期权合约是指期权的买方有权在约定的时间或约定的时期内,按照约定的价格买进或卖出一定数量的相关资产,也可以根据需要放弃行使这一权利。为了取得这样一种权利,期权合约的买方必须向卖方支付一定数额的费用,即期权费。按照相关资产的不同,金融期权有外汇期权、利率期权、股票期权、股指期权等。

期权还分看涨期权和看跌期权两个基本类型。看涨期权的买方有权在某一确定的时间以确定的价格购买相关资产;看跌期权的买方有权在某一确定的时间以确定的价格出售相关资产。对期权的买方来说,收益无限,损失有限,损失的仅限于期权费;对期权的卖方来说,收益有限,损失无限。在这种看似不对称的条件下,还会存在期权的卖方,是因为可能出现以下两种情况:一是买入看涨期权,价格不涨反跌,或者价格虽涨,但涨不到执行价格;买入看跌期权,价格虽跌,但跌不破执行价格。二是将卖出期权与买入现货资产结合起来,分散风险。

(4)互换合约

互换是指交易双方约定在合约有效期内,以事先确定的名义本金额为依据,按约定的支付率(利率、股票指数收益率等)相互交换支付的约定。交换的具体对象可以是不同种类的货币、债券,也可以是不同种类的利率、汇率、价格指数等。

互换合约实质上可以分解为一系列远期合约的组合。

7 什么是可持续增长率?可持续增长率的影响因素? [中南财经政法大学2017年研]

答: 可持续增长率是公司在没有外部股权融资且保持负债权益比不变的情况下可能实现的最高增长率。可持续增长率可计算如下:

可持续增长率=(ROE×b)/(1-ROE×b)

从上式可以看出,任何导致ROE上升的因素都会通过使可持续增长率的分子更大和分母更小,从而导致可持续增长率的上升,一家公司的可持续增长能力直接取决于以下四个因素:

(1)销售利润率,销售利润率的增加会提高公司内部生成资金的能力,所以能够提高可持续增长率;

(2)股利政策,净利润中用于支付股利的百分比下降会提高留存比率,增加内部股权资金,从而提高可持续增长率;

(3)融资政策,提高负债权益比即提高公司的财务杠杆,这使得公司获得额外的债务融资,从而提高可持续增长率;

(4)总资产周转率,提高总资产周转率使得公司每单位资产能够带来更多的销售额,在销售额增长的同时降低公司对新增资产的需求,从而提高可持续增长率。

8 影响债券需求的因素。 [西南财经大学2017年研]

答: 根据资产需求理论,影响债券需求的因素主要有以下几个:

(1)财富

①经济周期:在经济周期的扩张阶段,随着财富的增加,债券需求量也会随之提高,需求曲线向右移动;同理,在经济周期的紧缩阶段,随着财富的减少,债券的需求量也会随之下降,需求曲线向左移动。

②公众的储蓄偏好:如果居民的储蓄增加,财富增长就会导致债券需求的增加,债券需求曲线向右移动;同理,储蓄减少,财富下降导致债券需求减少,债券需求曲线向左移动。

(2)预期回报率

①对未来利率的预期:对未来利率较高的预期会导致长期未来债券价格下降,从而会降低长期债券的预期回报率,减少债券需求,引起需求曲线向左移动;反之,需求曲线向右移动。

②预期通货膨胀率:预期通货膨胀率的提高会降低债券的预期收益率,导致债券的需求减少,债券的需求曲线左移;反之,需求曲线向右移动。

③其他替代性资产的预期回报率:如果债券的预期回报率不变,当前债券相对于其他替代性资产(如股票)的预期回报率就会下降,从而减少对债券的需求,推动需求曲线向左移动;反之,需求曲线向右移动。

(3)风险

①自身风险:债券风险水平的提高将会导致债券需求的下降,债券需求曲线左移;反之,债券需求曲线向右移。

②其他替代性资产的风险:其他替代性资产的风险上升,债券需求上升,债券需求曲线向右移动;反之,债券需求曲线向左移动。

(4)流动性

①自身流动性:债券流动性的上升将会导致债券需求的上升,债券需求曲线右移;反之,债券需求曲线向左移。

②其他替代性资产的流动性:其他替代性资产的流动性上升,债券需求下降,债券需求曲线向左移动;反之,债券需求曲线向右移动。

在其他条件不变的情况下,任何导致债券需求增加的因素都会使债券的需求曲线向右移动,均衡利率降低;任何导致债券需求减少的因素都会使债券的需求曲线向左移动,均衡利率增加。

9 利用杜邦恒等式分析如何提高公司的ROE。 [西南财经大学2017年研]

答: 根据杜邦恒等式:ROE=销售利润率×总资产周转率×权益乘数。

ROE受三个方面因素影响:①经营效率(以销售利润率度量);②资产运用效率(以总资产周转率度量);③财务杠杆(以权益乘数度量)。

经营效率、资产运用效率或财务杠杆的提高都会增加资产收益率,并提高公司的ROE。

10 简述并评价销售百分比法财务规划。 [四川大学2014年研]

答: (1)定义

销售百分比法也称为销售比例法,是编制财务计划的一个常用的方法。它假设各项资产和部分负债与销售收入成比例变化;企业资产负债表所给出的各项资产、负债和股东权益比例不变,公司在未来将继续沿用这些比例。该方法建立在资产负债表、利润表与销售收入相关性的基础上,通过资产负债表中各项目占全年销售额的百分比来预测预计销售条件下的资金缺口,并确认在预计销售条件下的资产、负债水平以及成本收益水平。

(2)优点

①用销售百分比法编制财务计划,简单方便,也易于理解。

②根据公司的“负担能力”制订促销费用,促使管理当局考虑促销成本、售价与单位劳动之间的关系,如果各竞争者以近似或相同的比率编列促销预算,那么能促使市场竞争渐趋稳定。

(3)缺点

①规模经济效应。资产的运用存在着规模经济效应。在一定条件下,随着公司规模的扩大、销售收入的增加,单位资产产生的销售收入和利润额也会随之增加,即单位资产的利用效率会提高。这样,某些资产的占用量并不会与销售收入同步增长。这时,就不能简单地使用销售额比例法。在这种情况下,可以根据资产利用效率的提高,调整新的销售收入下各种资产的比率,继续利用销售收入比例法编制财务计划。

②资产的不可分割性。在很多情况下,资产,特别是固定资产,必须按照一个个完整的项目增加,而不能任意分割为零散的单位。在这种情况下,也需要对销售比例法作适当的调整。

③成比例变化的假设严苛。传统销售百分比法对销售收入的预测和相关财务指标的选取过于简单,未考虑资金时间价值及数据之间的相关性。

11 金融创新的主要内容有哪些? [首都经济贸易大学2016年研]

答: 金融创新是西方金融业中迅速发展的一种趋向,其内容是突破金融业多年传统的经营局面,主要包括:金融工具创新、金融制度创新、金融技术创新、金融机构创新以及金融市场创新。

(1)金融工具创新

金融工具创新指金融业能为各种信用形式的演变和扩展而适时地创造新的多样化的金融产品,如支付方式、期限性、安全性、流动性、利率、收益等方面具有新特征的有价证券、汇票、金融期货等交易对象。金融工具的创新是金融创新最主要的内容,它是所有其他金融创新的基础。如金融工具创新导致在传统金融产品和一般商品期货的基础上产生了金融期货,主要有利率期货、货币期货和股票指数期货等。

(2)金融制度创新

金融制度创新是指在金融组织或金融机构方面所进行的制度性变革。它既指各国金融当局调整金融政策、放松金融管制所导致的金融创新活动,如建立新的组织机构、实行新的管理方法来维护金融体系的稳定,也包括金融组织在金融机构制度方面所做的改革。

