购买
下载掌阅APP,畅读海量书库
立即打开
畅读海量书库
扫码下载掌阅APP

2.2 课后习题详解

1 已知f(x,y)=4x 2 +3y 2

a.计算f的偏导数。

b.假设f(x,y)=16,运用隐函数定理计算dy/dx。

c.当x=1,y=2时,dy/dx等于多少?

d.画出你的结果并用它解释问题b和问题c中的结果。

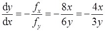
解: a.对于函数f(x,y)=4x 2 +3y 2 ,其关于x和y的偏导数分别为:

f x =8x,f y =6y

b.约束条件f(x,y)=16在变量间创造了一个隐函数。根据隐函数定理:

c.将x=1,y=2代入,得:

d.4x 2 +3y 2 =16等高线是一个以原点为中心的椭圆。

问题b中,通过隐函数定理得到的 表示在曲线4x 2 +3y 2 =16上任一点的切线斜率。

问题c中,计算出点(1,2)处的斜率为-2/3。

如图2-1所示。

图2-1

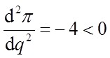
2 假设某企业的总收入只由产量(q)决定,且关系式为R=70q-q 2 。总成本也只由q决定,C=q 2 +30q+100。

a.要使利润(R-C)最大化,产量应为多少?最大利润是多少?

b.说明问题a的答案满足最值的二阶条件。

c.结果满足“边际收益=边际成本”的原则吗?请解释。

解: a.公司的利润函数为:π=R-C=-2q 2 +40q-100。

利润最大化的一阶条件为:

从而可以解得利润最大化时的产量为:q * =10。

相应的最大化的利润为:π * =-2×10 2 +40×10-100=100。

b.在q * =10处,利润最大化的二阶条件为:

因而问题a的答案满足最值的二阶条件。

c.在q * =10处,边际收益为:

MR=dR/dq=70-2q * =50

边际成本为:

MC=dC/dq=2q * +30=50

因而有MR=MC=50,即满足“边际收益=边际成本”原则。

3 设f(x,y)=xy,在x+y=1的约束条件下分别用消元法和拉格朗日乘数法求f的最大值。

解: (1)消元法

由x+y=1可得:y=1-x,将其代入f可得:f=xy=x-x 2 ,从而有:

可以解得:x=0.5,y=0.5,f=0.25。

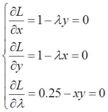
(2)拉格朗日乘数法

构造拉格朗日函数:L=xy+λ(1-x-y)。

一阶条件为:

∂L/∂x=y-λ=0

∂L/∂y=x-λ=0

∂L/∂λ=1-x-y=0

从而可以解得:x=y=0.5,f=xy=0.25。

4 上一题的对偶问题是给定xy=0.25,求x+y的最小值,用拉格朗日乘数法求解。比较这两题中算出的拉格朗日乘数的大小,并解释其关系。

解: (1)设最小化问题的拉格朗日函数为:L=x+y+λ(0.25-xy)。

一阶条件为:

由前两个方程式可得:x=y,联立第三个方程式,解得:x=y=0.5。

(2)将本题与第3题进行比较可知,两种情况下求得的拉格朗日乘数的值分别为0.5和2,互为倒数。这是因为第3题中受约束的最大化问题是本题中受约束的最小化问题的一个对偶问题。

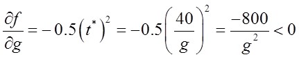
5 垂直向上抛球,t秒后高度为f(t)=-0.5gt 2 +40t(其中g是常数重力加速度)。

a.到达最高点时t为多少?将结果写成g的函数。

b.用上一问的结果解释当g发生改变时,最高点高度是如何变化的。

c.用包络定理直接求解问题b。

d.在地球上g=32,但在不同的地方略有不同。如果两地g相差0.1,那么球在这两地能达到的最大高度大约差多少?

