购买
下载掌阅APP,畅读海量书库
立即打开
畅读海量书库
扫码下载掌阅APP

4.2 课后习题详解

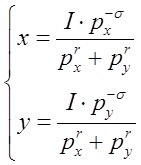
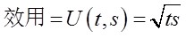
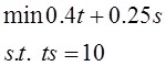
1 三年级学生保罗每天在学校用午餐,他只喜欢奶油小蛋糕(t)和苏打水(s),他从中得到的效用为:

a.如果每份奶油小蛋糕0.1美元,每杯苏打水0.25美元,为使效用最大化,保罗应如何将妈妈给他的1美元伙食费分配在这两种食品上?

b.学校为了减少对奶油小蛋糕的消费,将其价格提高到每份0.4美元,那么为了让保罗得到与问题a相同的效用,妈妈要多给他多少美元的伙食费?

解: a.对效用函数 进行单调变换,令

这并不改变偏好次序。

保罗效用最大化问题为:

设拉格朗日函数为:L(s,t,λ)=ts+λ(1-0.1t-0.25s)。

一阶条件为:

解得: s=2,t=5。

因此,他所获得的效用为:

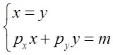
b.消费品奶油小蛋糕价格提高了,但效用水平却保持不变,则保罗面临如下的支出最小化问题:

设拉格朗日函数为:L(s,t,λ)=0.4t+0.25s+λ(10-ts)。

一阶条件为:

由前两个一阶条件可得:s/t=1.6,又因为st=10,由此解得t=2.5,s=4,则最小支出为:m 1 =0.4×2.5+0.25×4=2,所以妈妈现在要多给他1美元伙食费使他的效用水平保持不变。

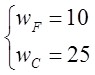
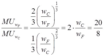
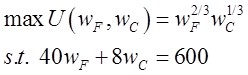
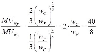
2 a.一位年轻的品酒师欲支出600美元建一座小酒窖,她特别喜欢两种酒:一种是2001年产的法国波尔多白葡萄酒(w F ),每瓶为40美元;另一种是稍便宜的2005年产的加利福尼亚葡萄酒(w C ),每瓶为8美元。如果她的效用函数如下式所示,那么她应该在每种酒上花多少钱?

b.当品酒师来到酒店时,她发现由于欧元贬值,法国波尔多白葡萄酒已经降到每瓶20美元,如果加利福尼亚葡萄酒依旧是8美元一瓶,那么此时,在价格已变的条件下,为达到效用最大化,每种酒的购买量应为多少?

c.解释为什么这个品酒师在b的情况下要比a更好。你如何用货币价值来衡量这个效用的增加?

解: a.由题意得,该品酒师的效用最大化问题为:

根据消费者均衡条件得:

联立预算方程解得:

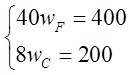
此时,消费者效用最大化时两种酒上的花费分别为:

即在法国波尔多白葡萄酒和加利福尼亚葡萄酒上的花费分别为400美元和200美元,此时该调酒师的效用达到最大化。

b.法国波尔多白葡萄酒(w F )已经降到每瓶20美元,此时的预算约束方程可写为:20w F +8w C =600。

利用问题a中的方法可得:

联立预算约束方程解得:

即调酒师效用最大化的每种酒的购买量分别为20,25。

c.在问题a中,效用U(10,25)=10 2/3 ×25 1/3 ≈13.6。在问题b中,效用U(20,25)=20 2/3 ×25 1/3 ≈21.5。因此,U(10,25)<U(20,25),即这个品酒师在b的情况下要比a更好。法国波尔多白葡萄酒(w F )降价,使得该调酒师对波尔多白葡萄酒的实际购买力增加,此时,货币的边际效用变得更大。

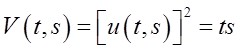
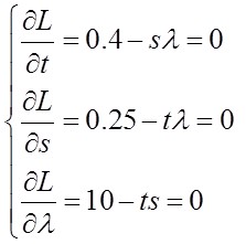
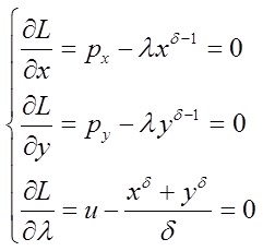
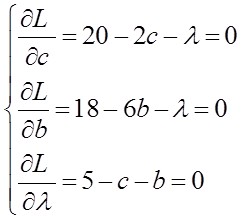
3 a.在某一个晚上,J.P.以下列函数的形式享用雪茄(c)和白兰地(b):

