购买
下载掌阅APP,畅读海量书库
立即打开
畅读海量书库
扫码下载掌阅APP

一、选择题

1 以下是标准化金融合约的是( )。 [上海财经大学2025年研]

A.期权

B.期货

C.远期合约

D.互换

【答案】 B

【解析】 标准化金融合约是指合约条款(如标的资产、合约规模、交割时间、交割地点等)由交易所统一制定、高度标准化的金融工具。期货合约在交易所内交易,其合约规格完全标准化,这是其与远期合约、互换等场外交易的非标准化合约的核心区别。期权既有标准化的场内期权(如交易所上市的期权合约),也有非标准化的场外期权,不能完全归为标准化合约;而远期合约和互换通常为场外交易,合约条款由交易双方协商确定,属于非标准化合约。因此,只有期货是典型的标准化金融合约。

2 瑞幸咖啡赴美IPO,瑞信在其中的业务是( )。 [上海财经大学2024年研]

A.证券交易

B.资产证券化

C.证券私募

D.证券承销

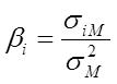
【答案】 D

【解析】 瑞幸咖啡(Luckin Coffee)于2019年5月在美国纳斯达克交易所进行首次公开募股(IPO)。在这一过程中,瑞士信贷(Credit Suisse,简称瑞信)作为主要承销商之一参与其中,其业务是证券承销。

3 卖出一份平价看涨期权,并同时卖出一份平价看跌期权。那么在股票( )的情况下会有盈利。 [上海财经大学2024年研]

A.大幅上涨

B.大幅下跌

C.小幅波动

D.大幅波动

【答案】 C

【解析】 卖出平价看涨期权和看跌期权的策略被称为空头策略。这种策略的盈利情况取决于标的资产价格的波动程度。当股票价格在期权到期时保持在平价附近(即小幅波动)时,看涨期权和看跌期权的买方都不会行使期权,因为股票价格既没有大幅上涨也没有大幅下跌,使得两个期权都可能到期作废。这样,卖出期权的一方就可以保留收取的权利金作为盈利。相反,如果股票价格大幅上涨或大幅下跌,其中一个期权(看涨期权或看跌期权)将具有内在价值,买方会行使期权,导致卖方需要履行合约,从而产生亏损。因此,这种策略在股票价格小幅波动时盈利,而在股票价格大幅波动时亏损。

4 下列说法中,对投资组合分散化的描述正确的是( )。 [复旦大学2019年研]

A.适当的分散化可以减少或消除系统性风险

B.分散化减少投资组合的期望收益,因为它减少了投资组合的总体风险

C.当把越来越多的证券加入投资组合时,总体风险一般会以递减的速度下降

D.除非投资组合包含了至少30只的个股,分散化降低风险的效果不会充分体现

【答案】 C

【解析】 A项,系统性风险是不能被分散的;B项,分散化不一定降低收益;D项,当资产之间相关系数为负时,不用很多个股,分散化降低风险的效果就会很明显。

5 将抵押贷款组合打包成为可在市场上交易的资本市场工具的过程被称为( )。 [暨南大学2018年研]

A.证券化

B.金融深化

C.市场一体化

D.分散化

【答案】 A

【解析】 资产证券化是将那些缺乏流动性,但能够产生可预见现金收入的资产(如住房贷款、学生贷款、信用卡应收款等)出售给特定发行人,通过创设一种以该资产产生的现金流为支持的金融工具或权利凭证,进而将这些不流动的资产转换成可以在金融市场上出售和流通的证券的一种融资过程或融资方法。将抵押贷款组合打包成为可在市场上交易的资本市场工具是一种常见的资产证券化的类型。

6 一个国家在另一个国家发行,且计价货币是非债券发行交易国货币的债券称为( )。 [复旦大学2018年研]

A.外国投资

B.可转换债券

C.外国债券

D.欧洲债券

【答案】 D

【解析】 欧洲债券是指一国政府或企业在另一国的债券市场上,以境外货币为面值所发行的债券。例如,英国机构在美国债券市场上发行以日元为面值的债券就是欧洲债券。

7 与同类企业相比,如果某上市公司市盈率偏低则意味着( )。 [中央财经大学2018年研]

A.其企业价值被低估

B.其企业价值被高估

C.股票市场泡沫过大

D.股票市场交易低迷

【答案】 A

【解析】 市盈率由股价除以年度每股盈余得出。如果两个业务相近的企业具有相同的资本结构、经营前景和盈利状况,则它们的股票具有相近的市盈率。一般认为,如果一家公司股票的市盈率过高,那么该股票的价格具有泡沫,价值被高估;反之,市盈率过低,价值被低估。