(3)金融技术创新

金融技术创新是指伴随着科学技术和管理技术的发展,为了降低金融交易成本、提高金融交易效率而在金融交易手段、交易方法和物质条件方面发生的变化与革新。金融技术创新既是金融效率提高的物质保证,同时还是金融创新的内在动力之一。正是由于科学技术特别是电子计算机技术在金融交易中的广泛应用,才使得金融制度与金融交易工具发生了深刻的变化。

(4)金融机构创新

金融机构创新是指建立新型的金融机构,或者在原有金融机构的基础上加以重组或改造。金融机构创新的原因多种多样,例如,电子技术的发展导致了纯粹网络银行的诞生,套利和投机动机导致对冲基金出现,“新经济”的热潮引发风险投资基金的大发展,放松金融管制与金融国际化产生了一大批新式的金融机构等等。

(5)金融市场创新

金融市场创新指金融业通过金融工具创新而积极扩展金融业务范围,创造新的金融市场。例如,欧洲票据市场是在原有的欧洲银团贷款市场和欧洲债券市场的基础上形成的,把信贷和债券流动结合起来,具有短期银行信贷和流动性有价证券的双重属性。

金融创新趋势从20世纪60年代后期即已开始,70年代各种创新活动日益活跃,到80年代已形成全球趋势和浪潮。金融创新浪潮的兴起及迅猛发展,给整个金融体制、金融宏观调节乃至整个经济都带来了深远的影响。

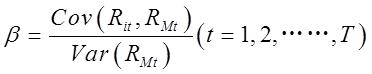
12 简述公司贝塔值估算中存在的问题及其相关解决办法。 [武汉大学2014年研]

答: 贝塔是资产收益率与市场组合收益率的标准协方差,估算公司贝塔值的基本方法是利用T个观测值按照如下公式估计:

其中,R it 是公司时间t的收益率,R Mt 是时间t的市场收益率。

(1)估算贝塔值可能存在的问题

①贝塔可能随时间的推移而发生变化

随着时间的推移,企业所从事的行业可能改变,产品系列的变化、技术的变迁或者市场的变化都有可能影响贝塔系数,若数据时间跨度太大,公司的贝塔值可能随时间的推移而发生变化。

②样本容量可能太小

样本容量是影响回归估计的精确度的一个重要的指标。大样本的情况下,数据呈现良好的分布特征,近似正态分布,此时的估计量有更好的统计功能。在估算公司贝塔值时,所用的观测值过少并不能呈现良好的分布特征,会影响贝塔系数的准确性。

③贝塔受财务杠杆和经营风险变化的影响

公司常常要面临固定成本与变动成本之间的权衡。固定成本高而变动成本低的公司通常被称为拥有较高的经营杠杆。相反,固定成本低而变动成本高的公司的经营杠杆较低。经营杠杆放大了公司销售收入的周期性对贝塔值的影响。如果公司在其生产过程中用固定成本替代变动成本,那么在销售周期性既定的情况下,公司的贝塔值将会上升。财务杠杆则反映了企业对债务融资的依赖程度,杠杆企业是指资本结构中有负债的企业,杠杆企业无论其销售情况如何都要支付利息,所以财务杠杆与企业固定的财务费用有关。正如经营杠杆的上升会导致贝塔值的上升一样,财务杠杆的上升(比如负债的增加)也会使贝塔值上升。

(2)对公司贝塔值估算中存在的问题的相关解决办法

①第一个和第二个问题可通过采用更加复杂的统计技术加以解决。增大样本容量,获取更丰富的数据,会使数据呈现更好的统计特性;同时改进方法,考虑时间、空间多个维度,有助于第一个问题的解决。

②根据财务风险和经营风险的变化对贝塔作相应的调整,有助于解决第三个问题。

③注意同行业类似企业的平均β估计值。

根据企业自身历史数据来估算企业贝塔系数是一种常用方法,也有人认为运用整个行业的贝塔系数可以更好地估算企业的贝塔系数。有时两者计算的结果差异很大。总的来说,可以遵循下列原则:如果认为企业的经营与所在行业其他企业的经营十分类似,用行业贝塔降低估计误差。如果认为企业的经营与行业内其他企业的经营有着根本性差别,则应选择企业的贝塔。

13 简述公司财务比率分析的主要内容。 [江西财经大学2012年研]

答: 财务比率可以评价某项投资在各年之间收益的变化,也可以在某一时点比较某一行业的不同企业。财务比率分析可以用来比较不同企业的收益与风险,从而帮助投资者和债权人做出理智的决策。一般来说,财务比率分析的内容包括:偿债能力,反映企业偿还到期债务的能力;营运能力,反映企业利用资金的效率;盈利能力,反映企业获取利润的能力;成长能力,反映企业未来成长性;市场号召力,反映企业市场价值。

(1)偿债能力一般又分为短期偿债能力和长期偿债能力。

①短期偿债能力的财务比率包括流动比率、速动比率和现金比率。

a.流动比率。流动比率=流动资产/流动负债。正常情况下,流动比率至少应达到1,流动比率低于1意味着净营运资本(流动资产减去流动负债)为负。然而,对于一家储备了大量未动用借款能力的公司而言,看似较低的流动比率可能并非不良信号。

b.速动(酸性试验)比率。速动比率=速动资产/流动负债=(流动资产-存货)/流动负债。作为进一步分析流动性的指标,速动(酸性试验)比率的计算与流动比率类似,只是不将存货计算在内。用现金购买存货不会影响流动比率,但会降低速动比率。

c.现金比率。现金比率=现金/流动负债。最短期的债权人或许会关心现金比率。

②长期偿债能力是指企业偿还长期利息与本金的能力。一般来说,企业借长期负债主要是用于长期投资,因而最好使用投资产生的收益偿还利息与本金。通常以负债比率和利息收入倍数两项指标衡量企业的长期偿债能力。

a.总负债比率。总负债比率=(总资产-总权益)/总资产。企业的总负债比率越高,利用的财务杠杆越大,财务风险就越大。

b.利息倍数。利息倍数=EBIT/利息。利息倍数是刻画利息保障程度的重要比率,该比例越高,对长期债权人而言,就越安全。

(2)营运能力是以企业各项资产的周转速度来衡量企业资产利用的效率。周转速度越快,表明企业的各项资产进入生产、销售等经营环节的速度越快,那么其形成收入和利润的周期就越短,经营效率自然就越高。反映企业营运能力的指标包括存货周转率和应收账款周转率等。

①存货周转率与存货周转天数。存货周转率=产品销售成本/存货;存货周转天数=365天/存货周转率。存货度量指标说明公司产品的销售速度有多快。

②应收账款周转率和应收账款周转天数。应收账款周转率=销售额/应收账款;应收账款周转天数=365天/应收账款周转率。应收账款度量指标说明销售货款的回收速度有多快。

(3)盈利能力是各方面关心的核心,也是企业成败的关键,只有长期盈利,企业才能真正做到持续经营。因此无论是投资者还是债权人,都对反映企业盈利能力的比率非常重视。反映企业盈利能力的比率包括净资产收益率、资产利润率、销售利润率、主营业务利润率等。

①销售利润率。销售利润率=净利润/销售额。

②资产收益率。资产收益率=净利润/总资产。资产收益率(ROA)衡量的是每1美元资产所带来的利润。

③权益收益率。权益收益率=净利润/总权益。权益收益率(ROE)度量的是一年来股东的收益。由于提高股东利益是我们的目标,所以,在会计意义上,ROE是最终的业绩衡量指标。

(4)成长能力比率。成长能力比率包括销售增长率、留存收益/总资产、资产增长率、股东权益增长率、主营业务增长率等指标。

(5)市场价值的度量指标。通常,在一个运转良好的股票市场上,可以用一定的比率来描述公司的市场号召力。

①市盈率。市盈率=每股价格/每股收益。较高的市盈率通常意味着公司未来的成长前景不错。

②市值面值比。市值面值比=每股市场价值/每股账面价值。每股账面价值是指会计上的历史成本,因而市值面值比大致上是将公司投资的市场价值与其成本进行比较,这个指标小于1说明总体上公司未能成功地为股东创造价值。

