购买
下载掌阅APP,畅读海量书库
立即打开
畅读海量书库
扫码下载掌阅APP

二、概念题

1 资本市场线 [中南大学2025年研;中山大学2022年研;天津大学2019年研]

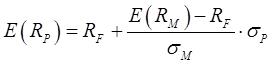
答: 资本市场线是指在以预期收益和标准差为坐标轴的平面上,表示风险资产的有效组合与一种无风险资产再组合的有效组合线。如果用E和σ分别表示证券或组合的期望收益率和方差,F、M和P分别表示无风险证券、市场组合和任意有效组合,资本市场线所代表的方程是:

资本市场线反映有效组合的期望收益率和标准差之间的一种简单的线性关系。

资本市场线对有效组合的期望收益率和风险之间的均衡关系提供了十分完整的阐述。有效组合的期望收益率由两部分构成:一部分是无风险利率R F ,它是由时间创造的,是对放弃即期消费的补偿;另一部分则是对承担风险σ P 的补偿,通常称为风险溢价,它与承担的风险σ P 的大小成正比,其中的系数(也就是资本市场线的斜率)代表了对单位风险的补偿,通常称之为风险的价格。

2 夏普比率 [中南大学2025年研]

答: 夏普比率是由威廉·夏普提出的、广泛用于衡量基金等投资组合绩效表现的标准化指标,其计算公式为超额收益除以超额收益的标准差。作为衡量经风险调整后收益的指标,它反映了投资者承担每单位总风险所获得的超额收益,这里的总风险包含了基准组合的风险等在内。尽管它是投资学早期的产物,且在量化投资中其重要性相对信息比率有所不及,但由于形式简洁、计算方便,在评价投资者绩效时仍被广泛应用。

3 互换 [华中科技大学2025年研]

答: 互换是指两个或两个以上的当事人按共同商定的条件,在约定的时间内,交换一定支付款项的金融交易,主要有货币互换和利率互换两类。更为准确地说,互换是当事人之间约定在未来某一期间内相互交换他们认为具有相等经济价值的现金流的交易。互换是一种灵活有效的避险和资产负债综合管理的衍生工具。

4 可转债 [厦门大学2025年研]

答: 可转债,即“可转换公司债券”,是一种兼具债券和股票特性的混合型金融工具。它本质上是发行人向投资者发行的约定了票面利率和偿还期限的债券,同时赋予投资者在特定时期内(转股期)按照事先约定的转股价格或转股比例,将债券转换为发行人普通股股票的权利。在转换前,投资者可获得固定利息收益;转换后则成为公司股东,分享股价上涨收益;若未转股,发行人需在债券到期时按面值还本付息。其核心特点是 “下有保底(债券收益)、上有弹性(股票上涨潜力)”,既满足保守投资者的稳健需求,也为进取型投资者提供了博取股权收益的机会,是连接债市与股市的重要金融产品。

5 货币的时间价值 [中央财经大学2024年研;广东财经大学2013年研]

答: 货币的时间价值是指货币经历一定时间的投资和再投资所增加的价值,也称资金的时间价值。它是非常有用的一个经济概念,特别是在衡量投资时,货币的时间价值,成为一个最基本的评价标准。货币时间价值的形式有:

①货币时间价值额。以绝对数表现的货币时间价值,是货币在生产经营中带来的真实增值额。

②货币时间价值率。以相对数表现的货币时间价值,是扣除风险报酬和通货膨胀后的社会平均资金利润率。

货币时间价值的意义有:

①促使公司加速资金周转,提高资金的利用率;

②作为评价投资方案是否可行的基本标准;

③作为评价公司收益的尺度。

随着时间的延续,货币总量在循环和周转中按几何级数增长,使得货币具有时间价值。货币时间价值可以通过单利、复利和年金的计算来衡量。

6 资本市场 [东北财经大学2023年研;中国人民大学2017年研]