说明: 本书认为教材题干中的表达式有误,应该在0.5gt 2 前加上负号,特别做出更正。

解: a.对高度函数f(t)=-0.5gt 2 +40t关于时间求导数可得:

df(t)/dt=-gt+40=0

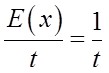
从而可以解得使高度最大的时间为:t * =40/g,从而可知球到达最高点的时间t与参数g成反比例关系。

b.将t * =40/g代入高度函数中可得:

从而有:

即随着g的增大,最大高度将变小。

c.由包络定理可知: 取决于g,这是因为t * 取决于g。

因而有:

d.当g=32时,最大高度为:f=800/32=25;

当g=32.1时,最大高度为:f′=800/32.1≈24.92;

因而两地最大高度的差异为:∆f=f′-f=24.92-25=-0.08。

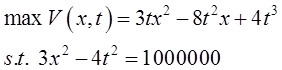
6 为了建造一艘油轮,我们把一块长3x、宽x的铁皮四角各剪去一块边长为t的正方形,再折起来,形成一个无盖油轮的结构。

a.证明油箱的体积V=t(x-2t)(3x-2t)=3tx 2 -8t 2 x+4t 3

b.对于给定的x,为了使油箱容积V最大,t应该取多少?

c.把V视为x的函数,是否存在x使得V达到最大值?

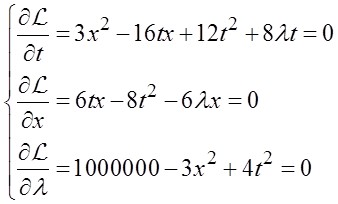
d.如果造船厂只有1000000平方英尺的铁皮,且满足约束条件3x 2 -4t 2 =1000000(因为切掉的铁皮可以回收)。现在求解V的最大值。此时的结果和问题b、问题c的解有什么区别?

解: a.如图2-2所示,长方形四个角处去掉一个边长为t的正方形后叠起来的油箱是一个长方体,该长方体的长为(3x-2t),宽为(x-2t),高为t,因而其体积为:V=t(x-2t)(3x-2t)=3tx 2 -8t 2 x+4t 3

图2-2 油箱模型的制作

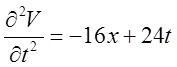
b.V关于t求导数可得:

∂V/∂t=3x 2 -16xt+12t 2 =0

从而可以解得:

即: t 1 =0.225x,t 2 =1.11x。

二阶条件为:

因此,只有当t=0.225x时,才有

即只有当t=0.225x才能使给定x下的V最大。

c.当t=0.225x时,V≈0.67x 3 -0.04x 3 +0.05x 3 ≈0.68x 3 。因而当x增大时,V随之增大,没有极限。因此,不存在一个x使得所装油的体积最大。

d.受约束的最优化问题为:

设拉格朗日函数为:

一阶条件为:

从而可以利用拉格朗日乘数法求得最优的t * 、x * 。显然,该受约束的最大化问题的解将有别于问题b和问题c中求解出来的解。

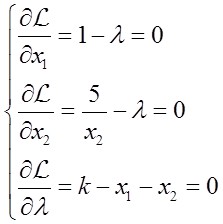
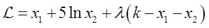
7 考虑条件最值问题,使y最大化,其中:y=x 1 +5lnx 2 。x 1 ,x 2 满足约束条件k-x 1 -x 2 =0,k为任意常数。

a.证明当k=10时,该问题可以被当作只涉及等式约束条件的问题来求解。

b.证明k=4时,x 1 =-1。

c.如果要求自变量x必须非负,k=4时的最优解是多少?(这个问题既可以凭直觉解决,又可以使用本章中概述的方法解决。)

d.当k=20时,求解之,并与问题a的结果做比较,你能得出什么结论?

注: 这个问题涉及的函数被称为“准线性函数”,在消费者行为理论中我们还会用到。

解: a.设拉格朗日函数为:

一阶条件为:

联立以上方程组可解得:

当k=10时,最优解为:x 1 =x 2 =5。

b.当k=4时,由问题a中的解x 1 =k-5可得:x 1 =4-5=-1。因此,结论成立。

c.如果此问题的解非负时,最优解为:x 1 =0,x 2 =4,y=5ln4。因为任何正的x 1 的值都将使y变小。

d.如果k=20,则由问题a的解x 1 =k-5可得最优解为:x 1 =15,x 2 =5。因为x 2 给y提供了一个递减的边际增量,而x 1 却没有,所以,所有的最优解要求一旦x 2 增至5,额外的增量应该全部由x 1 的增加来实现。