8 利率期限结构理论认为收益率曲线向上倾斜的原因是( )。 [对外经济贸易大学2018年研]

A.存在风险溢价

B.存在流动性溢价

C.未来短期利率都是上升的

D.未来长期利率都是上升的

【答案】 C

【解析】 利率的期限结构是指具有相同风险结构的债券,其利率由于距离到期日的时间长短不同而呈现的差异,反映风险相同但期限不同的债券到期收益率(或利率)与期限之间关系的曲线称为收益曲线。收益曲线通常有水平型、渐升型和渐降型三种典型的类型。根据利率期限结构理论,如果现在短期利率低,则未来短期利率上升,收益曲线向上倾斜。

9 若持有某一证券,一年以后的现金流是110美元,2年以后的现金流是121美元,该证券的市场价格是200美元,到期收益率是( )。 [华中科技大学2017年研]

A.10%

B.9%

C.12%

D.11%

【答案】 A

【解析】 设到期收益率为y,根据题干知[110/(1+y)]+[121/(1+y) 2 ]=200,则y=10%。

10 甲公司设立于上年年末,预计今年年底投产。假定目前的证券市场属于成熟市场,根据优序融资理论的基本观点,甲公司在确定今年的筹资顺序时,应当优先考虑的筹资方式是( )。 [中国科学技术大学2016年研]

A.内部筹资

B.发行可转换债券

C.增发股票

D.发行普通债券

【答案】 D

【解析】 优序融资理论放宽MM理论完全信息的假定,以不对称信息理论为基础,并考虑交易成本的存在,认为权益融资会传递企业经营的负面信息,而且外部融资要多支付各种成本,因而企业融资一般会遵循内源融资、债务融资、权益融资这样的先后顺序。但是本题中由于企业预计今年年底投产,投产前无法获得内部融资,所以此时优先考虑发行普通债券。

11 2015年3月29日,华夏上证50ETF基金的收盘价为¥2.649,4月份到期、行权价格为¥2.250的上证50ETF认购期权的收盘价为¥0.406,那么,该期权的内在价值或执行价值为( )。 [电子科技大学2016年研]

A.¥1.844

B.¥0.399

C.¥2.243

D.¥0.406

【答案】 B

【解析】 期权的内在价值是指期权持有者立即行使该期权合约所赋予的权利时所能获得的收益。在本题中,该期权的内在价值(或执行价值)=市场价值-行权价格=¥2.649-¥2.250=¥0.399。

12 其他情况不变,若到期收益率( )票面利率,则债券将( )。 [中国科学技术大学2016年研]

A.高于、溢价出售

B.等于、溢价出售

C.高于、平价出售

D.高于、折价出售

【答案】 D

【解析】 如果债券的市场利息率(到期收益率)低于同类债券的票面利息率,则债券的价格高于其票面值,债券溢价发行;如果债券的市场利息率(到期收益率)等于同类债券的票面利息率,则债券的价格等于其票面值,债券平价发行;如果债券的市场利息率(到期收益率)高于同类债券的票面利息率,则债券的价格低于其票面值,债券折价发行。

13 影响公司价值的基本因素是( )。 [南京航空航天大学2016年研]

A.时间和利润

B.利润和成本

C.风险和报酬

D.风险和贴现率

【答案】 C

【解析】 公司的价值是该企业预期自由现金流量以其加权平均资本成本为贴现率折现的现值,它与企业的财务决策密切相关,体现了企业资金的时间价值、风险以及持续发展能力,即体现了公司的风险和报酬因素。

14 假定某资产组合是有效的,其标准差为20%,市场组合的预期收益率为15%,标准差为25%,无风险收益率为5%。根据资本市场线,该资产组合的预期收益率为( )。 [暨南大学2016年研]

A.10%

B.13%

C.15%

D.20%

【答案】 B

【解析】 根据资本市场线

该资产组合的预期收益率=5%+(15%-5%)×20%/25%=13%。

15 在杜邦财务分析体系中,是将( )指标层层加以分解,通过一个关系体系将许多比率和数据联系在一起进行分析。 [四川大学2015年研]

A.资产报酬率

B.权益报酬率

C.权益乘数

D.销售净利率

【答案】 B

【解析】 由美国杜邦公司首先采用的杜邦财务分析体系揭示了权益报酬率指标与各种相关财务指标之间的关系,有助于深入了解企业的财务状况和经营状况。杜邦财务分析体系对权益报酬率的分解为:

16 下列关于可转换债券的描述,正确的是( ) [南京大学2013年研]