答: 资本市场是指融资期限在1年以上的长期资金交易市场,包括中长期银行信贷市场和证券市场。资本市场的基本功能是促进资本的形成,它有效地动员民众的储蓄,将其合理地分配于经济部门。该类市场上的交易具有期限长、资金借贷量大、有一定的风险性和投机性等特点,交易目的主要是解决长期投资性资金供给的需要,弥补政府的财政赤字。

7 有效集 [对外经济贸易大学2024年研]

答: 有效集是指可行集中那些如果投资者不额外增加风险就无法再提升其预期收益率的所有投资组合组成的集合。有效集中的元素或组合都称为有效组合,有效集显然是可行集中的一个子集。另外,它有如下性质:①对每一风险水平,有效组合给投资者提供最大预期回报率;②对每一预期回报率水平,有效组合给投资者提供最小的风险;③它与投资者的风险偏好无关。有效边界是有效集在风险与预期收益坐标图上的几何表述。

8 中国概念股 [北京师范大学2023年研]

答: 中国概念股是指在中国内地以外市场(如香港、纽约、纳斯达克、新加坡等)上市,但主要业务、资产或收入来源与中国内地密切相关的公司股票。这类股票通常以境外上市地货币(如美元、港币等)计价交易,但公司注册地、核心经营或盈利模式与中国经济高度关联。例如,H股(香港上市)、N股(纽约上市)、S股(新加坡上市)以及通过存托凭证(ADR)在美国市场交易的中概股均属此类。中国概念股的股价表现往往受到中国经济政策、市场环境及投资者对中国增长预期的影响,是国际资本参与中国经济发展的重要投资工具。

9 IPO折价 [四川大学2025年研;北京师范大学2023年研;中南财经政法大学2020年研]

答: IPO折价是指股票首次公开发行后,上市第一天的收盘价高出发行价的现象。IPO折价是各国证券市场共同面临的问题,而中国股票市场上IPO折价问题尤为突出。目前关于IPO折价理论主流思想有:信息不对称理论、逆向选择理论和委托代理理论。从股票供给与需求的角度出发,IPO高折价率是由于供需不平衡造成的。

10 风险溢价 [厦门大学2025年研;广东外语外贸大学2024年研;南开大学2023年研;中南财经政法大学2020年研]

答: 风险溢价是指有违约风险债券与无违约风险债券之间的利差,是人们因为持有某种风险债券必须获得的额外利息。具有违约风险的债券的风险溢价总为正,且风险溢价随着违约风险的上升而增加。在有效市场假设下,投资者要求的收益率与其所承担的风险是正相关的。由于承担了比较高的风险,市场必然给予较高的回报。无风险的资产存在一个基准收益率,市场接受的收益率高于无风险收益率的差就是市场要求相应风险水平所应有的风险溢价。

11 可持续增长率 [中央财经大学2019年研]

答: 可持续增长率是指企业在没有外部股权融资且保持负债-权益比不变的情况下可能实现的最高增长率。可持续增长率=ROE×b/(1-ROE×b),其中ROE为权益利润率,b为再投资比率。

12 市盈率 [首都经济贸易大学2019年研]

答: 市盈率又称市价与每股盈余比率,指普通股的市场价格与每股收益的比率。其中,每股收益=(净利润-优先股股利)/发行在外的普通股股数。以P表示普通股的市价,E表示每股收益,则市盈率=P/E。

市盈率是衡量公司普通股市价高低的重要指标,也是投资者进行投资决策、发行人确定发行价格的重要参照指标,同时该指标衡量了股份制企业的盈利能力。股价与每股收益进行比较反映投资者对每1元净利润所愿支付的价格。这一比率越高,意味着公司未来成长的潜力越大。一般说来,市盈率越高,表明市场对公司的未来越看好。在市价确定的情况下,每股收益越高,市盈率越低,投资风险越小;反之,每股收益越低,市盈率越高,投资风险也就越大。在每股收益确定的情况下,市价越高,市盈率越高,风险越大;反之,市价越低,市盈率越低,风险也就越小。

13 看涨期权 [首都经济贸易大学2019年研]