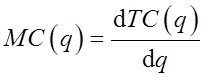
8 假定一个企业的边际成本函数是MC(q)=q+1。

a.这个企业的总成本函数是什么?解释为什么总成本函数只取决于一个代表固定成本的积分常数。

b.在之前的经济学课程中已经学到,在企业作出定价决策时,产量q和价格p要满足关系p=MC(q)。如果企业依照这个利润最大化原则进行决策,那么在p=15时,企业的产量是多少?假设企业在这个价格不赚不赔,那么企业的固定成本是多少?

c.如果价格上涨到20,企业将获得多少利润?

d.请证明,如果继续假设企业依据利润最大化原则作出决策,那么企业的利润能够写成价格p的一元函数。

e.求解价格从p=15上涨到p=20后利润的增量有两种计算方法:①直接使用问题d中的函数求解;②对逆边际成本函数[MC 1 (p)=p-1]积分,积分下限为p=15,积分上限为p=20。请分别使用这两种方法计算利润增量,并使用包络定理对上述结果给出直观的解释。

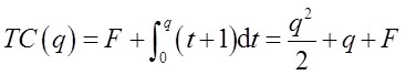
解: a.由企业的边际成本函数是MC(q)=q+1,设企业的固定成本为F,则企业的总成本函数为:

由于企业的边际成本是指企业多生产一单位的产品所增加的企业成本。用公式描述企业总成本函数和边际成函数之间的关系就是

而上述所求的总成本函数代表了在此边际成本函数下的总成本函数簇。此时,要使总成本函数唯一,主要取决于固定成本F。

所以说,总成本函数只取决于一个代表固定成本的积分常数。

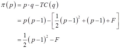
b.在企业作出定价决策时,产量q和价格p要满足关系p=MC(q)。如果企业依照这个利润最大化原则进行决策,那么在p=15时,企业的产量满足:15=q+1,解得:q=14。

企业在这个价格不赚不赔,此时的企业利润为零,即:π=pq-TC(q)=15×14-(14 2 /2+14+F)=0,解得此时企业的固定成本为:F=98。

c.如果价格上涨到20,则企业产量满足:20=q+1。

解得: q=19。

此时,企业将获得利润:π=pq-TC(q)=20×19-(19 2 ×0.5+19+98)=82.5。

d.如果继续假设企业依据利润最大化原则作出决策,由p=MC(q)可将企业的产量表示为:q=p-1。那么企业的利润函数为:

由于F为常数,所以说,如果继续假设企业依据利润最大化原则作出决策,那么企业的利润函数能够写成价格p的一元函数。

e.价格从p=15上涨到p=20后利润的增量有两种计算方法:

①直接使用问题d中的函数求解:∆π=π(20)-π(15)=82.5。

②通过对逆边际成本函数[MC 1 (p)=p-1]积分进行求解,积分下限为p=15,积分上限为p=20:

在两种方法下,求解的利润增量相等。即拉格朗日表达式在计算有约束条件下的问题和没有约束条件的问题时,包络定理起了相同的作用。

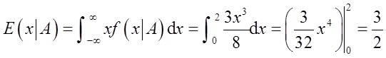
9 凹函数和拟凹函数

通过比较二者的定义[(2.84)式和(2.100)式]来证明凹函数必为拟凹函数,你能从直观上解释你的证明吗?它的逆命题是否正确,即拟凹函数是否是凹函数?如果不正确,请举出一例。

解: (2.84)式为:

(2.100)式为:

(1)下面给出该命题的两种证明方法:

①利用凹函数和拟凹函数的定义

函数f(x),对定义域S(凸集)上任意两点x 1 ,x 2 ∈S,θ∈[0,1],如果有f[θx 1 +(1-θ)x 2 ]≥θf(x 1 )+(1-θ)f(x 2 ),则称函数f(x)为凹函数。

函数f(x),对定义域S(凸集)上任意两点x 1 ,x 2 ∈S,θ∈[0,1],如果有f[θx 1 +(1-θ)x 2 ]≥min{f(x 1 ),f(x 2 )},则称函数f(x)为拟凹函数。

