购买
下载掌阅APP,畅读海量书库
立即打开
畅读海量书库
扫码下载掌阅APP

3.2 课后习题详解

1 画出下列效用函数的无差异曲线并判断它们是否是凸的(即它们的MRS是否随x递增而递减)。

a.U(x,y)=3x+y

b.

c.

d.

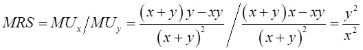
e.U(x,y)=xy/(x+y)

解: a.无差异曲线如图3-7所示,为一组直线。边际替代率为:MRS=MU x /MU y =3/1=3,为一常数,因而无差异曲线不是凸状的。

图3-7 完全替代型的无差异曲线

b.无差异曲线如图3-8所示,为性状良好的无差异曲线。其边际替代率为:

即随着x的递增,边际替代率递减,因而是凸状的无差异曲线。

图3-8 凸状的无差异曲线

c.无差异曲线如图3-9所示。边际替代率为:MRS=MU x /MU y =0.5x 0.5

即随着x的递增,边际替代率递减,无差异曲线是凸状的,此为拟线性偏好的效用函数。

图3-9 拟线性型的无差异曲线

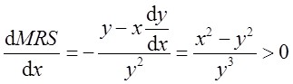
d.无差异曲线如图3-10所示。边际替代率为:

即随着x的递增,边际替代率递增,无差异曲线不是凸状的。

图3-10 凹状的无差异曲线

e.无差异曲线如图3-11所示。边际替代率为:

即随着x的递增,边际替代率递减,无差异曲线是凸状的。

图3-11 凸状的无差异曲线

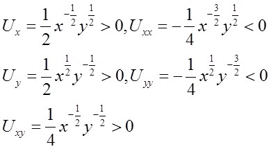
2 在本章脚注里我们曾说明,为了使两种商品的效用函数具有严格递减的MRS(即曲线呈严格拟凹),必须满足下列条件:

利用这一条件检验本章课后习题第1题中各效用函数无差异曲线的凸性。写出你在解题过程中发现的边际效用递减和拟凹性之间的关系的各种情况。

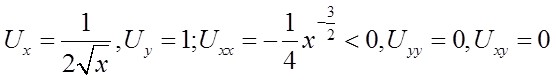
解: a.对于效用函数U(x,y)=3x+y,有:U x =3,U y =1;U xx =0,U yy =0,U xy =0。

即当两种商品的边际效用不变时,效用函数不是严格拟凹的。

b.对于效用函数

有:

即当两种商品的边际效用递减时,效用函数是严格拟凹的。

c.对于效用函数

有:

即当一种商品的边际效用递减,另一种商品的边际效用不变时,效用函数是严格拟凹的。

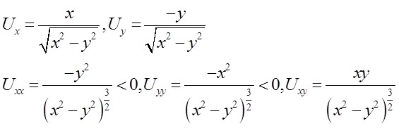
d.对于效用函数

有:

则有:

当x>y时,

当x=y时,无差异曲线为一条从原点出发斜率为1的直线,此时效用U=0。

因此该效用函数并不是严格拟凹的。

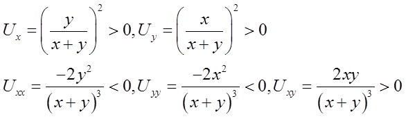
e.对于效用函数U(x,y)=xy/(x+y),有:

即当两种商品的边际效用递减时,效用函数是严格拟凹的。

3 考虑下列效用函数:

a.U(x,y)=xy

b.U(x,y)=x 2 y 2

c.U(x,y)=lnx+lny

证明它们的MRS都是递减的,但显示的边际效用却分别是不变、递增和递减的。你能从中得出什么结论?

证明: a.U x =y,U xx =0,U y =x,U yy =0,MRS=y/x;

b.U x =2xy 2 ,U xx =2y 2 ,U y =2x 2 y,U yy =2x 2 ,MRS=y/x;

c.U x =1/x,U xx =-1/x 2 ,U y =1/y,U yy =-1/y 2 ,MRS=y/x。

从以上分析可知,单调变换会影响边际效用,但是不会影响边际替代率MRS。

4 如图3-12所示,为证明无差异曲线的凸性,一种方法是证明在一条满足U=k的无差异曲线上,对于任意两点(x 1 ,y 1 )和(x 2 ,y 2 ),点 的效用不小于k。试用这种方法讨论下面三个函数的无差异曲线的凸性,并将你的结果用图形表示出来。

a.U(x,y)=min(x,y)

b.U(x,y)=max(x,y)

c.U(x,y)=x+y

图3-12 无差异曲线性质之一:凸性(MRS递减)

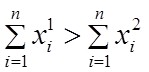
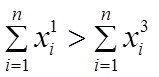
解: a.如果两个商品组合的数量相等,则有:U(x 1 ,y 1 )=x 1 =k=U(x 2 ,y 2 )=x 2 =U[(x 1 +x 2 )/2,(y 1 +y 2 )/2]=(x 1 +x 2 )/2。