答: 看涨期权,是指赋予购买者在约定的时间或约定期限内按双方约定的价格购买一定数量相关金融资产的权利的合约。为了取得这样一种权利,期权合约的买方必须向卖方支付一定数额的费用,即期权费。

对于看涨期权的买方来说,当市场价格高于执行价格,他会行使买的权利,取得收益;当市场价格低于执行价格,他会放弃行使权利,所亏损的是期权费。

14 投资基金 [华中科技大学2017年研]

答: 投资基金是指通过发行基金单位,集中投资者的资金,由基金托管人托管,由基金管理人管理和运用资金,利益共享、风险共担的集合投资方式,是一种间接的金融投资机构或工具。投资基金按不同的分类标准划分可分为契约型基金和公司型基金;公募基金和私募基金;收益基金、增长基金、收益与增长混合基金等不同的类型。

投资基金的特点是:①集合投资;②专业管理;③组合投资,分散风险;④利益共享,风险共担;⑤间接投资,流动性强。

投资基金对社会经济的发展起了重要的推动作用:①为中小投资者拓宽了投资渠道;②通过把储蓄转化成投资,有力地促进了产业发展和经济增长;③对证券市场的发展具有重要意义,并促进了证券市场的国际化。

15 期权交易 [四川大学2014年研]

答: 期权交易是指以期权合约为对象的交易,买方支付期权费获得期权。期权合约是指期权的买方有权在约定的时间或约定的时期内,按照约定的价格买进或卖出一定数量的相关资产,也可以根据需要放弃行使这一权利。期权交易的特点有:①期权交易双方权利与义务不对等,买方只有权利没有义务,卖方只有义务没有权利。②期权只有卖方缴纳保证金,买方只需支付期权费。③期权的买方最大亏损是期权费,获利是无限的,卖方最大收益是期权费,亏损是无限的。④期权是交易未来买卖某种商品的权利,到期可以执行也可以放弃。

16 利率期限结构 [中国科学技术大学2013年研]

答: 利率期限结构是指在某一时点上,影响利率的其他因素相同时,不同期限资金的收益率与到期期限之间的关系。通常用收益率曲线(又称“回报率曲线”)作为描述债券利率期限结构的工具。利率的期限结构反映了不同期限的资金供求关系,揭示了市场利率的总体水平和变化方向,为投资者从事债券投资和政府有关部门加强债券管理提供可参考的依据。一般来说,收益率曲线有四种基本的形态:水平状,向上倾斜状,向下倾斜状,驼峰状。最常见的是向上倾斜的收益率曲线,因为一般情况下,长期债券的利率高于短期债券的利率。

利率期限结构理论主要有预期理论、流动性偏好理论、市场分割理论。

①预期理论是指投资者的预期决定未来利率走向的一种理论,该理论认为,远期利率等于市场整体对未来短期利率的预期。换句话说,流动性溢价为零。当预期利率上升时,会有上升的收益率曲线,反之,收益率曲线下降。

②流动性偏好假说认为,相对长期债券而言,投资者通常更偏好短期债券。因为长期债券的流动性比短期债券要差,持有长期债券的投资者担负着更大的市场风险——价格波动和难以变现的风险,因此这类债券持有者必须要求相应的更高的收益补偿。这种由于增加市场风险而产生的对长期债券收益的报酬称为流动性贴水。

③市场分割理论认为资金在不同期限市场之间基本上是不流动的,就决定了收益率曲线有不同的形态,如当长期市场上资金供过于求,导致利率下降的同时,短期市场资金供不应求,导致利率上升,就会形成向下倾斜的收益率曲线。

17 资产证券化 [中南财经政法大学2012年研;首都经贸大学2009年研;人行2003年研;吉林大学2003年研;人大2002年研;东北财大2001年研]

答: 资产证券化指的是通过对流动性差,或者说不能立即变现,但却有稳定的预期收益的资产进行重组,将其转换为可以公开买卖的证券的过程,它是证券化的高级阶段。按照被证券化的资产种类区分,资产证券化可以被分为实物资产的证券化和金融资产的证券化。