③股票市值。股票市值=每股价格×发行在外的股票数量。上市公司的股票市值等于公司每股股票市场价格乘以发行在外的股票数量。

14 股权资本成本的主要测算方法 [中国海洋大学2012年研]

答: 股权资本成本的测算方法一般有4种:贴现现金流模型、资本资产定价模型、套利定价模型和风险溢价法。其中贴现现金流模型、套利定价模型和风险溢价法等在国内都不大适用。而CAPM模型简单易懂、理念清楚、操作方便,而且相对来讲数据的可获得性比较高,在整个估算过程中主观因素的影响较小,其测算结果的可比性相对较强。也是基于现有条件下较为方便、较为现实可行的选择,同时也是国际通用,使用理念清楚、被广泛认同的方法,因此使用CAPM模型来估计权益成本,并用D-CAPM进行比较。

股权资本成本测算的三要素:无风险利率、贝塔系数和股权风险溢价。选择流动性好的长期国债的到期收益率作为无风险利率。采用3年期的日收益率测算贝塔。股权风险溢价有历史收益率法和基于成熟国家风险溢价调整两种办法测算,但是基于历史收益率的测算方法受周期选择、交易成本等因素的影响。历史收益率测算出的股权风险溢价波动性较大,测算结果不稳定,因此一般运用国际上较为成熟的基于国家风险溢价调整的方法确定股权风险溢价。

15 什么是股票回购?公司实施股票回购的原因有哪些? [武汉大学2012年研]

答: (1)股票回购

股票回购是股份公司出资购回本公司发行在外的股票,将其作为库藏股或进行注销的行为。20世纪70年代,美国政府对公司分配现金红利施加了限制,导致一些公司采用股票回购方式向股东分配利润。股票回购成为公司一种特殊的利润分配形式。股票回购通常采用以下三种方法之一进行:①公司就像普通投资者一样按照公司股票当前市场价格购买自己的股票。在这种公开市场回购中,公司无须披露其购买身份,因此股票卖方根本无法判断其股票是回售给公司还是其他的投资者。②要约回购。在这种情况下,公司向所有股东宣布将以某一价格回购一定数量的股票。③目标回购。在这种情况下,公司向特定股东回购一定数量的股票。这种回购的优点是,向个别大股东回购股票的价格通常低于要约回购价格,法律费用也较低。另外,回购大股东的股票还可以避免对管理层不利的收购兼并。

(2)股票回购的原因

①弹性。公司通常将股利视为对股东的承诺,轻易不愿意减少现有股利,而股票回购则不会看作类似的承诺。因此,当公司的现金流量长期稳定增长时,公司可能会提高其股利。相反,当公司现金流量的增长只是暂时的,公司通常会回购其股票。

②管理层激励。作为整体报酬的一部分,管理层经常被授予一定的股票期权。与发放股利相比,股票回购后的股票价格通常较高,因此回购股票时期权的价值更高。

③对冲稀释。股票期权行权后将增加流通在外的股票数量,从而会稀释股票。为此,公司常常回购其股票以对冲稀释。

④价值低估。由于外部投资者与公司管理层之间存在信息不对称,二者对股票价值的认识可能会存在较大差异,当资本市场低迷时,公司的股价就有可能被低估。如果管理层认为本公司股票被严重低估,公司就可以通过股票回购行为来传递这种信号,从而促使公司股价上涨。实际上,公司的股票回购公告发布之后,通常会令股票价格上涨。

⑤税收。由于资本利得与现金股利存在税率差异,现金股利的税率通常高于资本利得的税率,公司为了减少股东缴纳的个人所得税,可以用股票回购的方式代替发放现金股利,从而为股东带来税收利益。回购股票的税收要比股利有利。

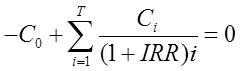
16 请简要解释什么是一个项目投资的IRR(内含报酬率)?IRR法则是什么,即如何根据计算出来的IRR来判断是否应该接受某个项目或者投资? [深圳大学2012年研]

答: (1)IRR(内含报酬率)是衡量一个投资项目的标准,是指一个投资项目的收益现值与其初始投资额相等时的收益率,即净现值为零时的贴现率。IRR(内含报酬率)的计算公式如下:

式中:IRR为内含报酬率;C 0 表示初始投资额;C i 表示i年现金流量;T表示投资项目的寿命周期。上式的含义是,如果投资者出资C 0 投资这一项目并持有到期,他所得到的到期收益率就是内部报酬率IRR,因此IRR(内含报酬率)代表投资者投资某项目所得到的实际收益率。

(2)内部收益法的基本法则是:若内部收益率大于贴现率,项目可以接受;若内部收益率小于贴现率,项目不能接受。贴现率小于内部收益率时,净现值为正;贴现率大于内部收益率时,净现值为负。这样,在贴现率小于内部收益率时接受某一项目,也就意味着接受了一个净现值为正值的项目。在这一点上,内部收益率法与净现值法是一致的。但是,在评价独立项目时:IRR会因为融资项目和投资项目产生不一样的决策规则。在评价互斥项目时:IRR会因为规模问题和时间序列问题而产生错误的投资决策。而NPV在独立项目和互斥项目上的决策规则是一致的。

17 证券市场的功能。 [上海交大2006年研;人大2004年研]

答: 证券市场是市场经济中一种高级的市场组织形态,是市场经济条件下资源合理配置的重要机制。证券市场的功能主要体现在以下几个方面:

(1)证券市场是筹集资金的重要渠道。在证券市场上进行证券投资,一般都能获得高于储蓄存款利息的收益,且具有投资性质,所以,能吸引众多的投资者。对于证券发行者来说,通过证券市场可以筹集到一笔可观的资金,用这些资金或补充自有资金的不足,或开发新产品、上新项目,有利于迅速增强公司实力,要在较短时间内迅速筹集到巨额资金,只有通过证券市场这个渠道才能实现。

(2)证券市场是一国中央银行宏观调控的场所。从宏观经济角度看,证券市场不仅可以有效地筹集资金,而且还有资金“蓄水池”的作用和功能,各国中央银行正是通过证券市场这种“蓄水池”的功能来实现其对货币流通量的宏观调节,以实现货币政策目标。

当社会投资规模过大、经济过热、货币供给量大大超过市场客观需要量时,中央银行可以通过在证券市场上卖出有价证券(主要是政府债券),以回笼货币,紧缩投资,平衡市场货币流通量,稳定币值;而当经济衰退、投资不足、市场流通因货币供给不足而呈现出萎缩状态时,中央银行则通过在证券市场上买进有价证券(主要是政府债券),以增加货币投放,扩大投资,刺激经济增长。

(3)证券市场是资源合理配置的有效场所。证券市场的产生与发展适应了社会化商品经济发展的需要,同时也促进了社会化大生产的发展,它的出现在很大程度上削弱了生产要素部门间转移的障碍。因为在证券市场中,企业产权已商品化、货币化、证券化,资产采取了有价证券的形式,可以在证券市场上自由买卖,这就打破了实物资产的凝固和封闭状态,使资产具有最大的流动性。另外,在证券市场上,通过发行债券和股票广泛吸收社会资金,其资金来源不受个别资本数额的限制,这就打破个别资本有限从而难以进入一些产业部门的障碍,有条件也有可能筹措到进入某一产业部门低限度的资金数额。

(4)证券市场有利于证券价格的统一和定价的合理。证券交易价格是在证券市场上通过证券需求者和证券供给者的竞争所反映的证券供求状况所最终确定的。证券商的买卖活动不仅由其本身沟通使买卖双方成交,而且通过证券商的互相联系,构成一个紧密相连的活动网,使整个证券市场不但成交迅速,而且价格统一,使资金需求者所需要的资金与资金供给者提供的资金迅速找到出路。证券市场中买卖双方的竞争,易于获得均衡价格,这比场外个别私下成交公平得多。证券的价格统一、定价合理,是保障买卖双方合法权益的重要条件。

18 什么是资本资产定价模型? [广西大学2025年研]