如果两个商品组合的数量不同,不失一般性,可设:y 1 >x 1 =k=y 2 <x 2

因而有:(x 1 +x 2 )/2>k和(y 1 +y 2 )/2>k,从而可知无差异曲线如图3-13所示,是凸状的。

b.由问题a可知,两个商品组合的数量相等,则有:U(x 1 ,y 1 )=x 1 =k=U(x 2 ,y 2 )=x 2 =U[(x 1 +x 2 )/2,(y 1 +y 2 )/2]=(x 1 +x 2 )/2。

如果两个商品组合的数量不同,不失一般性,可设:y 1 <x 1 =k=y 2 >x 2

因而有:(x 1 +x 2 )/2<k,(y 1 +y 2 )/2<k,从而可知无差异曲线如图3-13所示,不是凸状的,而是凹状的。

c.在完全替代型的效用函数下,有:U(x 1 ,y 1 )=U(x 2 ,y 2 )=U[(x 1 +x 2 )/2,(y 1 +y 2 )/2]。

因而无差异曲线既不是凹状的,也不是凸状的,而是线性的。

图3-13 利用图形来判断无差异曲线的性状

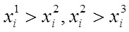
5 Phillie Phanatic(PP)总是以独特的方式吃自己带到球场的食物——1英尺长的热狗肠配半块圆面包、1盎司芥末和2盎司酸黄瓜。他的效用是这四种商品的函数,并且其中单一元素的增加是没有价值的。

a.PP对这四种商品的效用函数是哪种类型的?

b.如何通过将PP的效用函数视为单一商品的函数来简化问题?这种商品是什么?

c.假设1英尺长的热狗肠的成本是1美元,每块圆面包的成本是0.50美元,1盎司芥末的成本是0.05美元,1盎司酸黄瓜的成本是0.15美元,问题b中的商品的成本是多少?

d.如果热狗肠的价格上涨50%,那么问题b中的商品价格上涨的百分比为多少?

e.如果面包的价格上涨50%,这将对商品的价格造成什么样的影响?你的答案为什么和问题d的不同?

f.如果政府想通过对PP买的那四种商品征税来获得1美元税收,试问政府应该如何分配税额到四种商品上以使PP损失的效用最小?

解: a.如果h代表热狗肠,b代表圆面包,m代表芥末,r代表酸黄瓜,则PP的效用函数可以表示为:U(h,b,m,r)=min(h,2b,m,0.5r),这是完全互补函数。

b.可以将PP的效用视为一种商品的函数来简化问题,即将上述四种物品的组合视为是一种完全调配好的热狗肠。

c.该种商品的成本是:1+0.5×0.5+0.05+2×0.15=1.6(美元)。

d.如果热狗肠的价格增至1.5美元,则该商品的价格为:1.5+0.5×0.5+0.05+2×0.15=2.1(美元)。因此,该种商品的价格上涨幅度为:(2.1-1.6)÷1.6≈31%。

e.如果圆面包的价格增至0.5×(1+0.5)=0.75(美元),则该种商品的价格为:1+0.5×0.75+0.05+2×0.15=1.725(美元)。因此,该种商品的价格上涨幅度为:(1.725-1.6)÷1.6≈7.8%。

f.提高价格以使完全调配好的热狗肠的价格增至2.6美元,从而在征税1美元的情况下,这将等价于购买力的总额减少。为使PP的效用成本最小化,增收的1美元税收应该在各种商品之间按固定比例分担,即按1∶2∶1∶0.5进行分担。即对每英尺热狗肠征税0.22美元,每块圆面包征收0.44美元,每盎司芥末征收0.22美元,每盎司酸黄瓜征收0.11美元,此时PP的效用成本最小。

6 很多广告词都像是在断言人们的偏好,请用不同的效用函数描述下列广告词:

a.人造黄油和天然的一样棒。

b.一切都因可口可乐变得更好。

c.品客薯片一口停不住。

d.脆脆皮(Krispy Kreme)的甜甜圈就是比唐肯(Dunkin′)的好。

e.米勒酒(Miller Brewing)提醒我们“负责任”地饮酒。(“不负责任”地饮酒又会是什么样子?)

解: a.如果用p代表人造黄油消费量,b代表天然黄油消费量,则效用函数可以表示为:U(p,b)=p+b。

这表示人造黄油和天然黄油是完全替代品,它们之间的替代比率是1∶1。

b.如果用x代表其他商品的消费量,y代表可口可乐的消费量,则效用函数可以表示为:U(x,y),且满足∂ 2 U/∂x∂y>0。

例如效用函数U(x,y)=2xy就可以表示这种偏好。

c.如果用p代表品客薯片的消费量,x代表其他商品的消费量,则效用函数可以表示为:U(p,x)>U(1,x),对于所有的p>1以及x成立。

d.如果用k代表脆脆皮的甜甜圈的消费量,d代表唐肯甜甜圈的消费量,x代表其他商品的消费量,则效用函数可以表示为:U(k,x)>U(d,x),对于所有的k=d成立。

e.如果用U′代表其他人的效用水平,x代表其他商品的消费量,b代表啤酒的消费量,则效用函数可以表示为:U(x,b,U′),且满足∂U/∂U′>0(这表示他有利他偏好,说明他喝酒是负责任的),一个人喝酒会影响别人的效用水平。