显然,对于凹函数有:f[θx 1 +(1-θ)x 2 ]≥θf(x 1 )+(1-θ)f(x 2 )≥min{f(x 1 ),f(x 2 )}。

因而可以从凹函数推出拟凹函数,反之,则不成立。

②利用数学中关于拟凹函数的性质

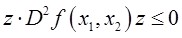
本题的证明将利用如下定理:

(二阶连续可微)函数f:A→R是拟凹函数,当且仅当对每一个x∈A,海塞矩阵D 2 f(x 1 ,x 2 )在子空间 中都是半负定的,也就是说,当

下面来证明:

因为f(x 1 ,x 2 )是一个凹函数,而二阶连续可微函数f(x)是凹函数,当且仅当其海塞矩阵是半负定的,所以对于海塞矩阵

有:

即:

而海塞矩阵D 2 f(x 1 ,x 2 )是负定的,从而可知,海塞矩阵D 2 f(x 1 ,x 2 )在子空间 中至少是半负定的,因而可知f(x 1 ,x 2 )也是一个拟凹函数。对于拟凹函数,其加边矩阵是半负定的,即有:

(2)直观地,从图形上看,如图2-3所示,函数f(x)为拟凹表示线段x 1 、x 2 之间的点的函数值要高于点A,或者说曲线ACB之间的点都高于点A。显然,当函数f(x)是凹函数,曲线呈一个倒置的锅状,则上述性质是满足的。从这一点看,凹函数一定是拟凹函数。

(3)逆命题不正确,即拟凹函数不一定是凹函数。如图2-3所示,在曲线AC段,函数是凸的;而在CB段,函数是凹的。这说明拟凹函数的概念要比凹函数更弱。

图2-3 凹函数与拟凹函数

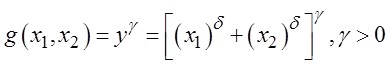
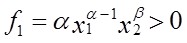
10 柯布-道格拉斯函数

我们即将遇到一个经济学中特别重要的函数——柯布-道格拉斯函数:

其中α,β∈(0,1)。

a.运用(2.100)式,通过定义的“原始”做法证明它是拟凹函数。

b.用y=c(c是任意正常数)的等高线围成的区域是凸集的办法证明它是拟凹函数。

c.证明当α+β>1时该函数不是凹函数(这也说明拟凹函数不一定都是凹的)。

注: 柯布-道格拉斯函数在扩展部分有介绍。

解: a.分别对柯布-道格拉斯函数求一阶、二阶导数可得:

显然 中的所有项都是负的,从而可得:

因而可知柯布-道格拉斯函数是一个拟凹函数。

b.如果

因而当α、β>0时,x 2 是x 1 的凸函数。关于拟凹函数的一个重要性质是,如果函数f(x)是拟凹的,则当且仅当集合 是凸集,其中k是任意常数。集合 为函数f(x)的上等值集合。

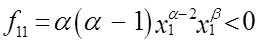
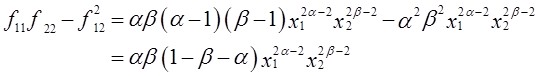
c.根据定义,满足f 11 <0,f 11 f 22 -f 12 2 >0的函数为凹函数。

当α+β>1时,该式是负的,因而此时函数不是凹函数,从而可知,并非所有的拟凹函数都是凹函数。

11 幂函数

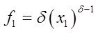
另一种常见的函数是幂函数:y=x δ ,其中0≤δ≤1(有时我们也会考察δ小于0的情形,在这类情况下我们使用y=x δ /δ的形式以保证微分表达式有适当的符号)。

a.证明函数是凹函数(根据本章课后习题第9题,自然也是拟凹函数)。注意δ=1是一个特例,只有当δ<1时函数才是“严格”凹的。

b.证明多元幂函数 也是凹的(和拟凹的)。请解释为何偏导数f 12 =f 21 =0使得凹性的判断十分简单。

c.用问题b中描述的单调映射可以给函数附加上“规模效应”:

这个变换是否保留了函数的凹性?函数g是否具有拟凹性?