答: 资产定价问题是近几十年来西方金融理论中发展最快的一个领域。1952年,马克威茨发展了资产组合理论,导致了现代资产定价理论的形成。它把投资者投资选择的问题系统阐述为不确定性条件下投资者效用最大化的问题。威廉·夏普将这一模型进行了简化并提出了资产定价的均衡模型——CAPM。作为第一个不确定性条件下的资产定价的均衡模型,CAPM具有重大的历史意义,它导致了西方金融理论的一场革命。

(1)资本资产定价模型的基本内容。资本资产定价模型最主要是用于解决股票的定价问题。由于股票等资本资产未来收益的不确定性,CAPM的实质是讨论资本风险与收益的关系。CAPM模型十分简明的表达了这一关系,即:高风险伴随着高收益。在一些假设条件的基础上,可导出如下模型:

E(R j )-R f =[E(R m )-R f j

其中: E(R j )为股票的期望收益率;R f 为无风险收益率,投资者能以这个利率进行无风险的借贷;E(R m )为市场组合的期望收益率。 ,是股票j的收益率对市场组合收益率的回归方程的斜率,常被称为“β系数”。其中 代表市场组合收益率的方差,σ jm 代表股票j的收益率与市场组合收益率的协方差。

(2)资本资产定价模型的解释。从上式可以看出,一种股票的收益与其β系数是成正比例关系的。β系数是某种证券的收益的协方差与市场组合收益的方差的比率,可看作股票收益变动对市场组合收益变动的敏感度。通过对β进行分析,可以得出结论:在风险资产的定价中,那些只影响该股票的方差而不影响该股票与股票市场组合的协方差的因素在定价中不起作用,对定价唯一起作用的是该股票的β系数。由于收益的方差是风险大小的量度,可以说:与市场风险不相关的单个风险,在股票的定价中不起作用,起作用的是有规律的市场风险,这是CAPM的中心思想。

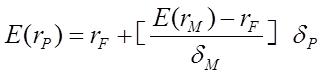
19 解释资本市场线的意义。 [武汉理工大学2004年研]

答: (1)资本市场线是指投资者可以从资本市场上所获得的所有有效证券组合的点集合。其方程为:

其中,E(r P )和δ P 分别表示有效组合P的期望收益率和标准差;E(r M )和δ M 分别表示市场组合M的期望收益率和标准差;r F 表示无风险证券收益率。

投资者将在由无风险资产与风险资产共同构成的有效边界上选择符合自身风险偏好的资产组合。由于这一有效边界是一条直线,故所有投资者将选择同样的风险与收益替代关系。

(2)资本市场线的意义在于它说明了投资者对风险资产组合构成的投资选择与其风险偏好是不相关的。投资者的投资选择分为两步:①选择市场组合,这时不考虑自身的风险偏好。②据自身的风险偏好在自己的投资组合中选择市场资产组合与无风险资产的比例。投资者个人对风险的态度仅仅影响借入或贷出的资金量,而不影响最佳风险资产组合。其原因是当存在无风险资产并可按无风险利率自由借贷时,市场组合优于所有其他组合。对于不同风险偏好的投资者来说,只要能以无风险利率自由借贷,他们都会选择市场组合。这就是所谓的分离定理。分离定理在理财方面非常重要,它表明企业管理层在决策时不必考虑每位股东对风险的态度。证券的价格信息完全可用于确定投资者所要求的报酬率,该报酬率可指导管理层进行有关决策。

20 请简要分析回购协议的交易原理及特点。 [对外经贸大学2004年研]

答: (1)回购协议的交易原理。回购协议实际上是一种以证券为担保品的短期资金融通。其具体操作是,在货币市场上买卖证券的同时签订一个协议,由卖方承诺在日后将证券如数买回,买方保证在日后将买入的证券回售给卖方。这一交易将一种现货买卖和远期交易相结合,达到融通资金的目的。

回购协议是对商业银行活期存款不付利息的一种变通性对策。当企业出现暂时闲置资金时,存在银行是没有利息的。为了把这笔资金吸引到银行,银行可以与企业签订协议,向企业出售证券,并同意在次日或在企业运用这笔资金时,按原价买回证券,另按约定利率支付利息。这样,企业可以获得报酬,等于银行变相对活期存款支付利息。回购协议虽然表现为买卖证券的形式,但买卖价格却与真正买卖证券的价格脱离,一般低于市价。实际上是银行的一种融资方式。

(2)回购协议的特点。回购协议有以下几个特点:

①回购协议的对象一般都是国债,因此这种担保品一般无论是流动性还是收益都是很有保证的,如果到期银行或券商不能赎回这些债券,投资方可以将这些债券进行转让,所以这种融资方式的风险性是很低的。

②借贷时间短,回购协议的交易时间一般只有几天或者几个月,借贷时间很短。

③回购协议的出售方多是银行和证券商,用于获得短期融资,而购买方是一些大企业,利用闲置资金获得收益,应该说这是银行的一项重要负债业务。

④回购协议的单笔交易数额巨大,利率相对其他融资方式较高,是属于一个批发金融市场。所以利率的微小变化,其放大效应将会非常的明显。

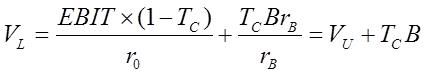
21 简述MM资本结构理论的基本内容。 [对外经贸大学2012年研;人行2006年研;人大2005年研]

答: MM资本结构理论是由美国经济学家莫迪利亚尼和米勒提出的,旨在说明公司的资本结构与公司的价值之间的关系。主要分为无税和有税的情况。

(1)无税条件下

无税情况下MM定理命题一:在无税的情况下,公司的价值与公司的资本结构无关。即杠杆公司价值等于无杠杆公司的价值,用公式表达便是V U =V L

无税情况下MM定理命题二:权益资本成本随财务杠杆的增加而增加。鉴于杠杆权益有较大的风险,作为补偿,它应具有较高的期望收益率。用公式表达便是

(2)有税情况下

有税情况下MM定理命题一:在有税的情况下,杠杆公司的价值等于无杠杆公司价值加上债务避税的价值,即

有税情况下MM定理命题二:权益资本成本随财务杠杆增加而增加,但比无税情况下增加速度慢,即如前面所述,假定权益的期望收益率与财务杠杆之间存在正相关关系。该结论产生的原因在于权益的风险随财务杠杆增大而增大。在存在公司税的世界中,结论同样成立。在有公司税的世界中,准确的公式为

(3)在有税和破产成本的情况下,公司价值开始会随着财务杠杆增加;直到某一个点时,公司价值达到最大,即公司价值有一个最佳财务杠杆。

22 什么是契约型基金?什么又是开放型基金? [浙江大学2001年研]

答: (1)证券投资基金根据其组织形式不同,可分为契约型投资基金和公司型投资基金。契约型投资基金也称信托型投资基金,是根据一定的信托契约原理,由基金发起人和基金管理人、基金托管人订立基金契约而组建的投资基金。基金管理公司依据法律、法规和基金契约负责基金的经营和管理操作;基金托管人负责保管基金资产,执行管理人的有关指令,办理基金名下的资金往来;投资者通过购买基金单位,享有基金投资收益。契约型基金依据其具体经营方式又可划分为单位型和基金型两种类型。

契约型投资基金的主要特点是:①法律依据是信托法;②没有独立的法人资格;③投资者不作为股东,只依照信托契约分享收益、进行监督;④融资渠道只有发行受益凭证;⑤经营财产的依据是信托契约。

(2)根据基金是否可以赎回,证券投资基金可分为开放式基金和封闭式基金。开放式基金,指基金规模不是固定不变的,而是随时根据市场供求情况发行新份额或被投资人赎回的投资基金。

开放式基金的主要特点是:①开放式基金所发行的基金单位是可赎回的,而且投资者在基金的存续期间内也可随意申购基金单位,基金规模可变。②投资者投资于开放式基金时,他们则可随时向基金管理公司或销售机构申购或赎回。③开放式基金的买卖价格是以基金单位的资产净值为基础计算的,可直接反映基金单位资产净值的高低。④开放式基金必须保留一部分现金,以便投资者随时赎回,而不能尽数的用于长期投资,一般投资于变现能力强的资产。