U(c,b)=20c-c 2 +18b-3b 2

那么他这个晚上要抽多少支雪茄、喝多少瓶白兰地才能得到最大效用(假定他不受预算约束)?

b.后来,J.P.的医生告诫他:每天喝的白兰地与抽的雪茄加起来不能超出5单位,在这一条件约束下,他会喝多少白兰地、抽多少雪茄呢?

解: a.在无约束下,J.P.的效用最大化问题为:

效用最大化的一阶条件为:

从而可知J.P.所获得的最大效用为:U=127。

b.J.P.所受的约束为:b+c=5,此时他的效用最大化问题为:

设拉格朗日函数为:L=20c-c 2 +18b-3b 2 +λ(5-c-b)。

一阶条件为:

从而可以解得:b=1,c=4,U=79。

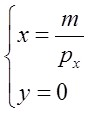
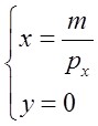
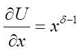
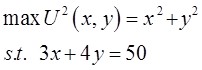
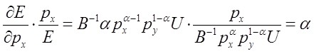
4 a.Odde Ball先生享用商品x与y所得的效用函数为:

如果p x =3美元,p y =4美元,而他的总收入为50美元,求他能获得的最大效用。提示:求U 2 的最大值要比求U的最大值方便得多。思考这种方法为什么不影响计算结果。

b.画出Ball先生的无差异曲线,并指出无差异曲线与预算线的切点。图形是如何描述Ball的行为的?你找到真正的最大值了吗?

解: a.因为U 2 可由U经过单调变换得到,所以,最大化U 2 同时也就是使U最大化。因此,Ball先生的效用最大化问题可以表述为:

由U 2 (x,y)=x 2 +y 2 可知,每增加一单位x或每增加一单位y带给Ball先生的效用是一样的;由p x =3<p y =4可知,当y=0时,Ball先生所得效用最大,解得x=50/3,U=50/3。

b.Ball先生的无差异曲线如图4-5所示,显然该无差异曲线没有递减的MRS。无差异曲线与预算线的切点如图4-5中的A点所示。在A点处,仅满足效用最大化的必要条件,但是不满足充分条件,因而A点不是一个局部最优点,效用最大化的点应该是B点,Ball将其所有的收入用于购买x,而y商品的购买为零。在这里,他的效用函数不是凸的,而是凹的。在偏好为凹的情况下,效用最大化点一定在边界上取得。

图4-5 Ball先生的无差异曲线

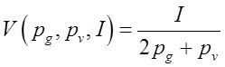
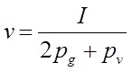
5 A先生从马丁尼酒(m)中所获得的效用与他对马丁尼酒的消耗量成正比:

U(m)=m

A先生特别喜欢马丁尼酒,但他只喜欢喝将杜松子酒(g)与苦艾酒(v)按2︰1的固定比例混合而成的马丁尼酒,因此,我们可以将A先生的效用函数改写为:

a.画出A先生以g与v为变量的各种效用水平下的无差异曲线,请说明无论这两种配料酒的价格如何,A先生永远不会改变他配制马丁尼酒的方法。

b.求出g与v的需求函数。

c.利用问题b的结论,求出A先生的间接效用函数。

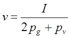
d.试计算A先生的支出函数。对于每一种效用水平,将支出表示成杜松子酒的价格p g 与苦艾酒的价格p v 的函数。提示:这个问题涉及固定比例的效用函数,因此你不能使用微积分来求解效用最大化问题。

解: a.A先生的无差异曲线如图4-6所示。无论商品g与v的相对价格(即预算线的斜率)如何,效用最大化的点始终是无差异曲线的折点,即满足0.5g=v也即g=2v的点。