资产证券化的几个关键步骤是:①资产的出售,资产出售须以买卖双方已签订的书面资产买卖协议为依据,出售时卖方拥有对标的资产的全部权利,买方要对标的资产支付对价;②信用提高,资产证券化需要对资产支持证券进行信用提高,信用提高可以由发起人,也可以由第三方进行;③资产证券的信用评级,信用评级由专门评级机构应资产证券发行人或承销人的委托进行。评级考虑因素不包括由利率变动等因素导致的市场风险,或基础资产提前支付所引起的风险,而主要考虑资产的信用风险;④发售证券,经过信用提高和信用定级后,即可通过投资银行发售证券,获取收入,以向发起人支付购买资产的价格。

18 二板市场 [人行2000年研]

答: 二板市场指某些国家(或地区)政府为了方便那些规模较小、历史较短,不符合证券交易所的上市条件,但是具有良好发展潜力的中小型企业(尤其是中小型高科技企业)上市筹资,而开设的一种股票上市和流通的市场,如美国的纳斯达克(NASDAQ)市场、英国的替代投资市场(AIM)、欧洲新市场(EURO·NM)、欧洲伊斯达克(EASDAQ)市场、香港的创业板市场(GEM)等均属于二板市场。一般而言,二板市场没有固定的交易场所,它只是一个无形的、电子化的交易网络系统。

19 证券上市 [东北财大2001年研]

答: 证券上市指已发行的证券经证券交易所批准后,在交易所公开挂牌交易的法律行为。证券上市,是连接证券发行和证券交易的“桥梁”。在我国,证券发行后即获得上市资格。证券上市可以给公司带来以下好处:①可以推动企业建立完善、规范的经营管理机制,以市场为导向自主运作,完善公司治理结构,不断提高运行质量。②上市后证券价格的变动,形成对公司业绩的一种市场评价机制。那些业绩优良,成长性好的公司能以较低的成本筹集大量资本,不断扩大经营规模。③公司能上市,表明投资者对公司经营管理、发展前景等给予了积极的评价,扩大了公司的知名度,提高了公司的市场地位和影响力,十分有助于公司树立产品品牌形象,扩大市场销售量,提高公司的业务扩张能力。

20 B股股票 [人大1999年研]

答: B股股票其正式名称是人民币特种股票,指以人民币表明面值,以外币认购和买卖,在境内(上海、深圳)证券交易所上市交易的股票。其投资人限于:外国的自然人、法人和其他组织,香港、澳门、台湾地区的自然人、法人和其他组织,定居在国外的中国居民,中国证监会规定的其他投资人。现阶段B股的投资人,主要是上述几类中的机构投资者。B股公司的注册地和上市地都在境内,只不过投资者在境外或在中国香港、澳门及台湾。

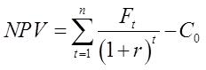
21 净现值 [首都经贸大学2005年研;武汉理工大学2004年研]

答: 净现值指投资项目在投资期内各年的现金流量按一定的贴现率折算为现值后与初始投资额的差。所用的贴现率可以是企业的资金成本,也可以是企业所要求的最低收益率水平。净现值的计算公式为:

利用净现值进行决策所依据的原理是,假设预计的现金流入在年末肯定可以实现,并把原始投资看成是按预定贴现率借入的。当净现值为正数时偿还本息后该项目仍有剩余的收益,当净现值为零时偿还本息后一无所获,当净现值为负数时该项目收益不足以偿还本息。净现值指标的决策标准是:如果投资项目的净现值大于零,接受该项目;如果投资项目的净现值小于零,放弃该项目;如果有多个互斥的投资项目相互竞争,选取净现值最大的投资项目。净现值指标考虑了投资项目资金流量的时间价值,较合理地反映了投资项目的真正的经济价值,是一个比较好的投资决策指标。

22 证券市场线 [人大1999年研]

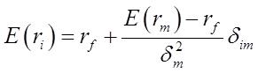
答: 证券市场线指在均衡状态下,某种特定证券的期望收益率E(r i )与该种证券的市场相关系数δ im 之间是一种线性关系,表达这种线性关系的直线即为证券市场线。具体来说,证券市场线的数学表达式为:

式中E(r i ),表示第i种特定证券在均衡状态下的期望收益率;r f 表示市场无风险利率;E(r m )表示市场证券组合的期望收益率; 表示市场证券组合的方差;δ im 表示第i种特定证券与市场证券组合之间的协方差, 就是证券i的β系数。证券市场线实际上就是资本资产定价模型的标准形式。若以E(r p )和β p 分别表示证券或证券组合的期望收益率和β系数,F、M和P分别表示无风险证券、市场组合和任意证券或证券组合。则它的方程可简化为:E(r P )=r F +[E(r M )-r F P ,证券市场线表明任意证券或证券组合的期望收益与由β系数测定的风险之间存在着线性的均衡关系。任一证券或证券组合的期望收益由两部分组成:一部分是无风险利率r F ,它是由时间创造的,是对放弃即期消费的补偿;另一部分[E(r M )-r F P ,则是对承担市场风险β P 的补偿,通常称为风险溢价,它与承担的风险β P 的大小成正比,其中的E(r M )-r F 代表了对单位风险的补偿,通常称之为风险价格。

23 有效组合(efficient portfolio) [中央财大2012年研;上海财大2000年研]

答: 有效组合指在期望收益率一定时其风险(即标准差)最低的证券组合,或者指在风险一定时其期望收益率最高的证券组合。有效边界上的点对应的证券组合也称为有效组合。

有效边界

具体来讲,在所有可行的投资组合中,如果证券组合的特征由期望收益率和收益率方差来表示,则投资者需要在E-δ坐标系中的可行域中寻找最好的点,但不可能在可行域中找到一点被所有投资者都认为是最好的。按照投资者的共同偏好规则,可以排除那些被所有投资者都认为差的组合,排除后余下的这些组合就是有效证券组合。根据有效组合的定义,有效组合不止一个,描绘在可行域的图形中,如图粗实线部分它是可行域的上边界部分,也即有效边界ABC曲线段(如上图所示)。对于可行域内部及下边界上的任意可行组合,均可以在有效边界上找到一个有效组合比它好。但有效边界上的不同组合,比如B和C,按共同偏好规则不能区分好差。因而有效组合相当于有可能被某位投资者选作最佳组合的候选组合,不同投资者可以在有效边界上获得任一位置。作为一个理性投资者,且厌恶风险,则他不会选择有效边界以外的点。此外,A点是一个特殊的位置,它是上边界和下边界的交汇点,这一点所代表的组合在所有可行组合中方差最小,因而被称作最小方差组合。

24 市场证券组合(market portfolio) [上海财大2002年研]

答: 市场证券组合指个人或机构投资者所持有的各种与整个资本市场的构成完全相同的有价证券组合的总称,通常包括各种类型的债券、股票及存款单等。证券组合的分类通常以组合的投资目标为标准。证券组合按不同标准可以分为避税型、收入型、增长型、收入和增长混合型、货币市场型、国际型及指数化型等。投资者构建证券组合的原因主要有:①降低风险。资产组合理论证明,证券组合的风险随着组合所包含证券数量的增加而降低,资产间关联性极低的多元化证券组合可以有效地降低非系统风险。②实现收益最大化。理性投资者的基本行为特征是厌恶风险和追求收益最大化。投资者力求在这风险和收益中达到可能的最佳平衡。如果投资者仅投资于单个资产,他只有有限的选择。当投资者将各种资产按不同比例进行组合时,其选择就会有无限多种。这为投资者在给定风险水平下获取更高收益提供了机会。当投资者构造证券组合来平衡风险和收益时,他能够得到比投资单个资产更为满意的收益与风险的平衡。具体来说,市场证券组合具有如下特点:①市场证券组合包含了资本市场上全部种类的上市证券;②每一种证券在市场证券组合中所占的比重,与该种证券的总市值占整个资本市场总市值的比重相等。

25 指数基金 [人大2000年研]