23 简述证券市场国际化的主要表现形式。 [东北财大2002年研]

答: 证券市场国际化是指以证券形式为媒介的资本在运行过程中实现的证券发行、证券投资以及证券流通的国际化。从一国的角度来看,证券市场国际化主要有以下三个方面的表现形式:

(1)证券筹资国际化,指外国政府、企业、金融机构以及国际性金融机构在本国的证券发行和本国的政府、企业、金融机构在外国及国际证券市场上的证券发行。

(2)证券投资国际化,指外国投资者对本国的证券投资和本国投资者对外国的证券投资。

(3)证券业务国际化,指一国法律对外国证券业经营者(包括证券的发行者、投资者和中介机构)进出本国自由的规定和本国证券业经营者向国外的发展。

24 请解释什么是证券组合的系统性风险和非系统性风险,并图示证券组合包含证券的数量与证券组合系统性风险和非系统性风险间的关系。 [对外经贸大学2004年研]

答: (1)系统风险与非系统风险的定义。证券组合的系统性风险又称为不可分散风险、不可避免风险,指由于某种因素对市场上所有证券的收益产生影响,因而使得投资者面临盈利或亏损的可能性,如经济的、政治的或整个社会环境的变化所产生的风险都属于此类风险。这种风险不能通过分散投资来避免,因为市场上所有证券都受系统风险的影响,但是,系统风险对各种证券的影响程度又是不一样的,其影响程度可通过β系数来反映。

非系统风险又称可分散风险,指某些因素只对单个证券或单个行业产生影响,因而使得投资者面临盈利或损失的可能性,如财务风险、违约风险等均属非系统风险;非系统风险可通过分散投资的方式来规避。

(2)投资组合风险图示。证券组合中包含证券的数量与证券组合系统风险和非系统风险之间的关系可以通过上图表示出来。

证券组合非系统性风险与证券组合包含证券的数量存在反向关系,系统性风险和证券组合包含证券的数量无关。

25 什么是纳斯达克(NASDAQ)市场? [人行2001年研]

答: 纳斯达克证券市场有限公司隶属于全国证券交易委员会。该协会是一个自律性的管理机构,在美国证券交易委员会注册。几乎所有的美国证券经纪/交易商都是它的会员。

纳斯达克证券市场创立于1971年,由全国证券交易商协会自动报价系统运作。这是一套电子系统,专门收集和发布在场外交易非上市股票的证券商报价。经过十年持续不断的发展,纳斯达克证券市场建立了上市标准更高的纳斯达克全国市场,并且首先采用同步报道交易情况的经营方式。

纳斯达克证券市场在上市方面实行双轨制:分为纳斯达克全国市场和纳斯达克小型资本市场。通常,较具规模的公司证券在纳斯达克全国市场进行交易;而规模较小的新兴公司证券则在小型资本市场进行交易,因为该市场实施的上市规定没有那么严格。但证券交易委员会对两个市场的监管范围并没有区别。

纳斯达克证券市场是一个电子化市场;因此它没有也不需要设置证券交易大厅。然而,这个市场在世界各地一共装置了40多万台计算机销售终端(如Reuters和Bloomberg等),向世界各个角落的交易商、基金经理和经纪人传送5000多种证券的全面报价和最新交易信息。但是,这些销售机并不能直接用于进行证券交易,既不能在纳斯达克市场为股票造市,也不能受理指令。如果美国以外的证券经纪人/交易商进行交易,一般要通过计算机销售终端取得纳斯达克证券市场的信息,然后用电话通知在美国的全国证券交易商协会会员公司进行有关交易。

纳斯达克成功的背后,主要有如下几个方面的原因:独特的市场结构;宽松的上市标准;先进的电子交易系统和严格的风险控制系统;市场国际化进程和不懈地创新。

26 简述有效市场理论对企业融资的决策意义。 [人大2002年研]

答: (1)资本市场是指证券买卖的市场,有效市场理论是指在证券市场上,一切消息都是公开的,每个投资者都能无条件的获得这些消息,并且市场消息一旦公开,就会立即反映在市场价格上,即具有公开性和适时性原则。一般来说,公开性原则在证券市场上基本能满足,但是适时性原则一般会差一点。

(2)有效市场理论要求理财和融资时重视市场对于企业的估价。资本市场是企业的一面镜子,又是企业行为的校正器。股价可以综合反映企业的业绩,弄虚作假、人为的改变会计方法对于提高企业的价值没有丝毫的用处。市场对于公司的评价降低的时候,应该分析公司的行为是否出了问题并且加以改进,而不应该设法欺骗市场。

(3)有效市场理论要求在理财和融资的时候慎用金融工具,如果市场是有效的,购买或者出售金融工具交易的净现值就为零。公司作为资本市场上融资的一方,不要妄图通过融资取得正的净现值、而应当依靠生产经营提高股东财富。公司的生产经营性带来的竞争,是在少数公司之间展开的,竞争不充分。一个公司因为拥有专利权、较好的专利技术、较好的商誉和较大的市场份额等相对优势,可以在某些直接投资中取得正的净现值。

(4)资本市场和商品市场不同,其竞争程度高、交易规模大、交易费用低、资产具有同质性,使其有效性比商品市场高得多,所有要融资的公司都在寻找资本成本低的资金来源。机会均等的竞争,使财务交易基本上是公平的,在资本市场上,仅仅能获得和投资风险相当的报酬,也就是与资本成本相同的报酬,不会增加股东财富。

(5)综上所述,有效市场理论对于企业融资的决策意义在于:企业在融资的时候应该慎用金融工具,在资本市场上获得超额的报酬。

27 证券的市场价值与内在价值。 [东北财大2003年研]

答: (1)证券的市场价值指把证券视为一种商品在市场中公开竞争,在供求关系平衡状况下确定的价值。

(2)证券的内在价值即理论价值,指证券未来收益的现值。

股票的内在价值取决于股息收入和市场收益率。股票的内在价值决定股票的市场价格,而市场价格又不完全等于其内在价值,股票的市场价格受供求关系以及其他许多因素的影响。但股票的市场价格总是围绕着股票的内在价值波动。

基金内在价值又称基金资产净值,英文缩写为NAV,指某一时点上某一投资基金每份基金单位实际代表的价值。基金单位资产净值高,基金价格相应就会较高,反之基金价格就会较低。基金单位资产净值主要受三个因素影响:①基金管理人的管理水平。如果基金管理人专业水平较高,实践经验丰富,能把握市场的变化,决策正确,操作适当,其所管理的基金业绩就会较好,基金的单位资产净值也会较高。②证券市场的走势及活跃程度。证券市场活跃,市场呈牛市特征,股票价格不断上升,基金的投资收益也会不断提高,从而提高基金的单位资产净值。③基金的所得税政策。在国外,基金的收益一般不需交纳所得税,但如果政府决定对基金的收益征收所得税,将会减少基金的单位资产净值。

28 比较投资于债券与股票的风险性。 [东北财大2003年研]

答: (1)股票是一种有价证券,是股份有限公司发行的、用以证明投资者的股东身份和权益、并据以获取股息和红利的凭证。债券是债权的证明书,是发行人依照法定程序发行,并约定在一定期限还本付息的有价证券。

(2)投资股票与债券的风险。股票风险较大,债券风险相对较小。这是因为:第一,债券利息是公司的固定支出,属于费用范围;股票的股息红利是公司利润的一部分,公司有盈利才能支付,且在支付时,排在债券利息支付之后。第二,倘若公司破产,清理资产后有余额偿还时,债券偿付在前,股票偿付在后。第三,在二级市场上,债券因其利率固定、期限固定,市场价格也较稳定;而股票无固定的期限和利率,受各种宏观因素和微观因素的影响,市场价格波动频繁,涨跌幅度较大。

