购买
下载掌阅APP,畅读海量书库
立即打开
畅读海量书库
扫码下载掌阅APP

第5章
收入效应与替代效应

5.1 复习笔记

1 需求函数及其性质

(1)需求函数

一般地,普通需求函数又称马歇尔需求函数,它反映了在给定的(各种商品的)价格与收入下,能使消费者实现效用最大化的各种商品的需求量,因而是价格与收入的(向量)函数。

(2)需求函数的性质

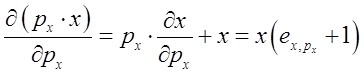
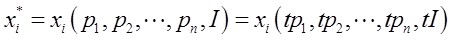
一般而言,需求函数关于价格p和收入I是零次齐次的,即对任何商品x i ,在t>0时有:

其原因在于,当价格和收入同时发生相同比例的变化时,消费者的预算约束没有发生实质性的变化,因而理性的消费者也不会改变其最优消费选择,也说明“纯”通货膨胀不会影响消费者的需求。

2 收入变化对消费者最优选择的影响

(1)收入变化与正常品、劣等品(见表5-1)

收入变化会引起消费者预算线的平行移动,从而引起消费者最优消费选择发生相应的变化。根据收入变化时消费变化的方向,可以对商品进行分类,具体如表5-1所示。

表5-1 收入变化与正常品、劣等品

(2)恩格尔定律

恩格尔定律是一个统计规律,是指在一个家庭或在一个国家中,食物支出在收入中所占的比例随着收入的增加而减少。用弹性的概念来表述该定律为:对于一个家庭或一个国家来说,富裕程度越高,则食物支出的收入弹性就越小;反之,则越大。

3 价格变化对消费者最优选择的影响

(1)吉芬商品

吉芬商品是指这样的一种商品,如果该商品的价格上升,消费者对它的需求量上升;当它的价格下降时,消费者对它的需求量也下降。用需求函数的偏导数表达就是:

(2)价格变化所引起的希克斯替代效应与收入效应

①替代效应与收入效应的含义

替代效应是指由商品的价格变动所引起的商品相对价格的变动,进而由商品的相对价格变动所引起的商品需求量的变动。

收入效应是指由商品的价格变动所引起的实际收入水平变动,进而由实际收入水平的变动所引起的商品需求量的变动。

②正常品的替代效应和收入效应

图5-1(a)中的横轴OX 1 和纵轴OX 2 分别表示商品1和商品2的数量,其中,商品1是正常品。商品1的价格P 1 下降前的消费者的效用最大化的均衡点为a,P 1 下降后消费者的均衡点为b。价格下降所引起的商品1的需求量的增加量为X 1 ′X 1 ‴,这便是价格下降所引起的总效应。这个总效应可以被分解为替代效应和收入效应两个部分。

替代效应: 作一条平行于预算线AB′且与无差异曲线U 1 相切的补偿预算线FG。FG与U 1 相切,表示假设的货币收入的减少(预算线的位置由AB′向左平移到FG表示)刚好能使消费者回到原有的效用水平。FG与AB′平行,则这两条预算线有相同的斜率,表示商品1价格和商品2价格的一个相同的比值P 1 /P 2 ,而且,这个商品的相对价格P 1 /P 2 是商品1的价格P 1 变化以后的相对价格。补偿预算线FG与U 1 相切于均衡点c,与原来的均衡点a相比,需求量的增加量为X 1 ′X 1 ″,这个增加量就是在剔除了实际收入水平变化影响以后的替代效应。进一步地,就预算线AB和补偿预算线FG而言,它们分别与无差异曲线U 1 相切于a、c两点,但斜率却是不相等的。预算线AB的斜率绝对值大于补偿预算线FG,AB所表示的商品的相对价格P 1 /P 2 大于FG,当AB移至FG时,随着商品的相对价格P 1 /P 2 的变小,消费者为了维持原有的效用水平,会沿着既定的无差异曲线U 1 由a点下滑到c点,增加对商品1的购买而减少对商品2的购买,即用商品1去替代商品2。于是,由a点到c点的商品1的需求量的增加量X 1 ′X 1 ″,便是P 1 下降的替代效应。

收入效应:把补偿预算线FG再移到AB′的位置上去,于是,消费者的效用最大化的均衡点就会由无差异曲线U 1 上的c点回到无差异曲线U 2 上的b点,相应的需求量的变化量X 1 ″X 1 ‴就是收入效应。

