购买
下载掌阅APP,畅读海量书库
立即打开
畅读海量书库
扫码下载掌阅APP

第2章
微观经济学中的数学工具

2.1 复习笔记

1 一元函数最大值问题

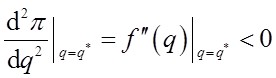
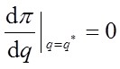
假设企业能够获得的利润(π)仅取决于出售商品的数量(q),其数学表达为π=f(q),则利润最大化的产量q必须满足以下两个条件:

(1)最大化的一阶条件(必要条件):对于上述一元函数,如果在某一点q * 取到最大值,则该函数的导数(如果存在)在该点必为零,即

(2)最大化的二阶条件(必要条件):在满足一阶导数等于零的条件下,并不能保证该点为极大值点,还必须满足二阶导数小于零,即

上述两个条件同时满足才构成最大化的充分条件。

2 多元函数的最值问题

多元函数f(x 1 ,x 2 ,…,x n )取最大值(或者最小值)的必要条件是,对于任意x的微小变化的组合都有dy=0,这样该点必有:f 1 =f 2 =…=f n =0,此为极值的一阶条件。但这个条件并不能保证最大化,还需要考察该点处的二阶偏导数是否满足自身的二阶偏导数为负,如果满足才能保证最大化。

3 包络定理

在经济分析中,人们常常要考察经济中的某些参数的变化对目标函数(最大值)的影响,如一商品价格的变化对消费者的效用的影响,一投入要素价格的变化(或要素禀赋的变动)对厂商收入(或利润)的影响,此时,包络定理为这种分析提供了方便。

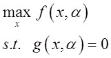
考察如下一个最优化问题:

其中,x为n维向量,参数α为m维向量。

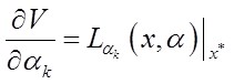
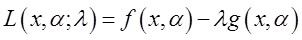
定义值函数和拉格朗日函数分别为:

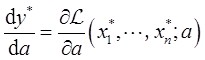
包络定理可以表示为:

即参数α k 对最大值函数(目标函数的最大值)的影响,就等于拉格朗日函数直接对参数α k 求偏导数,并且在最优解x * 处取值。

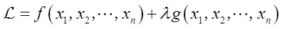
4 有约束条件的最大化问题

求解具有约束条件最大化问题的一种方法是拉格朗日乘数法。假设求解x 1 ,x 2 ,…,x n 的值,以便最大化下式:y=f(x 1 ,x 2 ,…,x n )。

其中部分自变量是有限制的,但可以将约束条件一般性地记为:g(x 1 ,x 2 ,…,x n )=0。

构造拉格朗日函数:

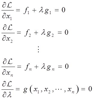
有一阶条件为:

上述方程能够解出x 1 ,x 2 ,…,x n 和λ的值。此解满足两个性质:第一,x服从约束条件;第二,所有服从上述一阶条件的x使得 与y尽可能大。

5 有约束条件下的最大化问题中的包络定理

假设要使以下函数达到最大化:

y=f(x 1 ,x 2 ,…,x n ;a)

其变量服从约束条件:g(x 1 ,x 2 ,…,x n ;a)=0。

函数f与g对参数a具有依赖性,可以构造拉格朗日函数:

求解最优值x 1 * ,…,x n * 的一阶条件,它可以表示为:

这说明对拉格朗日函数求偏导数并代入极值点数据,就是参数a的改变对最优值y的影响。在利用拉格朗日函数求解有约束条件下的问题和无约束条件的问题时,包络定理作用相同。

6 齐次函数

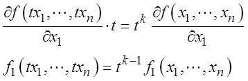
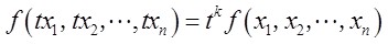
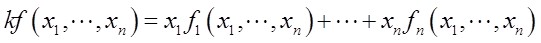
研究自变量发生等比例变动时函数值的变化规律问题,往往需要用到齐次函数。对于一个多元函数f(x 1 ,x 2 ,…,x n ),若对任意正数t,满足:

则称其为k次齐次函数。

(1)齐次函数的偏导数

一个k次齐次可微函数的各个偏导数都是k-1次齐次的。例如,对齐次函数表达式的两边分别关于x 1 求偏导数,有:

显然f 1 是k-1次齐次的。

(2)欧拉定理

欧拉定理是齐次函数的另一个重要性质。对齐次函数表达式的两边分别对t求偏导得:

令t=1,有

上式(欧拉定理)说明齐次函数的值与各个偏导数都有确定的关系。

(3)位似函数

位似函数是通过对齐次函数进行任意的单调映射得到的,其保持了原函数自变量到函数值对应的序关系,即对于函数f,若一组自变量对应的函数值比另一组大,则单调映射后前者的函数值仍大于后者。此外,位似函数还有一个重要性质,即函数各个自变量之间的隐含替代关系与绝对值无关,只取决于自变量之间的比例。考虑到单调映射形式的多样性,除上述性质外,其余很多性质都可能不再成立。

定积分的微分运算规律:对积分变量求微分;对积分上限求微分;对非积分变量求微分。

7 动态最优化

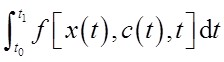
(1)最优控制问题

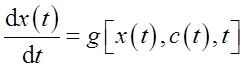
假设一个决策者需要找到变量x(t)在时间区间[t 0 ,t 1 ]内的最优时间路径,用一个微分方程来表示x随t的变化规律:

其中,变量c(t)被用于“控制”x(t)的变化。假设在t时期内,决策者得到的收益为f[x(t),c(t),t],目标为最大化

(2)最大值原理

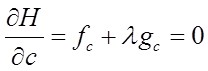
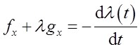
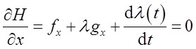
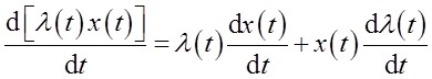
单一时间点上决策者不仅仅需要关注目标函数的现值,还需要考虑x(t)值的隐性变化。假设x(t)的现值为λ(t)x(t),它的即时变化率是:

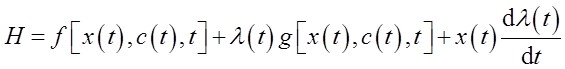
同时,在任意时间t,决策者整体关注的函数为:

上式达到最优化需要满足的条件为:

或者

或者

上述的两个最优化条件被称为最大值原理。

8 数理统计

微观经济学理论关注的不确定性和不完全信息问题与数理统计息息相关。随机变量分为离散随机变量和连续随机变量。对随机变量而言,使用概率密度函数(PDF)表示其每一个特定结果出现的概率,且需要满足f(x)≥0与函数值求和(或者积分)为1的条件。常用的概率密度函数有:二项分布、均匀分布、指数分布和标准正态分布。 vjGZBXumfyTxCFZLHr9s6HkZGbGtgQwFtxP4K4/MC2ZhIigoGqSwzOpxidwLwyYW

点击中间区域
呼出菜单
上一章
目录
下一章
×