A.与普通债券相同

B.是普通债券与期货的复合

C.是否转换的权利属于发行者

D.是普通债券与期权的复合

【答案】 D

【解析】 可转换债券指公司债券附加可转换条款,赋予债券持有人按预先确定的比例(转换比率)将债券转换为该公司普通股的选择权。可转换债券通常具有较低的票面利率,可以转换成股票的权利是对债券持有人的一种补偿。因为将可转换债券转换为普通股时,所换得的股票价值一般远大于原债券价值。但是一旦转换成股票就有下跌风险,不再有债券保值特性。债券持有人类似购买了看涨期权,当股票价格下跌可放弃行权。

17 某大型企业的CEO向基金经理介绍,他们企业的目标是通过提高公司的股权收益率,为股东创造最大价值,他的如下说法中错误的是:( )。 [南京大学2013年研]

A.降低企业的财务杠杆可降低利息成本,提高股权收益率

B.在既有资产水平上加大营销力度,提高总资产周转率可提高资本使用效率,提高股权收益率

C.在一个高度竞争的市场中通过生产及销售的成本节约可提高产品毛利水平,提高股权收益率

D.通货控制管理费用可提高净利水平,提高股权收益率

【答案】 A

【解析】 A项,根据R S =R 0 +(1-t C )×(R 0 -R B )×(B/S),可以看出,股权权益率与财务杠杆成线性相关性。在不考虑破产成本的情况下,由于有税盾作用,合适的财务杠杆可以提高股权收益率。BCD三项,股权收益率=总资产收益率×总资产周转率×销售净利率,因此提高总资产周转率和销售净利率,可以提高股权收益率。

18 用于测度某一项资产的系统风险的指标是( )。 [华东师范大学2013年研]

A.标准差

B.方差

C.阿尔法系数

D.贝塔系数

【答案】 D

【解析】 系统风险是由影响整个金融市场的因素所致的,一般包括经济周期等宏观经济基本面信息。市场上的系统风险一般用市场组合的方差表示,单个资产的系统风险一般用该资产与市场组合的协方差来表示。根据β的定义,β衡量单个资产的系统风险,等于该资产与市场组合的协方差/市场组合的方差,所以,贝塔系数可以用来测度某一项资产的系统风险。

19 预期收益率相同的情况下,σ越大的方案,其风险( )。 [浙江财经大学2013年研]

A.越大

B.越小

C.二者无关

D.无法判断

【答案】 A

【解析】 在预期收益率相同的情况下,标准差或者方差越大,则风险越大;标准差或方差越小,则风险也越小。

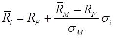
20 如果一个证券的贝塔值为零,那么该证券的预期收益率是( )。 [北京航空航天大学2013年研]

A.市场的预期收益率

B.无风险收益率

C.零

D.负的

【答案】 B

【解析】 证券i的必要收益率计算公式为 R _ i =R F +β i R _ M -R F ),当贝塔值为0时,显然 R _ i =R F

21 一只股票与市场指数之间的相关系数等于0.5,市场指数的标准差为20%,这只股票的标准差为10%,则这只股票的贝塔值最接近于( )。 [北京航空航天大学2013年研]

A.1.00

B.0.75

C.0.50

D.0.25

【答案】 D

【解析】 已知股票的β的计算公式为

σ iM =ρ iM ×σ i ×σ M ,则σ iM =0.5×20%×10%=1%

22 优先股票与普通股票相比,其优先权主要指( )。 [南京大学2012年研]

A.优先享有企业管理权

B.认股优先权

C.红利可随企业利润增加而增加

D.固定的股息与优先的财产分配权

【答案】 D

【解析】 优先股是公司在筹集资金时,给予投资者某些优先权的股票,它是相对于普通股而言的一种特别股。其优先权主要表现在两个方面:①优先股有固定的股息,不随公司业绩好坏而波动,并可以先于普通股股东领取股息。②在公司资产破产清算的受偿顺序方面,它排在债权之后、比普通股优先。优先股一般不参加公司的红利分配,持股人亦无表决权,不能借助表决权参加公司的经营管理。

23 在下列( )市场中,组合管理者会选择消极保守型的态度,只求获得市场平均的收益率水平? [浙江工商大学2012年研]

A.无效市场

B.弱式有效市场

C.半强式有效市场

D.强式有效市场

【答案】 D

【解析】 A项,无效市场是人们依靠自己的认识对市场进行预期,并与影响价格的内在规律和价值规律相互作用,甚至市场的走势操纵着需求和供给的发展。B项,弱式的有效市场,信息集合只包含股价的历史信息,这实际上等同于宣判技术分析无法击败市场。C项,半强式的有效市场,信息集合包含所有可以公开得到的市场信息,包括股票价格信息和宏观经济信息。包括技术分析和基础分析都无法击败市场,但是内幕消息能带来超额收益。D项,强式有效市场,信息集合包含所有有关信息,不仅包含可公开得到的信息,还包含私人信息,技术分析和市场分析都无效。组合管理者会选择消极保守型的态度以获得市场平均的收益率水平。