图4-6 A先生的无差异曲线

b.将g=2v代入预算约束可得:p g g+p v v=I。

从而可以解得:

c.因为U=g/2=v,将

代入效用函数中,得间接效用函数为

d.利用对偶性可得,支出函数为:E(p g ,p v ,V)=I=(2p g +p v )V。

6 假设一个快餐爱好者的效用取决于三种商品:软饮料(x)、汉堡包(y)和冰激凌圣代(z)。根据柯布-道格拉斯效用函数,有:

U(x,y,z)=x 0.5 y 0.5 (1+z) 0.5

同时假设这些商品的价格为p x =1,p y =4,p z =8,且该消费者的收入I=8。

a.证明当z=0时,效用最大化得到的最优选择与例4.1相同。同时证明z>0(哪怕z非常小)时的任何最优选择都会使效用减少。

b.你如何解释z=0时达到最优这一事实?

c.为了购买z,这个人的收入要有多少?

解: a.当z=0时,效用函数为U(x,y,z)=x 0.5 y 0.5 ,根据柯布-道格拉斯效用函数的性质可得:

x * =αI/p x =0.5×8/1=4

y * =βI/p y =0.5×8/4=1

此时效用U=4 0.5 ×1 0.5 =2,与教材例4.1结果相同。

如果z=1,则U=0,因为x=y=0。

如果z略大于0(不妨设z=0.1),则根据柯布-道格拉斯效用函数的性质可得:

x=0.5×7.2/1=3.6

y=0.5×7.2/4=0.9

因而效用为:U=3.6 0.5 ×0.9 0.5 ×1.1 0.5 =1.89<U(z=0)=2。

b.在x=4,y=1,z=0处,有:MU x /p x =MU y /p y =0.25,MU z /p z =0.125。

因而在z=0处,从z获得的边际效用“不值”商品的价格。效用函数中的“1”导致了z在任何正的数量时已经具有递减的边际效用。商品z满足“互补松弛”原理。

c.如果收入I=40,则最优选择为:x=16,y=4,z=1(可以利用拉格朗日方法求解,此处略去)。为了找到在任何z处的购买量,可以利用柯布-道格拉斯函数的性质,即:p x x=p y y=p z (1+z)。

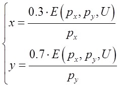
代入预算约束可得:2p z (1+z)+p z z=I或3p z z=I-2p z ,因此,对于z>0,必有I>2p z =16。

7 图4-7所示的一次总付原则不仅可以应用于税收,也可以应用于转移支付。这个问题研究该原则在此政策下的应用。

图4-7 税收中的一次总付原则

a.用与图4-7类似的图解释在政府支出相同的情况下,对一个人进行收入补贴比对商品x进行补贴能提供更多的效用。

b.用(4.52)式所示的柯布-道格拉斯支出函数,计算需要多少额外购买力才能将这个人的效用由U=2提升至U=3。

c.再次使用(4.52)式估算为了将这个人的效用由U=2提升至U=3,需要对商品x进行补贴的程度,并和问题b中得到的结果进行比较。

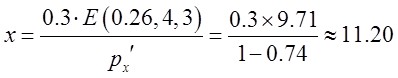
d.本章课后习题第10题要求你计算的支出函数是与比例4.4的情形更一般化的柯布-道格拉斯效用函数相对应的。当α=0.3(这个数字接近于低收入人群花费在食物上的收入份额)时,再次使用这个支出函数回答问题b和c。

e.如果使用(4.54)式所示的固定比例情况下的支出函数,你会如何修改对此问题的计算?

解: a.如图4-8所示,收入补贴可以使消费者预算线向右平行移动,在新的最优点C处消费者的效用要大于对商品x进行补贴后消费者达到最优点B处的效用,因此,相同数额的收入补贴比对商品x的补贴能够给消费者带来更大的效用。

图4-8 一次性收入补贴与对商品x补贴下消费者境况的比较

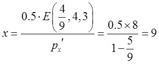
b.商品价格p x =1,p y =4。对于(4.52)式中的柯布-道格拉斯函数而言,其支出函数为:

当效用为U=2时,支出E(1,4,2)=2×1 0.5 ×4 0.5 ×2=8。

当效用为U=3时,支出E(1,4,3)=2×1 0.5 ×4 0.5 ×3=12。

要使这个人的效用由U=2提升至U=3所需要增加的支出为:ΔE=E(1,4,3)-E(1,4,2)=12-8=4。

c.当效用为U=2时,支出E(1,4,2)=2×1 0.5 ×4 0.5 ×2=8,设在此条件下,对x的补贴为r时才能达到U=3的效用水平。即有:E(1-r,4,3)=2×(1-r) 0.5 ×4 0.5 ×3=12(1-r) 0.5 =8。

解得: 对每单位x的补贴r=5/9。

在此补贴价格下,消费者将选择购买:

此时的总补贴金额为5/9×9=5,比问题b中的补贴额高5-4=1。

d.当α=0.3时,效用函数U(x,y)=x 0.3 y 0.7 ,最优的x和y的取值为:

将其代入效用函数,可求出对应的支出函数:

当个人的效用由U=2提升至U=3时,所需要增加的支出为:

ΔE=E(1,4,3)-E(1,4,2)=1.84×1 0.3 ×4 0.7 ×3-1.84×1 0.3 ×4 0.7 ×2≈14.57-9.71=4.86

同理可设在此条件下,对x的补贴为r时才能达到U=3的效用水平。即有:E(1-r,4,3)=1.84×(1-r) 0.3 ×4 0.7 ×3=14.57(1-r) 0.3 =9.71。

解得,对每单位x的补贴r≈0.74。

在此补贴价格下,消费者将选择购买:

此时的总补贴金额为0.74×11.20≈8.29,比问题b中的补贴额高8.29-4.86=3.43。

e.(4.54)式中的柯布-道格拉斯函数,其支出函数为:E(p x ,p y ,U)=(p x +0.25p y )U。

当效用为U=2时,支出E(1,4,2)=(1+0.25×4)×2=4。

当效用为U=3时,支出E(1,4,3)=(1+0.25×4)×3=6。

因而所需要增加的支出为2。

在支出为4时,要满足效用水平为3,需要政府对价格进行补贴,假设补贴后E(1-r,4,3)=(1-r+0.25×4)×3=4,解得r=2/3,故每单位需要补贴2/3。

在此价格下,消费者选择购买3个单位的x,政府补贴金额为2,价格补贴金额与在一次总付补贴下一致,因为固定比例下,消费者需求是固定比例,价格变化没有扭曲消费者行为。

8 考虑以下两个最简单的效用函数:

(1)固定比例效用函数:U(x,y)=min(x,y)

(2)完全替代效用函数:U(x,y)=x+y

a.分别对以上两个效用函数,计算:

·对于x和y的需求函数

·间接效用函数

·支出函数

b.根据问题a中的计算结果,解释它们为什么会是那样的形式。

解: a.设两种商品的价格分别为p x 、p y ,收入为m。

(1)对于固定比例效用函数U(x,y)=min(x,y),均衡的消费满足:

解得两种商品的需求函数分别为:

将上式代入效用函数可得间接效用函数:V(p x ,p y ,m)=m/(p x +p y )。

反解间接效用函数可得支出函数:E(p x ,p y ,U)=(p x +p y )U。

(2)对于完全替代效用函数U(x,y)=x+y,分三种情况讨论均衡的消费:

①当p x >p y 时,由于x和y相互替代,此时消费者只消费y,不消费x。

此时的需求函数:

间接效用函数:V(p x ,p y ,m)=m/p y

支出函数:E(p x ,p y ,U)=p y U。

②当p x <p y 时,由于x和y相互替代,此时消费者只消费x,不消费y。

此时的需求函数:

间接效用函数:V(p x ,p y ,m)=m/p x

支出函数:E(p x ,p y ,U)=p x U。

③当p x =p y 时,x和y无差异。

需求函数:x+y=m/p x =m/p y

间接效用函数:V(p x ,p y ,m)=m/p x =m/p y

支出函数:E(p x ,p y ,U)=p y U=p x U。

b.对于完全互补的两种商品来说,两种商品间按固定的比例进行消费,超出比例多消费任何一种商品都不会带来效用的增加,如果按1∶1比例进行消费的两种商品,那么其效用函数为U(x,y)=min(x,y),如图4-9所示;而对于完全替代的两种商品来说,两种商品间相互替代的比率是不变的,其效用函数为U(x,y)=x+y,如图4-10所示。