答: 指数基金是指一种能使投资者获取与市场平均收益相接近的投资回报,功能上近似或等于所编制的某种证券市场价格指数的基金。指数基金是20世纪70年代以来出现的新的基金品种,其特点是:它的投资组合等同于市场价格指数的权数比例,收益随着当期的价格指数上下波动。当价格指数上升时基金收益增加,反之收益减少。基金因始终保持当期的市场平均收益水平,因而收益不会太高,也不会太低。

指数基金的优势是:①费用低廉。指数基金的管理费较低,尤其是交易费用较低。②风险较小。由于指数基金的投资非常分散,可以完全消除投资组合的非系统风险,而且可以避免由于基金持股集中带来的流动性风险。③在以机构投资者为主的市场中,指数基金可获得市场平均收益率,可以为股票投资者提供更好的投资回报。④可以作为避险套利的工具。指数基金由于其收益率的稳定性和投资的分散性,特别适用于社保基金等数额较大、风险承受能力较低的资金投资。

26 货币市场基金 [人行2004年研]

答: 货币市场基金指的是资金主要投资于货币市场上的短期金融工具(如国库券、银行存款单、商业票据、银行承兑汇票等)的投资基金。

这种基金,由于以短期投资为主,流动性较好,几乎可视为现金或活期存款,而回报率通常高于银行存款,同时,可与其他类型基金串联,相互自行转换,是投资者寻找下一个投资目标的“休息站”,所以,深受投资者欢迎。这种基金,在投资时,多以特定货币为投资标的,如美元货币市场基金、日元货币市场基金等,投资者为追求强势货币,可以用很低的转换费用,在各种货币基金中自由灵活地转换。

27 货币市场互助基金(MMMF) [人大2002年研]

答: 货币市场互助基金英文全称为“Money Market Mutual Funds”。它是一种类似合作社性质的金融组织,基金管理者发行一种股份,并将所获资金投资于货币市场,认购股份者可以分得利润,同时持股者还能对其股份签发支票。MMMF的股份实际上就是有利息的支票账户。但在法律上,这并非存款,利润也非利息,所以不受利率上限的限制。可见,MMMF有效地规避了活期存款支票账户不支付利息和利率上限的行政管制,是一种十分有效的金融创新工具。由于MMMF所具有的这些优点,它在1971年诞生后的几年中便得到了非常迅速的发展,现已成为小额投资者的一种常用投资工具。

28 合格境内投资者制度(QDII) [人行2004年研]

答: 合格境内机构投资者制度(QDII)是与合格境外机构投资者(QFII)相对应的一种投资制度,是指在资本项目未完全开放的情况下,允许政府所认可的境内金融投资机构到境外资本市场投资的机制。国际上一些国家和地区开放证券市场的成功经验表明,QDII是本国市场向外资渐进开放过程中能保持市场各方面平稳过渡的有效机制。但QDII的实施意味着将允许内地居民外汇投资境外资本市场,可能会出现国内股市资金外流、人民币汇率不稳定、资本外逃等问题,管理层需要慎重决策。对于我国实施合格境内机构投资者制度,也一定要逐步试探,控制节奏。

29 资产收益率(ROA)与股权收益率(ROE) [人行2006年研]

答: 资产收益率(ROA)是指公司减除利息和税款前的收益额(EBIT)与公司平均总资产之比,其计算公式为:资产收益率=纯利润/资产总额。股权收益率(ROE)是指公司净收益与公司股东权益之比,其计算公式为:股权收益率=纯利润/资本总额。公司总资产由负债和权益两方面构成。资产收益率指标将资产负债表、损益表中的相关信息有机结合起来,是银行运用其全部资金获取利润能力的集中体现。股权收益率指标反映了股东投入资本的增值程度,同股东财富直接相关,因此格外受股东的重视。

二者之间既有联系又有区别:资产收益率和股权收益率都是衡量企业盈利性的比率,二者越高,表明企业的盈利性越强。在既定的利率和税率下,企业资产收益率的提高也可以提高公司的股权收益率。如果公司的资产收益率超过其支付给贷款者的利率,则公司可以通过提高其债务/权益比率来提高公司的股权收益率;如果公司的资产收益率低于其支付给贷款者的利率,则公司可以通过降低其债务/权益比率来提高公司的股权收益率。