24 住房按揭贷款的提前还款行为可以看作是( )。 [浙江工商大学2012年研]

A.欧式卖权

B.欧式买权

C.美式买权

D.美式卖权

【答案】 D

【解析】 美式期权合同在到期日前的任何时候或在到期日都可以执行合同,欧式期权合同要求其持有者只能在到期日履行合同,住房按揭贷款实际上是分期付款,相当于美式期权。买权是指赋予期权持有者未来购买某种资产的权利,卖权是指赋予期权持有者未来出售某种资产的权利,住房按揭贷款的提前还款行为相当于住房按揭时被赋予了卖权,因此期权的持有者(按揭贷款人)可以随时选择出售按揭贷款这项权利。

25 马克威茨资产组合理论最主要的内容是( )。 [北京航空航天大学2012年研]

A.系统风险可消除

B.资产组合的分散风险作用

C.非系统风险的识别

D.以提高收益为目的的积极的资产组合管理

【答案】 B

【解析】 马克威茨的资产组合理论试图解决的问题是:①在一定的风险水平下,投资者所能实现的最高收益是多少;②在一定的收益水平下,投资者所能承担的最低风险暴露是多少。马克威茨的主要贡献在于他应用数学的线性规划理论建立了一套模式,并以此系统地阐明了如何通过有效的分散化来构建资产组合。

26 若某股票看涨期权的套期保值率为0.6,则对于有相同到期日和到期价格的看跌期权的套期保值率为( )。 [北京航空航天大学2012年研]

A.0.60

B.0.40

C.-0.60

D.-0.40

E.-0.17

【答案】 C

【解析】 期权的套期保值率等于套期保值证券价格波动除以期权合约价格波动,对于具有相同到期日和到期价格的看涨期权和看跌期权,期权合约价格波动正好相反,而套期保值股票价格波动相同,因此,对于具有相同到期日和到期价格的看涨和看跌期权的套期保值率互为相反数,即看跌期权的套期保值率为-0.6。

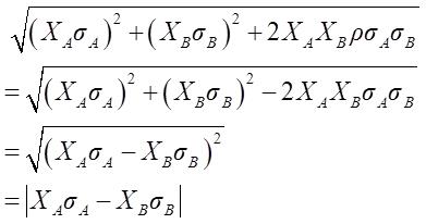
27 假设某资产组合是由两种收益完全负相关的证券组成,则其最小方差资产组合的标准差为一个( )的常数。 [北京航空航天大学2012年研]

A.大于零

B.等于两种证券标准差的和

C.等于零

D.等于1

【答案】 C

【解析】 令这两种收益完全负相关的证券为A、B,其投资比重分别为X A 和X B ,证券A、B的相关系数为ρ=-1,各自的标准差分别为σ A 和σ B ,那么该资产组合的标准差为:

则最小方差资产组合的标准差等于零。

28 能通过多样化投资策略来分散和规避的风险被称为( )。 [浙江财经大学2011年研]

A.市场风险

B.非系统性风险

C.系统性风险

D.道德风险

【答案】 B

【解析】 资产组合的风险分为两类:系统性风险和非系统性风险。所谓非系统性风险,是指那种通过增加持有资产的种类数就可以相互抵消的风险;系统性风险则是无法通过增加持有资产的种类数量而消除的风险。

29 具有以小博大特征的证券交易方式是( )。 [上海大学2011年研]

A.信用交易

B.现货交易

C.期货交易

D.期权交易

E.垫头交易

【答案】 ACDE

【解析】 AE两项,信用交易又称垫头交易,是指证券交易的当事人在买卖证券时,只向证券公司交付一定的保证金,或者只向证券公司交付一定的证券,而由证券公司提供融资或者融券进行交易,是以小博大的证券交易方式;B项,现货交易是最传统的交易方式,是钱货的对等交易;CD两项,期货交易和期权交易都是利用金融衍生工具进行的交易方式,衍生金融工具的基本特征之一就是杠杆效应,即具有以小博大的能量,借助不到合约标的物市场价值5%~10%的保证金或者支付一定比例的权益费而获得一定数量合约标的物在未来时间交易的权利。 d7mrVdNeleEf0P/QOT4XLzshlBbOwYbKH/T/uCVmjfr0XmukB1e9rmOuxtWdxr3S

点击中间区域
呼出菜单
上一章
目录
下一章
×