购买
下载掌阅APP,畅读海量书库
立即打开
畅读海量书库
扫码下载掌阅APP

第4章
效用最大化与选择

4.1 复习笔记

1 两种商品的情形:图形分析

(1)预算约束

假定某人用于购买商品x与商品y的预算为I美元,设x的价格和y的价格分别为p x 和p y ,则消费者的预算约束为:p x x+p y y≤I。

图4-1 两种商品条件下消费者的预算约束

预算约束如图4-1所示,消费者只能购买三角形区域内(包括边界)的商品组合,如果I美元全部用来购买x,那么能够购买到I/p x 单位的x;同理,如果I美元都用来购买y,那么能够购买I/p y 单位的y。

(2)最大化的一阶条件

两种商品条件下,消费者效用最大化选择为,预算约束线与无差异曲线的切点,即预算约束线的斜率等于无差异曲线的斜率的点:

获得最大效用的条件是花费掉所有的预算并使得MRS等于商品的价格之比。如图4-2所示,在A点,消费者还可以花费剩余货币继续购买商品,所以不能达到最高点效用水平;在B点,通过重新分配在两种商品上的货币支出,消费者可以达到比B点更高的效用水平;在D点,消费者在现有收入水平下并不能达到;只有在C点可以取得最大的效用,此时既满足预算约束,又满足预算约束线的斜率等于无差异曲线的斜率。

图4-2 效用最大化的几何解释

(3)最大化的二阶条件

无差异曲线与预算约束线相切的原则只是获得最大效用的必要条件,并不是充分条件。如果无差异曲线不满足边际替代率递减的假设,那么并非所有的切点都是能达到效用最大化的点。如图4-3所示,切点C的商品组合的效用低于其他许多能用现有货币购买的商品组合的效用。在满足边际替代率递减的条件下,相切条件是效用最大化的充要条件,边际替代率递减意味着效用函数是严格拟凹的。

图4-3 相切条件并不能保证最大效用的无差异曲线举例

2 n种商品的情形

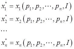
(1)n种商品最优选择的数学表述

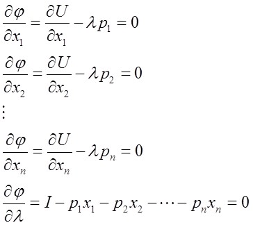
(2)拉格朗日方法求解及一阶条件

设拉格朗日函数为:φ=U(x 1 ,x 2 ,…,x n )+λ(I-p 1 x 1 -p 2 x 2 -…-p n x n )。

一阶条件为:

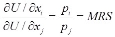
从而可以化简为:

上式表明:两种商品的边际效用之比等于其边际替代率之比,因此消费者必须使主观偏好的交易比例等于市场上的交易比例才能够使自身效用达到最大化,即市场上x i 与x j 的交换比例需等于消费者愿意用x i 交换x j 的比例。

(3)角点解

①角点解的几何说明

当消费者的偏好具有特殊性质时,可能存在一种极端最优解:不消费某种商品才能实现效用最大化。如图4-4中的E点所示,此时商品y的消费量为零。值得注意的是,预算线与无差异曲线U 2 在该点处并非相切关系,而是呈现预算线斜率绝对值小于无差异曲线斜率绝对值的特征。

图4-4 效用最大化问题的角点解

②角点解的数学方法

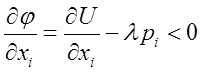
出现角点解时,拉格朗日函数的一阶条件变为:

如果

解得: x i =0。

经济学意义是:当商品为消费者带来的边际价值 低于价格p i 时,消费者将不会购买该种商品(x i =0)。

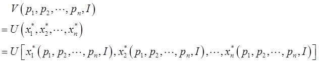
3 需求函数与间接效用函数

(1)需求函数

在消费者偏好既定且已知的条件下,消费者对商品的需求取决于商品的价格和收入。需求函数是指消费者对商品的需求量与价格和收入的数量关系,用公式表示即:

(2)间接效用函数

间接效用函数描述的是消费者的最大化效用与价格和收入的函数关系。因此,控制消费者的消费行为实质上可以由控制价格与控制收入来实现:控制价格,实质就是价格政策或价格改革;控制收入,实质就是收入政策的内容。可见,间接效用函数有着明显的政策上的应用价值。

间接效用函数可以表示为:

(3)一次总付原则

一次总付原则是指政府通过征收固定金额的税费(与个人行为或经济变量无关),实现财政收入或政策目标,同时最小化对市场效率的扭曲。该原则认为,相比于对特定的物品征税,对消费者的一般购买力征税更好一些。一个与之类似的观点是,对低收入人群的收入补贴,要比花同样数目的钱去补贴某些特定商品更能增加效用。

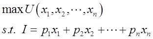
4 支出最小化与支出函数

(1)支出最小化问题的数学表达式

消费者效用最大化的对偶问题是支出最小化,即选择x 1 ,x 2 ,…,x n 以取得下式的最小值:总支出=E=p 1 x 1 +p 2 x 2 +…+p n x n

约束条件为:

以上支出最小化问题的解与各种商品的价格(p 1 ,p 2 ,…,p n )与所要求的效用水平 U ( _ ) 相关,即最优商品组合随着效用目标和任意商品的价格的改变而改变。

(2)支出函数

在一组特定的商品价格条件下,要达到某一既定的效用水平所必需的最小支出可以表示成以下函数:最小支出=E(p 1 ,p 2 ,…,p n ,U)。容易看出,支出函数与间接效用函数互为反函数关系,并且都取决于市场价格,只是约束条件不一样(前者为效用,后者为收入)。

(3)支出函数的性质

①齐次性:若所有商品的价格都加倍,则所需的支出也加倍。

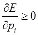
②支出函数关于价格单调不降,即对于每种商品i都有

③支出函数是价格的凹函数。 HZBd+iv/UZiibBblmMLofAMyraJA2kIo5DXhszcHZXAVZSw5OpXMTTviEZegrol6

点击中间区域
呼出菜单
上一章
目录
下一章
×