解: a.当0≤δ<1时,因为y′=δx δ 1 ≥0,y″=δ(δ-1)x δ 2 <0,所以此时函数y=x δ 是严格凹函数。

b.对于幂函数

有:

因为f 11 ,f 22 <0,且f 12 =f 21 =0,所以f 11 f 22 -f 12 2 >0满足,因而该函数是凹函数。

根据多元幂函数的表达式可知,对一个变量求一阶偏导得到的方程式与另一个变量无关,所以交叉偏导数为0。

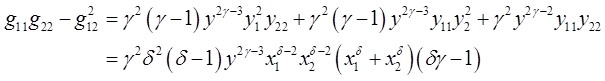
c.因为y是拟凹函数,所以g=y γ 也是拟凹函数。但是,当δγ>1时,g不是凹函数,证明如下。

g=y γ ,则

有:

因为0≤δ≤1,所以,当δγ>1时,g 11 g 22 -g 12 2 <0,g不是凹函数;当δγ≤1时,g是凹函数。

12 在有约束的优化问题中证明包络定理

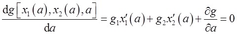
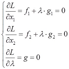
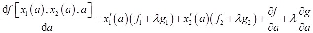
本书经常会在有约束条件的优化问题中使用包络定理,通过下面这个简单的例子证明该定理可能会帮助读者多一些直观上的理解。假设我们要最大化一个二元函数,同时这个函数与参数a有关:f(x 1 ,x 2 ,a)。这个最大化问题中的约束条件为g(x 1 ,x 2 ,a)=0。

a.写出求解这个问题的拉格朗日表达式,并写出其一阶条件。

b.将包含x的两个一阶条件相加。

c.将问题b中的求和式对a求导数。这一结果将告诉我们随着a的变化,x必须要改变相对应的量,才能使一阶条件成立。

d.我们已经从本章中学到,这个问题中的目标函数和约束条件可以表述为a的函数:f[x 1 (a),x 2 (a),a],g[x 1 (a),x 2 (a),a]=0。将第一个函数对a求导数。这一结果表明在x取最优值时目标函数值随a值变化的情况。求导结果中必须有两项,一项含有x,另一项只含有∂f/∂a。

e.将问题d中的第二个等式即约束条件对a求导。结果中有一项含有x,另一项只含有∂g/∂a。

f.把问题e中的结果乘上λ(拉格朗日乘数),并且运用问题c中的一阶条件,将这两个结果代入问题d的微分式中。应该可以得到:

这个等式就是在x取到最优值时,拉格朗日表达式的偏微分。这也就证明了包络定理。请在直觉上解释这一证明为何能够保证x被调整到最优值。

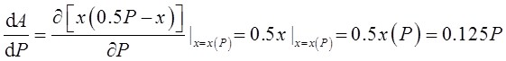
g.回过头来看例2.8,请解释如何在篱笆周长这个例子中运用包络定理,即篱笆周长P的变化如何影响篱笆包围的面积。使用包络定理说明,在这个例子中拉格朗日乘数是如何施加约束的。

解: a.这个最大化问题为:

构造拉格朗日函数:L=f(x 1 ,x 2 ,a)+λ·g(x 1 ,x 2 ,a)。

一阶条件为:

b.包含x的两个一阶条件相加得:f 1 +f 2 +λ(g 1 +g 2 )=0。

c.将问题b中的求和式对a求导得:

d.将目标函数对a求导得:

e.将约束条件对a求导得:

f.将②乘以λ再加入①式,有:

因为x 1 (a),x 2 (a)表示f取极值时与a对应的x,因此f 1 +λg 1 =0,f 2 +λg 2 =0。所以

从直观上解释,这一证明是从拉格朗日表达式中推导出来的,因此能够保证x取到最优值。

g.根据例2.8有:面积A=xy,约束条件为P=2x+2y,所以A=x(0.5P-x),从而

即周长P增加一个单位时,面积增加0.125P个单位。拉格朗日乘数通过f 1 +f 2 +λ(g 1 +g 2 )=y+x-4λ=0施加约束,由此可求得拉格朗日乘数为λ=0.25(x+y)=0.125P。

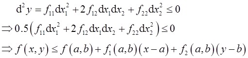
13 泰勒逼近

泰勒定理说的是任意函数在任意光滑点附近都可以用一系列原函数及微分的线性组合近似表示。下面我们看一下泰勒定理在一元函数和二元函数中的运用。

a.任意连续和可导的一元函数f(x),在a点附近可以用下列公式逼近:f(x)=f(a)+f′(a)(x-a)+0.5f″(a)(x-a) 2 +f‴,f‴′,…中的项。