29 同业拆借市场主要有哪些交易? [金融联考2002年研]

答: (1)同业拆借市场指银行之间、其他金融机构之间以及银行与其他金融机构之间进行短期、临时性资金拆出拆入的市场。这是一个无形市场,主要通过现代通信手段进行交易,由于拆借期限较短,一般最长不超过一年,借款方也无须提供担保抵押。各金融机构为了弥补头寸暂时不足和灵活调度资金,将经营过程中暂时闲置的资金和已存入央行且大于法定准备金的部分,相互间进行拆借。同业拆借市场的拆借利率一般由融资双方根据资金供求关系及其他影响因素自主议定或者通过市场公开竞标确定,市场性较强,最易实现利率市场化。

(2)同业拆借市场所容纳的交易内容主要分为两种:

①头寸拆借。所谓头寸拆借,是指金融机构为了轧平头寸、补足存款准备金和票据清算资金而在拆借市场上融通短期资金的活动。当头寸拆借用于补足存款准备金时,一般为日拆,即“同行业拆款”,今日拆入,明日归还,拆借期限为一天。

和以补充存款准备金为目的的头寸拆借相比,以调整清算头寸为目的的头寸拆借则更具普遍性和经常性。银行在轧平当日票据交换差额时,对于少头寸的银行来说,可以及时通过拆借来补足头寸,保证清算顺利进行。这种拆借方式较之向中央银行再贴现或再贷款取得资金,要便利、快捷得多。

②同业借贷。头寸拆借以调整头寸为目的,而同业拆借则以调剂临时性、季节性的资金融通为目的。对于拆入方的金融机构来说,同业借贷可以使其及时获得足额的短期资金,拓展资产业务。对于拆出方的金融机构来说,同业借贷为其短期闲置资金的运用找到了出路,可以增加经营收益。由于这两种拆借方式融通的资金在用途上存在差别,所以,同业借贷较之头寸拆借的期限要长,从数天到一年不等。

同业拆借市场的这两种交易方式是金融机构进行头寸调节和短期资金融通的重要手段,同时也是中央银行进行银行监管和贯彻政策意图的重要途径。

30 技术分析的三大假设。 [人大2004年研]

答: 技术分析是预测价格未来走向的研究行为,依赖的是过去和现在的市场行为。技术分析有它赖以生存的理论基础,主要是三大假设:

假设1:市场行为包括一切信息;

假设2:价格沿趋势波动,并保持趋势;

假设3:历史会重复。

假设1是进行技术分析的基础,它认为影响股票价格的全部因素(包括内在的和外在的)都反映在市场行为中,没有必要对影响股票价格因素的具体内容过分地关心。如果不承认假设1,技术分析所做出的结论应该是无效的,技术分析是以市场行为预测未来,如果市场行为没有包括影响股票价格的全部因素,也就是说,对影响股票价格的因素考虑的只是局部而不是全部,这样的结论当然没有说服力。

假设2认为,股票价格的变动是按照一定规律进行的,股票价格有保持原来方向的惯性。这是进行技术分析最根本、最核心的。正是由于这一条,技术分析的拥护者们才花费大量的精力,试图找到股票价格变动的规律。

假设3是从人们的心理因素方面考虑的。市场中进行具体买卖的是人,由人决定最终的操作行为。人不是机器,肯定要受到心理学中某些理论的制约。一个人在某一场合得到某种结果,那么,下一次碰到相同或相似的场合,这个人就会认为会得到相似的结果。股票市场也一样,在某种情况下,按一种方法进行操作取得了成功,以后遇到相同或相似的情况,就会用同一方法进行操作。如果前一次失败了,那么,后一次就不会用同一方法进行操作。这种想法是通过前后比较得出的。

在三大假设之下,技术分析有了自己的理论基础,假设1肯定了研究市场行为已经全面考虑了股票市场,假设2和假设3使得投资者能够找到规律并在实践中加以应用。

31 证券组合管理的基本步骤有哪些? [人大2001年研]

答: (1)证券组合是指个人或机构投资者所拥有的各种有价证券的总称,通常包括各种类型的债券、股票及存款单等。证券组合管理的目标是实现投资效用最大化,即使组合的风险和收益特征能够给投资者带来最大的满足。具体而言,就是在实现投资者对一定收益水平追求的同时,使投资者面临的风险降到最低,或在投资者可接受的风险水平之内,使其获得最大的收益。

(2)证券组合管理的基本步骤有:

①确定投资政策。证券投资政策是投资者为实现投资目标应遵循的基本方针和基本准则,包括确定投资目标、投资规模和投资对象三方面的内容以及应采取的投资策略和措施等。

②进行证券投资分析。证券组合分析是证券组合管理的第二步,它是指对证券组合管理第一步所确定的金融资产类型中个别证券或证券组合的具体特征进行考察分析。

③组建证券投资组合。组建证券投资组合主要是确定具体的证券投资品种和在各证券上的投资比例。在构建证券投资组合时,投资者需要注意个别证券投资时机选择和多元化问题。

④证券组合的修正。作为证券组合管理的第四步,实际上是指定期重温前三步的过程。随着时间的推移,过去构建的证券组合对投资者来说,可能已经不再是最优组合了,这可能是因为投资者改变了对风险和回报的态度,或者是其预测发生了变化,作为这种变化的一种反映,投资者可能会对现有的组合进行必要的调整,以确定一个新的最佳组合。

⑤对证券投资组合进行业绩评估。证券组合管理的第五步是通过定期对投资组合进行业绩评估来评价投资的表现。业绩评估不仅是证券组合管理过程的最后一个阶段,同时也可以将其看成是一个连续操作过程的组成部分。

32 简述影响债券投资价值的因素。 [北航2004年研]

答: 在确定证券的投资价值时,一般只需要考虑风险和收益,影响债券投资价值的因素有两个方面:风险和收益,但影响债券的风险和收益的因素很多,具体来说包括以下几个方面:

(1)利率水平。利率水平直接影响到债券的收益,这里的利率水平不仅包括债券本身的利率水平,也包括市场利率水平和其他金融资产的利率水平。债券自身的利率水平越高,一般其收益率就越高,债券的投资价值就越大。同时购买债券具有机会成本,机会成本的大小等于其他金融资产的利率,所以在其他条件不变的情况下,其他金融资产的利率水平越高,债券的投资价值就越小。

(2)价格水平。影响债券收益的另一个因素是发行价格。对于零息债券来说,债券的收益率只决定于价格差异,在其他条件不变的情况下,发行价格越低,收益率越高,债券的投资价值就越大。

(3)债券期限。债券期限影响债券偿还风险,一般期限较长的债券风险较大,从而影响债券的投资价值,投资者对于期限长的债券要求风险溢价。

(4)公司因素。公司因素包括公司的实力、声誉、财务状况,它决定了公司偿还债务的可能性。在公司规模较大、以前信誉很好、财务健全的情况下,公司偿还债券的能力和意愿都较强,这种债券的投资价值较大。

(5)行业因素。公司所处的行业决定了公司的发展前景和潜力,同时在很大程度上决定了公司的利润水平,在竞争激烈的行业中,一般公司利润率较低,在没有形成较大规模情况下,公司的现金流量一般不充裕,而处于垄断地位的公司,其利润率一般较高,公司偿债能力较强。

(6)政策因素。一国对公司所处行业的政策、对债券市场的定位、国家本身的政治经济情况影响了公司的经营情况,从而影响债券的投资价值。

33 比较资本资产定价模型与套利定价模型的主要异同。 [人大2005年研]

答: 套利定价模型和资本资产定价模型都是现代投资组合理论,所讨论的都是期望收益和风险之间的关系,但两者所用的假设和原理不同。

资本资产定价模型是一种均衡定价理论。该模型认为,当市场处于均衡状态时,某种资产(或资产组合)的期望收益率是其贝塔值(β值)的线性函数,即:

E(r i )=r f +β[E(r M )-r f ]