图5-1(a) 正常品的替代效应和收入效应

③劣等品的替代效应和收入效应

图5-1(b)中的横轴OX 1 和纵轴OX 2 分别表示商品1和商品2的数量,其中,商品1是低档商品。商品1的价格P 1 下降前后的消费者的效用最大化的均衡点分别为a、b点,因此,价格下降所引起的商品1的需求量的增加量为X 1 ′X 1 ″,这是总效应。作与预算线AB′平行且与无差异曲线U 1 相切的补偿预算线FG,将总效应分解成替代效应和收入效应。P 1 下降引起的商品相对价格的变化,使消费者由均衡点a运动到均衡点c,相应的需求增加量为X 1 ′X 1 ‴,这就是替代效应,它是一个正值。而P 1 下降引起的消费者的实际收入水平的变动,使消费者由均衡点c运动到均衡点b,需求量由X 1 ‴减少到X 1 ″,这就是收入效应,它是一个负值。

图5-1(b) 劣等品的替代效应和收入效应

对劣等品来说,替代效应与价格成反方向的变动,收入效应与价格成同方向的变动,而且,在大多数的场合,收入效应的作用小于替代效应的作用,总效应与价格成反方向的变动,相应的需求曲线是向右下方倾斜的。但是,在少数场合下,某些劣等品的收入效应的作用会大于替代效应,这种特殊的劣等品就是吉芬商品。

④吉芬商品的替代效应和收入效应

图5-1(c)中的横轴OX 1 和纵轴OX 2 分别表示商品1和商品2的数量,其中,商品1是吉芬商品。商品1的价格P 1 下降前后的消费者的效用最大化的均衡点分别为a点和b点,相应的商品1的需求量的减少量为X 1 ′X 1 ″,这就是总效应。通过补偿预算线FG可得:X 1 ″X 1 ‴为替代效应;X 1 ′X 1 ‴是收入效应,它是一个负值。而且,负的收入效应X 1 ′X 1 ‴的绝对值大于正的替代效应X 1 ″X 1 ‴的绝对值,所以,最后形成的总效应X 1 ′X 1 ″为负值。在图5-1(c)中,a点必定落在b、c两点之间。对吉芬商品来说,替代效应与价格成反方向变动,收入效应与价格成同方向变动,但收入效应的作用大于替代效应的作用,总效应与价格成同方向变动,相应的需求曲线就呈现向右上方倾斜的特殊形状。

图5-1(c) 吉芬商品的替代效应和收入效应

(3)马歇尔需求曲线与希克斯补偿性需求曲线

①马歇尔需求曲线

马歇尔需求曲线是在其他条件不变情况下,商品需求量与其价格之间的数量关系。此处的“其他条件不变”是指消费者的收入、偏好及其他商品的价格不变。在这样的假定下,可利用无差异曲线、预算线及效用最大化条件推导出在各种不同价格水平下消费者对某种商品的需求量,在“价格-需求”坐标系中将这些点连接起来即可得到该商品的需求曲线。马歇尔需求曲线的图形推导如图5-2所示。

图5-2 马歇尔需求曲线的推导

②补偿性需求曲线(希克斯需求曲线)

补偿性需求曲线是在保持消费者效用和其他商品价格不变的条件下,消费者对商品的需求量和商品价格之间的关系的轨迹。补偿性需求曲线的图形推导如图5-3所示。

图5-3 补偿性需求曲线的推导

③两者之间的关系

马歇尔需求(x)和补偿性需求(x c )满足关系x c (p x ,p y ,U)=x[p x ,p y ,E(p x ,p y ,U)]。马歇尔需求曲线和补偿性需求曲线如图5-4所示。一般地,对于正常品而言,马歇尔需求曲线比补偿性需求曲线平坦,这是因为马歇尔需求既包括替代效应,又包括收入效应;而补偿性需求仅仅包括替代效应。

图5-4 正常品的马歇尔需求曲线和补偿性需求曲线

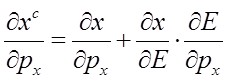
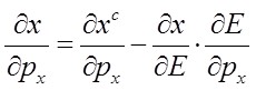
(4)价格变化效应的数学方法——斯拉茨基方程

由马歇尔需求(x)与补偿性需求(x c )之间的关系式:

x c (p x ,p y ,U)=x[p x ,p y ,E(p x ,p y ,U)]

对商品x的价格求导可得:

从而可得斯拉茨基方程为:

其中, 为商品x价格变化的总效应;

为替代效应;

为收入效应。

斯拉茨基方程可写为:

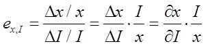
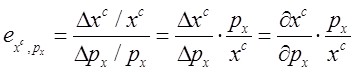
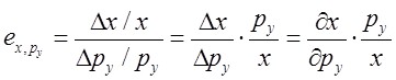
(5)价格与收入弹性

①需求价格弹性:

②需求收入弹性:

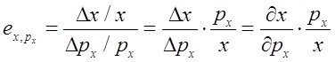
③需求交叉价格弹性:

④需求价格弹性与总支出之间的关系:

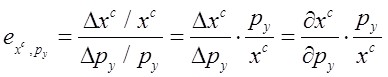
⑤补偿性需求自身价格弹性:

⑥补偿性需求交叉价格弹性:

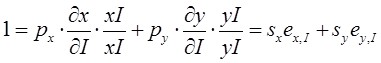
⑦需求价格弹性与需求收入弹性之间的关系(齐次性):

⑧恩格尔加和:

其中 分别为商品x与y的支出份额。

⑨古诺加和:

4 显示偏好理论

显示性偏好理论是由保罗·萨缪尔森提出来的,其基本思路是:消费者在一定价格条件下的购买行为暴露了或显示了他内在的偏好倾向。因此可以根据消费者的购买行为来推测消费者的偏好。这是一种不基于“偏好关系(效用函数)→消费者选择”的逻辑思路,而是一个相反的过程,即“消费者选择→偏好关系”。

(1)显示偏好原理

设消费者在价格为(p 1 ,p 2 )时购买的商品束为(x 1 ,x 2 ),如果另一个商品组合(y 1 ,y 2 )满足如下条件:p 1 x 1 +p 2 x 2 ≥p 1 y 1 +p 2 y 2

在这种情况下,若消费者总是在他能够购买的商品束中选择他最偏好的商品束,则一定有:

这就是显示偏好原理。

(2)直接显示偏好

假设(x 1 ,x 2 )是消费者在收入为m时按价格(p 1 ,p 2 )购买的商品束,并且消费者总是花尽所有的收入,因此有等式形式的预算约束p 1 x 1 +p 2 x 2 =m。又设(y 1 ,y 2 )是在收入既定条件下有能力购买的商品束,这就意味着它满足如下不等式预算约束:p 1 x 1 +p 2 x 2 ≥p 1 y 1 +p 2 y 2

如果这一不等式成立,且(y 1 ,y 2 )确实是不同于(x 1 ,x 2 )的商品束,就称(x 1 ,x 2 )直接显示偏好于(y 1 ,y 2 ),记作:

如图5-5所示。

图5-5 直接显示偏好

(3)间接显示性偏好

如果(x 1 ,x 2 )直接显示偏好于(y 1 ,y 2 ),(y 1 ,y 2 )直接显示偏好于(z 1 ,z 2 ),则称(x 1 ,x 2 )间接显示偏好于(z 1 ,z 2 ),记作:

如图5-6所示。

图5-6 间接显示偏好

(4)显示偏好弱公理(WARP)与显示偏好强公理(SARP)(见表5-2)

表5-2 显示偏好弱公理(WARP)与显示偏好强公理(SARP)

5 消费者剩余

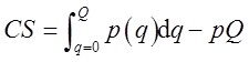
(1)消费者剩余的含义

消费者剩余是指对于一件商品,消费者所愿意作出的最大支付与他的实际支付之间的差额。假设消费者的需求曲线是p(q),则消费者剩余CS可以表示为:

其中 表示需求曲线下方的面积,即消费者愿意作出的最大支付,pQ由矩形代表,是消费者的实际支付,由此可用需求曲线以下,价格轴以上的面积表示消费者剩余。

(2)消费者剩余的变化

消费者剩余的变化为:ΔCS=CS(Q 2 )-CS(Q 1 )。

图5-7可以细分引起消费者剩余变化的原因。如图5-7所示,消费者剩余的变化由两个小区域,即由R表示的矩形区域和由T表示的不精确的三角形区域构成。其中矩形损失是由于涨价导致消费量减少,从而使消费者要对他继续消费的每单位商品支付更多的货币造成的;三角形损失则是由于消费数量减少而造成的。所以消费者的总损失是这两个效应之和。

图5-7 消费者剩余的变化

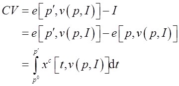
(3)补偿变化与等价变化

补偿变化(CV)和等价变化(EV)的共同特点都是用货币的变化量衡量消费者剩余的变化。补偿变化是指价格变化后,要使消费者的境况同价格变化前一样好,他必须得到的货币补偿数量。等价变化是指在价格变化前,使消费者的境况变得和价格变化后一样好而必须减少的他现在持有的货币数量。

利用支出函数和希克斯需求函数,等价变化和补偿变化也可以表示为:

图5-8 EV、CV和消费者剩余

从图5-8中可以看出,EV=A+D,CV=A+B+C+D,CS=A+B+D,所以消费者剩余的变化介于等价变化和补偿变化之间。 nlEM8yrq2MoPGd/TSNFHid71lZAzZBWEuQ1ABJu2biATBcsPZsVoZdmTIp6i95Mq

点击中间区域
呼出菜单
上一章
目录
下一章
×