仅采用前三项则称其为二次泰勒逼近。使用二次泰勒逼近和凹函数定义说明:任何凹函数要么正好在a点的切线上,要么在a点的切线下方。

b.任意二元函数f(x,y)在点(a,b)处的二次泰勒逼近为:

f(x,y)=f(a,b)+f 1 (a,b)(x-a)+f 2 (a,b)(y-b)+0.5[f 11 (a,b)(x-a) 2 +2f 12 (a,b)(x-a)(y-b)+f 22 (y-b) 2 ]

同样地,使用上述逼近说明:任意的凹函数[由(2.84)式定义]要么正好在点(a,b)的切线上,要么在点(a,b)的切线下方。

解: a.f(x)在a点的二次泰勒逼近式为f(x)=f(a)+f′(a)(x-a)+0.5f″(a)(x-a) 2

因为f″(a)<0,(x-a) 2 >0可得f(x)≤f(a)+f′(a)(x-a)。

上面的方程表明的是f(x)在a点的切线方程,因此,任何凹函数要么位于a点的切线上,要么在该点切线的下方。

b.f(x,y)在(a,b)点的二次泰勒逼近式为:

f(x,y)=f(a,b)+f 1 (a,b)(x-a)+f 2 (a,b)(y-b)+0.5[f 11 (a,b)(x-a) 2 +2f 12 (a,b)(x-a)(y-b)+f 22 (y-b) 2 ]

根据凹函数的性质,有

上面的方程表明的是f(x,y)在(a,b)点的切线方程,因此,任何凹函数要么位于(a,b)点的切线上,要么在该点切线的下方。

14 了解更多关于期望的知识

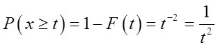
由于期望这个概念在经济学理论中有很重要的作用,因此我们将会在这里进一步总结这个统计学概念的性质。在这个问题中,我们假设x是一个连续随机变量,概率密度函数为f(x)。

a.(詹森不等式)假设g(x)是一个凹函数,证明E[g(x)]≤g[E(x)]。提示:在点E(x)处作函数g(x)的切线。这个切线的性质是,对所有的x和c+dE(x)=g[E(x)],都有c+dx≥g(x),其中c和d是常数。

b.用问题a中的方法证明如果g(x)是凸函数,那么E[g(x)]≥g[E(x)]。

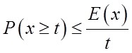
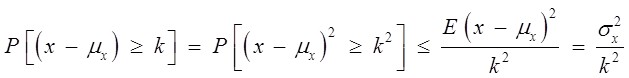
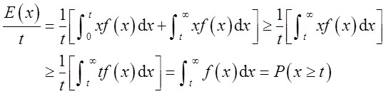
c.假设x只能取非负值,即0≤x,使用分部积分法证明:

式中,F(x)是x的累积分布函数[即 ]。

d.(马尔科夫不等式)证明如果x只能取正值,则下面的不等式成立:

提示:

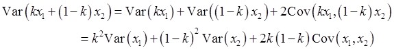
e.考虑概率密度函数f(x)=2x 3 ,其中x≥1。

(1)证明上述函数确实是一个概率密度函数。

(2)求出其累积分布函数F(x)。

(3)使用问题c中的结果计算其期望E(x)。

(4)证明这个函数满足马尔科夫不等式。

f.在一些经济学问题中会用到条件期望这个概念。我们把在某些事件发生的条件下x的期望表示为E(x∣A)。计算条件期望需要知道在事件A发生的条件下x的概率密度函数[用f(x∣A)表示],可表述为

下面我们用一个例子来说明这些关系。

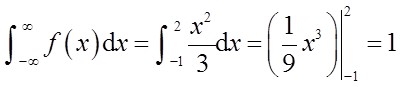
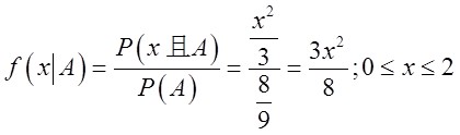
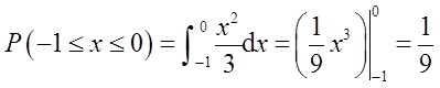
令f(x)=x 2 /3,其中-1≤x≤2。