图4-9 完全互补

图4-10 完全替代

9 考虑包含两种商品的线性效用函数U(x,y)=ax+by,计算与之对应的支出函数。提示:不同的价格比率会造成支出函数的扭曲。

解: 由于两种商品的效用函数U(x,y)=ax+by,即此两种商品为完全替代品。设两种商品的价格分别为p x 、p y ,收入为m,预算约束方程为p x x+p y y=m。下面分三种情况进行讨论:

(1)当p x /p y >a/b时,此时商品x比y昂贵,最优选择满足:

此时的支出函数为:E(p x ,p y ,U)=p y U/b。

(2)当p x /p y <a/b时,此时商品x比y便宜,最优选择满足:

此时的支出函数为:E(p x ,p y ,U)=p x U/a。

(3)当p x /p y =a/b时,此时商品x与y无差异。

此时的支出函数为:E(p x ,p y ,U)=p x U/a=p y U/b。

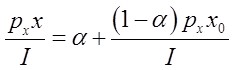
10 柯布-道格拉斯效用函数

例4.1中,我们用到了柯布-道格拉斯效用函数U(x,y)=x α y 1 α ,其中0≤α≤1。这个问题说明了该函数的一些其他属性。

a.计算柯布-道格拉斯情况下的间接效用函数。

b.计算这种情况下的支出函数。

c.明确解释为抵消x价格上升带来的影响,所需的补偿与指数α有怎样的关系。

解: a.对于柯布-道格拉斯效用函数,其相应的需求函数为:x=αI/p x ,y=(1-α)I/p y

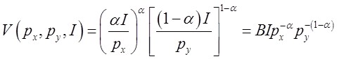
将需求函数代入效用函数中,得间接效用函数为:

其中B=α α (1-α) 1 α

b.利用对偶原理,可以从间接效用函数中解出支出函数为:

c.支出关于价格p x 的弹性值为:

即: x在效用函数中越重要,则支出份额中用于补偿其价格上涨的比例也越大。

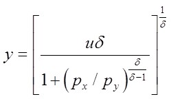
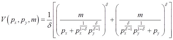
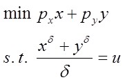
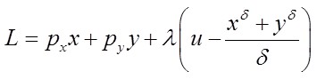
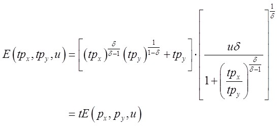
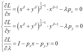
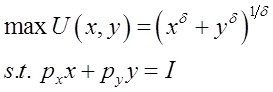
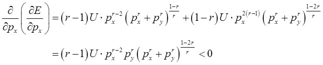
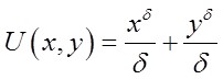
11 CES效用函数

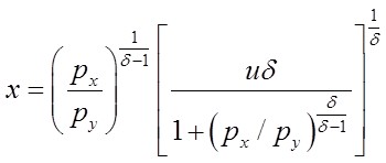
一般的CES效用函数可以表示为:

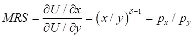
a.证明上述函数在约束条件下,效用最大化的一阶条件是消费者按一定比例选择商品,这个比例式为:

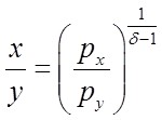
b.前面我们在讨论一些问题时已经说过:对于柯布-道格拉斯函数(δ=0),消费者将在x与y之间平等分配费用。证明问题a的结论也包含了这种情况。

c.p x x/p y y的值与δ的取值有何关系?直观地解释你的结论(如果要对此函数进行更深入的探讨,参见本章扩展部分E4.3)。

d.推导这种情况下的间接效用函数和支出函数,并运用齐次函数的性质加以检验。

解: a.对于此CES效用函数而言,在效用最大化时,有:

从而可以解得:

其中,σ=1/(1-δ)。

b.如果δ=0,则有x/y=p y /p x ,因而有p x x=p y y=m/2,其中,m为消费者收入,即消费者将在x与y之间平等分配费用。

c.由问题a可知

所以,当σ<1,即δ<0或δ>1时,收入中用于购买x的相对份额与其相对价格正相关;当σ>1,即0<δ<1时,收入中用于购买x的相对份额与其相对价格负相关;当σ=1,即δ=0时,消费者将在x和y商品之间平等分配收入,即

d.支出最小化问题为:

设拉格朗日函数为:

一阶条件为:

从而可以解得:

所以,支出函数为:

利用对偶性可得,间接效用函数为:

由齐次函数的性质,对于任意的t>0,可得:

所以,此支出函数是商品价格的一次齐次函数,间接效用函数是商品价格和收入的零次齐次函数。

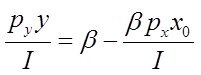
12 斯通-吉尔里效用函数(Stone-Geary Utility)

消费者需要一定量的食品(x)来维持生存,假设这个量为x 0 ,当购买x 0 的食品时,消费者从食品与其他商品(y)中得到的效用为:

U(x,y)=(x-x 0 α y β

其中α+β=1。

a.证明: 如果I>p x x 0 ,则为取得最大效用,消费者将会在食品x上花费α(I-p x x 0 )+p x x 0 ,在其他商品y上花费β(I-p x x 0 )。解释这个结果。

b.在这个问题中,随着收入增加,p x x/I和p y y/I将会怎样变化?(有关此效用函数的进一步讨论请参见本章扩展部分E4.2。)

解: a.如果x<x 0 ,则效用值为负,因而消费者将会首先支出p x x 0 。对于剩余的收入I-p x x 0 ,这是一个标准的柯布-道格拉斯效用函数最大化问题,从而有:p x (x-x 0 )=α(I-p x x 0 )。

解得:

p x x=α(I-p x x 0 )+p x x 0

p y y=β(I-p x x 0

b.由问题a以及预算约束条件可得:

因此,收入增加,则收入中用于购买x的比例将减少,用于购买y的比例将增加。

对I取极限可得:

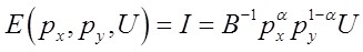
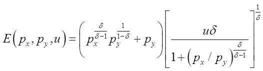
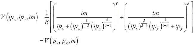
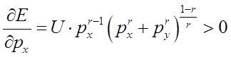
13 CES间接效用函数和支出函数

现在,我们讨论形式更标准的CES效用函数的间接效用函数和支出函数,函数形式如下:

U(x,y)=(x δ +y δ 1/δ

该函数的替代弹性σ=1/(1-δ)。

a.证明此函数的间接效用函数为:

V=I(p x r +p y r 1/r

其中r=δ/(δ-1)=1-σ。

b.证明问题a中计算出的函数是关于价格和收入的零次齐次函数。

c.证明此函数是收入的严格递增函数。

d.证明对于任何价格,该函数都是严格递减的。

e.证明此种情况下的CES效用函数的支出函数为:

E=V(p x r +p y r 1/r

f.证明问题e中计算出的函数是关于商品价格的一次齐次函数。

g.证明支出函数是关于任何价格的递增函数。

h.证明函数是任何价格的凹函数。

解: a.设两种商品的价格分别为p x 、p y ,收入为I,则消费者效用最大化问题:

构造拉格朗日函数:L=(x δ +y δ 1/δ +λ(I-p x x-p y y)。

一阶条件:

解得:

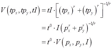
将上式代入U(x,y)=(x δ +y δ 1/δ ,得间接效用函数:V=I(p x r +p y r 1/r (其中r=δ/(δ-1)=1-σ)。

b.对于任意正数t>0,有:

所以说,函数V=I(p x r +p y r 1/r 是关于价格和收入的零次齐次函数。

c.∂V/∂I=(p x r +p y r 1/r >0,所以说此函数是收入的严格递增函数。

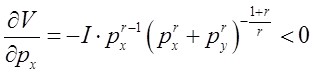
d.

同理可得 ,所以说,对于任何价格,此函数是严格递减的。

e.反解间接效用函数得此函数的支出函数:E=U(p x r +p y r 1/r

f.对于任意正数t>0,有:E(tp x ,tp y ,U)=U[(tp x r +(tp y r ] 1/r =t·E(p x ,p y ,U)。所以说,函数E=U(p x r +p y r 1/r 是关于商品价格的一次齐次函数。

g.