30 股票价格指数 [东北财大2006年研]

答: 股票价格指数是用来表示多种股票平均价格水平及其变动情况以衡量股市行情的指标。股价指数是运用统计学中的指数方法编制而成的,反映股市总体价格或某类股价变动和走势的指标。根据股价指数反映的价格走势所涵盖的范围,可以将股价指数划分为反映整个市场走势的综合性指数和反映某一行业或某一类股票价格走势的分类指数。股价指数的计算方法有算术平均法和加权平均法两种。算术平均法是将组成指数的每只股票价格进行简单平均,计算得出一个平均值。加权平均法,就是在计算股价均值时,不仅考虑到每只股票的价格,还要根据每只股票对市场影响的大小,对平均值进行调整。实践中,一般是以股票的发行数量或成交量作为市场影响参考因素,纳入指数计算,称为权数。由于以股票实际平均价格作为指数不便于人们计算和使用,一般很少直接用平均价来表示指数水平,而是以某一基准日的平均价格为基准,将以后各个时期的平均价格与基准日平均价格相比较,计算得出各期的比价,再转换为百分值或千分值,以此作为股价指数的值。

31 认股权证 [东北财大2006年研]

答: 认股权证全称是股票认购授权证,指由上市公司发行,给予持有权证的投资者在未来某个时间或某一段时间以事先确认的价格购买一定量该公司股票的权利凭证。认股权证实质上是一种股票的长期看涨期权。通常,认股权证与债券或优先股共同发行,20世纪80年代以来,出现了认股权证与普通股共同发行的情形。认股权证包括认股数量、认股价格和认股期限三个要素。

32 被动投资策略 [东北财大2007年研]

答: 被动投资策略也称为购买-持有策略。采用这一策略时,投资者以得到市场收益水平为满足,只要简单地选择合适的债券即可。如果投资者较为保守,通常只考虑最高级别的债券。而那些能够并愿意承担风险的投资者,则会考虑投资于较低级别的债券,因为这类债券收益率较高。

被动投资策略适合于利率风险较低的情况。由于收益稳定,价格波动可以忽略不计,再投资收益率风险也很小,购买力风险也较低。如果持有的是一组由多种高级别债券组成的债券组合,则其违约风险也很低。这样,这种投资策略会给投资者提供可以接受的真实收益率。

如果通货膨胀率较高,利率波动幅度加大,被动投资策略就不太合适了。在这种环境下,采用被动投资策略会降低投资者的真实收益率。如果投资者不打算放弃较高的收益,就必须改变投资策略。

33 次级抵押债券 [人行2009年研]

答: 次级抵押债券,是指偿还次序优于公司股本权益、但低于公司一般债务的一种债务形式。各种证券的求偿权优先顺序为:一般债务>次级债务>优先股>普通股,求偿权优先级越高的证券,风险越低,期望收益也越低,反之亦然。次级债券的发行主体在国内主要是各大商业银行,发行资金用于补充资本充足率。次级债券只是在一定期限内具有资本的属性,并非银行的自有资本,最终仍需要偿还。因而,次级债券并不能从根本上解决银行资本充足率不足的问题,它只不过给银行提供了一个改善经营状况、调整资产结构的缓冲期。除非银行破产或清算,次级债务不能用于弥补银行日常的经营损失,即在正常的情况下,次级债务不能用于冲销银行的坏账。

美国的按揭贷款市场大致可以分为三个层次:优质贷款市场、ALT-A贷款市场、次级贷款市场。次级市场的规模大致在1.3万亿美元左右,其中有近半数的人没有固定的收入的凭证。显然,这是一个高风险的市场,其回报率也较高。 97mHXR3B0xXh+bfKtdmvrJgFszdNrB8BMft8fmIY0195NtGCbG+fy3LiHD1gsIQ8

点击中间区域
呼出菜单
上一章
目录
下一章
×

打开