(1)证明上述函数是一个概率密度函数。

(2)计算期望E(x)。

(3)计算-1≤x≤0的概率。

(4)将事件0≤x≤2记为事件A,求解f(x∣A)。

(5)计算E(x∣A)。

(6)请直观地解释你的计算结果。

证明: a.在点E(x)处作函数g(x)的切线,则对所有x和c+dE(x)=g[E(x)]有c+dx≥g(x)。

因此E[g(x)]≤E(c+dx)=c+dE(x)=g[E(x)]。

b.在点E(x)处作函数g(x)的切线,则对所有x和c+dE(x)=g[E(x)]有c+dx≤g(x)。

因此E[g(x)]≥E(c+dx)=c+dE(x)=g[E(x)]。

c.

所以,对于0≤x,有

d.马尔科夫不等式证明如下:

e.(1)对任意x≥1,有f(x)>0,且

所以,f(x)是密度函数。

(2)f(x)的累积分布函数

(3)f(x)的期望函数

(4)因为

又x≥1,则有 ,从而

所以,f(x)满足马尔科夫不等式。

f.(1)对任意-1≤x≤2,有f(x)=x 2 /3≥0,且

所以,f(x)是概率密度函数。

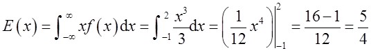
(2)f(x)的期望函数

(3)

(4)

(5)

(6)由以上结果可知:要消除x的最低值,应增加剩余值的预期值。

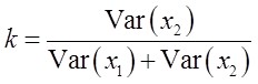
15 了解更多关于方差的知识

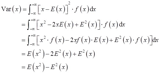
从随机变量方差的定义式出发,可以推导出一些结论。

a.证明Var(x)=E(x 2 )-[E(x)] 2

b.使用马尔科夫不等式(本章课后习题第14题问题d)证明下面的不等式成立,其中x为非负数:

这一结果告诉我们,一个随机变量偏离期望的程度是有限制的。令k=hσ,上述结果可以转化为:

因此,举个例子,一个随机变量偏离其期望超过两个标准差的概率永远小于0.25,这个结果也被称为切比雪夫不等式。

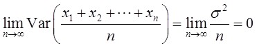
c.(2.183)式说明,如果两个(或两个以上)的随机变量是独立的,那么它们的和的方差等于方差的和。把这一结果推广到n个独立随机变量,每个随机变量的期望和方差都是μ和σ 2 ,这n个随机变量的和的期望为nμ,方差为nσ 2 。这n个随机变量的均值的期望为μ,方差为σ 2 /n。这有时被称为大数定理(the law of large numbers):随着随机变量个数的增加,其均值的方差会逐渐收敛到0。

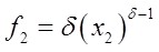
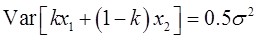
d.利用问题c的结果证明,如果x 1 和x 2 是两个同期望、同方差的独立随机变量,这两个随机变量的加权平均值X=kx 1 +(1-k)x 2 (0≤k≤1)的方差在k=0.5时取到最小值。那么合理设置k的取值能够使X的方差减少多少?

e.如果两个随机变量的方差不相等,那么问题d中的结果会发生怎样的变化?

解: a.根据方差的数学定义得:

b.根据马尔科夫不等式,有:

令k=hσ,则有:

c.如果两个(或两个以上)的随机变量是独立的,即:如果x,y相互独立,则有Var(x+y)=Var(x)+Var(y)。

对于相互独立的n个随机变量,其期望和方差满足:E(x i )=μ,Var(x i )=σ 2 ,i=1,2,…,n。

则这n个随机变量和的期望和方差分别为:

E(x 1 +x 2 +…+x n )=E(x 1 )+E(x 2 )+…+E(x n )=nμ

Var(x 1 +x 2 +…+x n )=Var(x 1 )+Var(x 2 )+…+Var(x n )=nσ 2

这n个随机变量的均值的期望和方差分别为:

E[(x 1 +x 2 +…+x n )/n]=[E(x 1 )+E(x 2 )+…+E(x n )]/n=μ

Var[(x 1 +x 2 +…+x n )/n]=[Var(x 1 )+Var(x 2 )+…+Var(x n )]/n 2 =nσ 2 /n 2 =σ 2 /n

随着随机变量个数n的增加,其均值方差的极限为:

d.由题意得,X的方差为:Var[kx 1 +(1-k)x 2 ]=[k 2 +(1-k) 2 ]·σ 2 =(2k 2 -2k+1)·σ 2

一阶条件满足:(4k-2)·σ 2 =0。

解得,k=0.5,又二阶导数为4σ 2 ≥0,所以此时X的方差达到最小值,为:

e.此时,方差为

一阶条件满足:

解得:

16 了解更多关于协方差的知识

这里介绍一些与随机变量x 1 和x 2 的协方差有关的关系式。

a.证明Cov(x 1 ,x 2 )=E(x 1 x 2 )-E(x 1 )E(x 2 ),上述关系的一个重要应用就是:当Cov(x 1 ,x 2 )=0时,E(x 1 x 2 )=E(x 1 )E(x 2 ),即随机变量乘积的期望等于这两个随机变量期望的乘积。

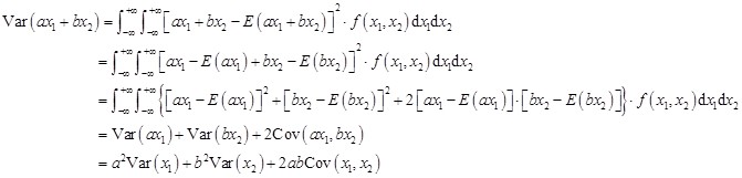
b.证明Var(ax 1 +bx 2 )=a 2 Var(x 1 )+b 2 Var(x 2 )+2abCov(x 1 ,x 2 )。

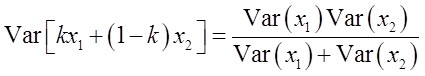
c.在本章课后习题第15题问题d中,我们计算了X=kx 1 +(1-k)x 2 (0≤k≤1)的方差。如果Cov(x 1 ,x 2 )≠0,那么上面的结论——当k=0.5时,X的方差最小是否还成立?

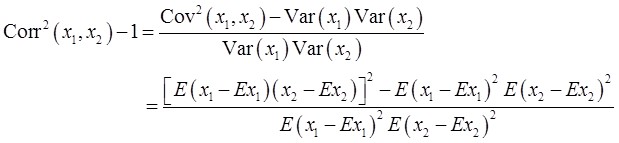
d.两个随机变量的相关系数定义为:

分别从数学上和直观上解释为什么-1≤Corr(x 1 ,x 2 )≤1。

e.假设随机变量y是x的线性变换y=α+βx。证明:

这里,β也被称为y关于x的回归系数。如果使用真实数据,上述表达式也被称为普通最小二乘(OLS)回归系数。

解: a.根据协方差数学定义得:

当Cov(x 1 ,x 2 )=0时,有:E(x 1 x 2 )=E(x 1 )·E(x 2 )。

b.由方差的定义得:

c.此时,有:

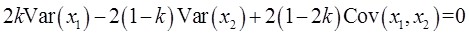
一阶条件为:

解得:

且二阶导数为:4Var(x 1 )-4Cov(x 1 ,x 2 )≥0,因此结论依然成立。

d.有:

根据柯西-施瓦茨不等式,有:

因此:Corr 2 (x 1 ,x 2 )≤1。

所以-1≤Corr(x 1 ,x 2 )≤1。

从直观上理解,相关系数度量的是两个变量之间的相关关系,当两个变量之间正线性相关时,相关关系最强,此时相关系数为1;当两个变量之间负线性相关时,相关关系最弱,此时相关系数为-1。两个变量之间的相关关系介于正线性相关和负线性相关之间,因此相关系数介于-1到1之间。

e.随机变量y是x的线性变换y=α+βx时,y和x的相关系数为:

由于y与x正线性相关,所以Corr(x,y)=1,从而 Oc9YvgGYKgRtFOghHqN340ELMbNc3RuLM0Fd7R9HZHTiqGYJv4jZgi3vQYFBcGqG

点击中间区域
呼出菜单
上一章
目录
下一章
×