套利定价模型则认为,资产的期望收益率是一系列共同因子的函数。套利定价理论中的资产定价方程为:

r _ i =r f +b i1 λ 1 +b i2 λ 2 +…+b in λ n

(1)套利定价模型和资本资产定价模型的相同点和联系主要体现在以下几个方面:

①两者都是均衡定价模型。资本资产定价模型和套利定价模型都是在市场达到均衡时,对资产价值定价的模型,这是两者最大的共同点。

②两者具有内在的联系性。在套利定价模型中,如果是单因素的套利定价模型,并且该因素是市场组合,则套利定价模型和资本资产定价模型的表达式实际上是一样的。

(2)套利定价模型和资本资产定价模型的区别主要体现在以下几个方面:

①在资本资产定价模型中,证券的风险只用某一证券相对于市场组合的β系数来解释,它只能告诉投资者风险来自何处;而套利定价模型中,证券的风险由多个因素共同来解释。

②资本资产定价模型假定了投资者对待风险的类型,即属于风险回避者,而套利定价模型没有对投资者的风险偏好做出规定,因此套利定价模型的适用性增多了。

③套利定价模型和资本资产定价模型的理论基础不同。套利定价模型的推导基础是套利原则,即在无套利的基础上推导出该模型。资本资产定价模型是根据资本市场线上的风险-收益关系推导出来。

34 简述发展投资基金对我国经济的作用。 [北航2004年研]

答: 投资基金是指由不确定的多数投资者不等额出资汇集成基金(主要是通过向投资者发行股份或受益凭证方式募集),然后交由专业性投资机构管理的凭证。

投资基金在我国作为一种新的投资工具,已有十多年的发展历史,在这个过程中,我国投资基金发展十分迅速。发展投资基金对我国经济的作用主要体现在以下几个方面:

(1)引导居民由储蓄向证券投资转化。居民储蓄的下降使投资基金的比重上升,随着我国投资基金的发展,投资基金对银行存款的吸收作用日益增强,尤其是在企业存款方面,投资基金成为银行和金融机构的有力竞争者,从而使我国的储蓄转化为投资。

(2)作为机构投资者的主力军能有效地稳定证券市场。投资基金多以中长期资本的成长为主要的投资目标,能够根据上市公司的经营状况和基本经济因素,通过对各种资料的分析做出投资决策。投资的行为比较理智和成熟,减少了个人投资者中的盲目行为,避免了少数大户对股市的操作。

(3)强化金融证券化的趋势。其特点是借款人筹资通过证券市场获得,取代了传统的银行贷款,使得许多以前只能从银行取得贷款的借款人更有可能进入证券市场,为投资者和筹资者提供一个更直接、更透明、高效的选择。

(4)促进国际资本的有效渗透。国际资本在金融世界中的地位日益突出,由于世界经济、国际金融环境的急剧变化,国家基金成为国际投资出色、灵活和高效的使者,对促进国际资本的有效渗透起了很大的作用。

35 如何实现股利分配形式上的税收套利? [人大2005年研]

答: 股利政策是指股利支付比率的一种分配政策,严格意义上来说,股利政策仅包括在保留盈余和为取得现金支付股利而发行新股之间的选择。股利分配的方式主要包括现金股利和股票股利两种。

股利分配上的税收套利是指由于对股利征收的个人所得税与对资本利得征收的个人所得税不同,投资者会利用这种税收差别决定股利分配形式。一般来说,针对股利征收的个人所得税比针对资本利得征收的个人所得税多,所以投资者倾向于选择非现金股利。

下面以一个例子说明如何实现股利分配形式上的税收套利。

假设规定对股利征收的所得税为33%,对资本利得征收的所得税为15%。A公司拥有股票1000万股,每股市值10元,年末A公司的净利润为1000万元,A公司计划将净利润全部转为公司股利。

当A公司采取现金股利形式时,A公司股东每股获得1元的现金股利,每股需要缴纳股利所得税为0.33元,A公司股东的收益率为6.7%。

当A公司采取股票股利的形式时,在市场有效的情况下,原来股东一股的价值将由10元变为11元,如果股东卖出股票,则原来持有一股将获得1元的资本利得,每股需要缴纳的资本利得税为0.15元,A公司股东的收益率为8.5%。

36 证券回购协议与二级市场的证券交易有何区别? [人行1998年研]

答: 证券回购协议指证券持有人为了取得在一段时间内对一定数额资金的使用权而将证券暂时出售给资金的拥有者,并约定在某个特定时间按约定的价格再将证券购回的交易协议。二级市场的证券交易指已经发行在外的证券在证券交易所或场外市场进行买卖转让的交易行为。

二者的区别主要表现在:

(1)交易对象不同。证券回购的券种主要是国债,不仅包括短期国债,而且包括中长期国债;而证券市场的交易对象是作为经济权益凭证的股票、债券、投资基金等有价证券。

(2)交易对象的价格决定不同。证券回购的价格在正常条件下一般波动不大,只有在市场利率变动较大的场合,证券回购价格才会发生明显的波动;而证券市场的证券价格实质是利润的分割,是预期收益的市场表现,与市场利率的关系密切。

(3)期限不同。证券回购协议的回购交易最长为365天,但绝大多数集中在30天之内,而证券抵押贷款的融资期限一般都在30天以上。二级市场的证券交易没有期限限制。

(4)参与者不同。证券回购协议当事人主要是金融机构,是商业银行等银行和非银行金融机构为解决短期资金需要而进行的资金融通。而二级市场的证券交易的参与者包括个人和机构,范围很广。

(5)交易地点不同。证券回购交易,既可在证券交易所内进行,也可通过场外市场进行,还可以在交易双方之间直接进行。而二级市场的证券交易一般在证券交易所和场外市场,不能在交易双方之间直接进行。

(6)交易目的不同。证券回购的主要目的在于融通短期资金。证券交易的目的是实现投资收益,或为了筹集资金。

(7)市场风险不同。证券回购交易风险低,而证券市场的影响因素复杂多变,价格波动性大且有不可预测性,投资者的投资能否取得预期收益具有较大的不确定性,所以风险较大。

37 简述有效市场假说理论的基本内容。 [中国科学技术大学2013年研;中央财大2009年研;西安交通大学2006年研]

答: 有效市场理论由美国芝加哥大学教授尤金·法玛在20世纪60年代提出,又称有效市场假说理论。该理论认为,在一个有效的资本市场中,证券的价格应该立即对相关信息做出反映,即有利的信息会立即导致证券价格上升,而不利的信息则会使其价格立即下降。因此,任何时刻的证券价格都已经充分地反映了当时所能得到的一切相关信息。在有效市场上,证券价格在任何时候都是证券内在价值的最佳评估。

(1)资本市场有效性假说的内容

有效市场理论的主要内容有三点:①证券价格迅速反映了未预期的信息。在一个竞争性的证券市场上,当某一证券的供应与需求处于平衡状态时,该证券的价格将达到均衡点;证券价格的变动是由证券的供求关系决定的,而证券供求关系的调整又是由于市场新的信息引起的。②随机游走假设。即不同时期证券价格的变动是相互独立的,每次价格的上升或者下降与前一次的价格变化没有关系。证券价格是市场对各种信息做出反映的结果,由于政治、经济等各方面信息随意进入市场,因而证券价格是随机变动的。③投资者无法获得超额利润。超额利润是指在承担一定风险的条件下比预期收益更多的盈利。有效的证券市场对信息有很快的反映速度,投资者在得到某一信息时,该信息的作用已经反映在证券价格上了,所以不存在投资者利用信息在市场上获得超额利润的机会。

(2)资本市场有效性的假说前提

有效市场成立的充分条件:①在证券交易中,不存在交易成本、政府税收和交易的其他障碍。②市场信息的交流是高效率的。证券交易各方都可以无需代价取得所有对投资者有用的信息。③证券价格不受个别人和个别机构交易的影响,即市场参与者是价格的接受者。④所有的投资者都是理性地追求个人效用最大化的市场参与者。上述条件严格成立时,市场一定是有效的。