同理可得 ,所以说支出函数是关于任何价格的递增函数。

h.对支出函数关于p x 求二阶偏导数得:

所以说,此函数是任何价格的凹函数。

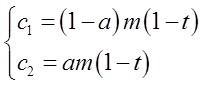
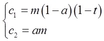
14 利他主义

米歇尔有一个相对高的收入I,并且他十分同情生活贫困、收入很低的索菲亚。假设米歇尔的偏好可由以下效用函数表示:

式中,c 1 、c 2 分别表示米歇尔和索菲亚的消费水平,函数形式和两商品的柯布-道格拉斯效用函数类似。假设米歇尔可以随意支配自己的收入,既可花在自己身上,也可花在索菲亚身上(通过慈善捐赠),并且1美元可为米歇尔或索菲亚带来1单位相等的效用(也就是说,消费的“价格”为p 1 =p 2 =1)。

a.通过讨论a=0和a=1时的极端情况,说明指数a可用于衡量“利他”程度。当a的值为多少时,米歇尔会是一个完美的利他主义者(把别人看作和自己同等重要)?

b.求解米歇尔的最优化选择,并说明其如何随着a的变化而变化。

c.假设所得税为t,求解此时米歇尔的最优化选择。在慈善捐款可税前扣除(用于慈善捐款的那部分收入不纳税)的情况下,米歇尔的选择会发生怎样的变化?对于利他主义程度高和程度低的两种人,慈善捐款扣除对哪一种人的激励作用更大?

d.回到没有税收的简单情况下,假设米歇尔的利他主义可由以下效用函数表示:

该式和前一章扩展部分E3.4相似,根据定义,米歇尔直接关心索菲亚的效用水平,间接关心索菲亚的消费水平。

(1)若索菲亚的效用函数和米歇尔是对称的,即

计算米歇尔的最优选择,并和问题b中的结果加以对比。米歇尔的利他主义程度是更大了还是更小了?解释这一结果。

(2)若索菲亚的效用函数为U 2 (c 2 )=c 2 ,重新分析上述问题。

说明: 在查阅英文版教材后,本书认为问题c中的“所得税为t”是指所得税税率,并据此进行解答。

解: a.当a=0和a=1时,此时米歇尔的效用函数分别为:

U 1 (c 1 ,c 2 )=c 1

U 1 (c 1 ,c 2 )=c 2

即当a=0时,米歇尔效用大小只取决于自己的消费,她是一个纯粹的利己主义者;而当a=1时,其效用大小完全取决于索菲亚的消费,她是一个纯粹的利他主义者。

当a=1/2时,米歇尔会是一个完美的利他主义者(把别人看作和自己同等重要),其效用函数为:

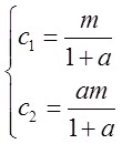
b.设米歇尔的收入为m,利用柯布-道格拉斯效用函数的性质可得米歇尔的最优选择为:

进一步可求得:

所以,随着a的提高,在米歇尔的最优选择处,米歇尔的消费水平会降低而索菲亚的消费水平会增加。

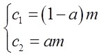
c.如果所得税税率为t,此时米歇尔的最优化选择为:

设慈善捐款额为s(0<s<m),在慈善捐款可税前扣除(用于慈善捐款的那部分收入不用缴纳所得税)的情况下米歇尔的最优化问题为:

解得米歇尔的最优选择为:

在慈善捐款可税前扣除的情况下,慈善捐款额为s=c 2 =am,而用于慈善捐款的那部分收入也需要缴纳所得税的情况下,慈善捐款额为s=c 2 =am(1-t)。两种情况下慈善捐款额的变化为Δs=am-am(1-t)=amt,从而有

因此,利他主义程度越高,慈善捐款扣除对其的激励作用越大。

d.(1)若米歇尔的效用函数

且索菲亚的效用函数

由此可以推出米歇尔的效用函数:

米歇尔的最优选择:

所以,随着a的提高,在米歇尔的最优选择处,米歇尔的消费水平会降低而索菲亚的消费水平会增加。

(2)若索菲亚的效用函数为U 2 (c 2 )=c 2 ,此时米歇尔的效用函数为

和问题b中的情况相同。 nlEM8yrq2MoPGd/TSNFHid71lZAzZBWEuQ1ABJu2biATBcsPZsVoZdmTIp6i95Mq

点击中间区域
呼出菜单
上一章
目录
下一章
×