(3)有效资本市场的分类

根据可获得的有关信息的分类不同,可将市场效率划分为弱式有效、半强式有效和强式有效三种类型:①弱式有效市场,指证券价格被假设完全反映包括它本身在内的过去历史的证券价格资料。其主要特点在于证券的现行价格充分反映了历史上一系列交易价格和交易量中所隐含的信息,证券价格的变动表现为随机游走过程。②半强式有效市场,指所有公开的可用信息假定都被反映在证券价格中,不仅包括证券价格序列信息,还包括公司财务报告信息、经济状况的通告资料和其他公开可用的有关公司价值的信息,公布的宏观经济形势和政策方面的信息。半强式有效的市场并不意味着所有的市场参与者都能马上接受并且理解所有公开有用的信息,事实上只有机构投资者和职业分析家才可能对新的信息做出迅速的反应。③强式有效市场,指所有相关信息(包括内部信息和公开信息)都在证券价格中反映出来,即证券价格除了包含历史价格信息和所有公开信息外,还包含了所谓的内幕信息。

(4)有效资本市场的实证结果

根据国内外的实证研究,一些发达国家的资本市场是半强式有效或者弱式有效的,我国的实证研究则发现我国的资本市场是弱式无效的。资本市场是否遵循有效资本市场假说与资本市场本身的建设有很大关系。有效资本市场假说存在一系列的假设条件,这些假设条件在发达的资本市场上可能近似成立,所以资本市场的有效性也较强。对于我国资本市场来说,很多制度性的建设还不完善,很多方面根本无法满足有效资本市场假说的假设条件,整体资本市场也就表现出弱式无效了。

38 比较在无公司税和有公司税的条件下,公司资本结构对公司价值的影响。 [中国科学技术大学2013年研;金融联考2006年研]

答: (1)不存在公司税时的MM理论认为,在完善的市场条件下,企业的资本结构不会影响企业的价值和综合资本成本。因为负债带来的好处完全被同时增加的风险所抵消。MM理论揭示了实物资产对企业的基础作用,从根本上否定了任何通过改变资本结构来提高企业价值行为的有效性。

(2)存在公司税的MM理论认为,企业的经营利润须在股东、债权人和政府之间进行分配。由于企业的价值由股东收益的价值和债权人收益的价值组成。在息税前利润不变的情况下,如果能够减少分配给政府的收益,就可以增加股东和债权人分配到的收益,从而提高企业的价值。因为债务利息具有抵税作用,所以提高企业的负债比例可以减少政府的税收收入,使企业的价值得到提高,即企业可以通过改变资本结构来提高其价值。

39 为什么要进行股权分置改革? [人行2006年研]

答: (1)股权分置是指我国A股市场上市公司股票按能否在证券市场上流通,分为流通股和非流通股。它是我国在经济转型过程中形成的特殊问题。股权分置改革即通过流通股东和非流通股东的利益平衡协商机制,消除这种利益不平衡的过程。

(2)股权分置改革的原因

①股权分置扭曲了资本市场的定价机制,不利于资源有效配置;

②股权分置人为地造成“同股不同权,同股不同价”,损害投资者的信心,使我国股市投机色彩浓厚;

③股权分置下,公司治理缺乏共同的利益基础,公司股价难以对大股东、管理层形成有效约束;

④市场上存在流通价和协议转让价两种价格,使得公司股价难以真实反映上市公司的经营状况;

⑤股权分置不利于我国目前资本市场改革开放和稳定发展的要求,必须通过股权分置改革消除这种不平等现象。

总之,股权分置的存在,阻碍了我国资本市场的发展,必须进行股权分置改革。

(3)股权分置改革的意义

①股权分置改革有利于资本市场定价机制更好地发挥作用;

②促进资源有效配置;

③股权分置改革有利于提高投资者的信心,稳定证券市场;

④有利于完善上市公司的公司治理;

⑤促进我国资本市场的稳定发展和提高其国际竞争力。

40 投资于投资基金相对于直接投资于股票有哪些优点? [东北财大2006年研]

答: 投资基金是指通过发售基金份额,将众多不特定投资者的资金汇集起来,形成独立财产,委托基金管理人进行投资管理,基金托管人进行财产托管,由基金投资人共享投资收益、共担投资风险的集合投资方式。

投资于投资基金相对于直接投资于股票有以下优点:

(1)集合理财、专业管理

基金将众多投资者的资金集中起来,委托基金管理人进行共同投资,表现出一种集合理财的特点。通过汇集众多投资者的基金,积少成多,有利于发挥资金的规模优势,降低投资成本,基金由基金管理人进行投资管理和运作,基金管理人一般拥有大量的专业投资研究人员和强大的信息网络,能够更好地对证券市场进行全方位的动态跟踪和深入分析,将资金交给基金管理人管理,使中小投资者也能享受到专业化的投资管理服务。

(2)组合投资、分散风险

为降低投资风险,一些国家的法律法规规定基金除另有规定外,一般须以组合投资的方式进行投资运作,从而使“组合投资、分散风险”成为基金的一大特色。中小投资者由于资金量小,一般无法通过购买数量众多的股票分散投资风险。基金通常会购买几十种甚至上百种股票,投资者购买基金就相当于用很少的资金购买了一篮子股票。在多数情况下,某些股票价格下跌造成的损失可以用其他股票价格上涨产生的盈利来弥补,因此可以充分享受到组合投资、分散风险的好处。

(3)利益共享、风险共担

证券投资基金实行利益共享、风险共担的原则。基金投资者是基金的所有者,基金投资收益在扣除由基金承担的费用后的盈余全部归基金投资者所有,基金投资者一般会按照所持有的基金份额比例进行分配。为基金提供服务的基金托管人、基金管理人一般按基金合同的规定从基金资产中收取一定比例的托管费、管理费,并不参与基金收益的分配。

(4)严格监管、信息透明

为切实保护投资者的利益,增强投资者对基金投资的信心,各国(地区)基金监管机构都对证券投资基金业实行严格的监管,对各种有损于投资者利益的行为进行严厉的打击,并强制基金进行及时、准确、充分的信息披露。在这种情况下,严格监管与信息透明也就成为公募证券投资基金的一个显著特点。

(5)独立托管、保障安全

基金管理人负责基金的投资操作,本身并不参与基金财产的保管,基金财产的保管由独立于基金管理人的基金托管人负责。这种相互制约、相互监督的制衡机制为投资者的利益提供了重要的保障。

41 试述利率变动与股价变动的关系。 [东北财大2007年研]

答: 利率变动与股价变动的关系非常密切,股价随着利率的提高而下跌,随着利率的下调而上涨。利率对股价产生的这种影响主要表现在以下几个方面:

(1)当利率上升时,由于上市公司借贷资金利息支出的增加,公司获利就会减少。作为公司获利能力反映的股价,也会因此下挫。反之,利率下降时,公司借贷资金成本减少,公司盈利增加,股价也将因此而上涨。

(2)当利率上升时,投资者用于评估股票价值所用的折现率(即预期投资回报率)就会上升,未来可能获取的收益未变,而折现率上升了,由此折现出的股票内在价值自然下跌,股票的市场价格也会跟着下浮。反之,利率下降时,投资者购买股票的机会成本下降,对折现率的要求也会低些,股价上升。

(3)当利率上升时,货币供应量会减少,通货紧缩,社会上投机性资金的供给将减少,股市资金量也将下降。这样,过少的资金就难以支撑很高的股价,股价将不久便会自动下跌。反之,当利率下降时,股市资金也丰裕,买盘承接能力很强,股价将上涨。从投资者的信心来说,低利率刺激经济发展,使投资者对未来充满信心,股价上涨潜力增大。 97mHXR3B0xXh+bfKtdmvrJgFszdNrB8BMft8fmIY0195NtGCbG+fy3LiHD1gsIQ8

点击中间区域
呼出菜单
上一章
目录
下一章
×