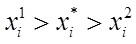
7 a.考虑某人消费两种商品x和y,当他拥有6单位x和5单位y时,他愿意用3单位x换取1单位y,当他拥有12单位x和3单位y时,他愿意用6单位x换取2单位y,并且消费束(6,5)和(12,3)对他而言没有差异,那么他的效用函数是怎样的?提示:考虑无差异曲线的形状。

b.考虑某人消费两种商品x和y,在消费束(8,1)处,他愿意用4单位x换取1单位y,在消费束(4,4)处,他愿意用1单位x换取2单位y,并且两个消费束于他而言无差异。假设他的效用函数为柯布-道格拉斯函数形式U(x,y)=x α y β ,α和β均为正常数,试求解α和β。

c.问题b中是否存在信息冗余?如果是,推导出效用函数至少需要哪些信息?

解: a.对于该消费者来说,两种商品x和y之间可以按照固定的比例替代,MRS xy =1/3=2/6=1/3。所以说,商品x是y的完全替代品。效用函数为:U(x,y)=x+3y。效用函数形状为一条直线。

b.对于柯布-道格拉斯函数形式U(x,y)=x α y β ,其边际替代率MRS=αy/(βx)。

在消费束(8,1)处,他愿意用4单位x换取1单位y,则MRS=α/(8β)=1/4,α=2β。

在消费束(4,4)处,他愿意用1单位x换取2单位y,则MRS=4α/(4β)=2/1,α=2β。

因为效用函数在单调映射下是唯一的,所以一般规定α+β=1,从而可解得α=2/3,β=1/3。

c.问题b中存在信息冗余,即我们没有使用这两点位于同一条无差异曲线上这个信息。当效用函数是柯布-道格拉斯函数形式时,若要求出效用函数,只需要知道MRS以及在某一点的x和y值就可以了。

8 考虑下述三种无差异曲线[由U(·)=k定义],找出对应的效用函数:

a.

b.

c.

解: a.对于

进行等式变形得:k=U(x,y,z)=x α y β z δ

b.对于

进行等式变形得:k=U(x,y)=x 2 +xy+y 2

c.对于

进行等式变形得:k=U(x,y,z)=x 2 y+y 2 z+xz 2

9 初始禀赋

假设给某人提供效用的商品的初始数量为 x ( _ ) y ( _ )

a.在此人的无差异曲线图上标出这两个初始数量。

b.如果此人可以用x和别人交换y(反之亦然),他将会做怎样的交易?不会做怎样的交易?这些交易和此人在点( x ( _ ) y ( _ ) )时的MRS有何关系?

c.假设此人在拥有初始数量的商品时已相对满意,并且只考虑效用增加至少为k的交易,你怎样在无差异曲线图上标出这一点?

解: a.此人无差异曲线如图3-14所示,它的初始商品拥有量为图中的A点。

图3-14 无差异曲线及交换活动对效用的影响

b.任何不同于在( x ( _ ) y ( _ ) )处的MRS的交易机会都有可能提高效用水平。如图3-14所示, 代表了提高效用的交换。

c.对初始商品组合的偏好要求交换活动能够大幅度提高效用才能促使交换发生。因而交换活动只有在交换后的MRS显著不同于在( x ( _ ) y ( _ ) )处的MRS时才更有可能发生,如图3-14所示。

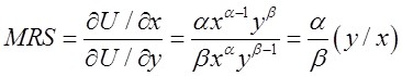
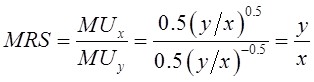
10 柯布-道格拉斯效用函数

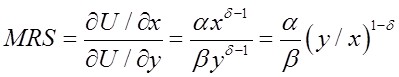
例3.3说明了柯布-道格拉斯效用函数U(x,y)=x α y β 的边际替代率由下式给定:

MRS=(α/β)(y/x)

a.这个结果是否取决于α+β=1?这与选择理论有没有关系?

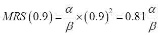
b.对于一组商品y=x,其MRS是如何取决于α和β的?请直观地解释为什么α>β时,MRS>1。请用图示予以说明。

c.x 0 与y 0 为给定的最低生活水平,假设某人的效用仅是由超过这一最低水平的x与y的数量决定的,在这种情况下,U(x,y)=(x-x 0 α (y-y 0 β 是一个位似函数吗?(更进一步的讨论参见第4章的扩展部分。)

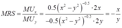
解: a.边际替代率为:

因此,对于柯布-道格拉斯效用函数U(x,y)=x α y β ,边际替代率MRS=(α/β)(y/x)这个结果不取决于α+β=1,它也受x与y之间关系的影响,与选择理论有关系。

b.对于一组商品y=x,其边际替代率为:MRS=α/β。

α>β时,由上述等式可知MRS>1。

如图3-15所示,图中A、B、C三点均在直线y=x上,这三点处的边际替代率均为MRS=αy/(βx)=α/β>1,即过此三点的预算线的斜率的绝对值都大于1。

图3-15 对于一组商品y=x组合处的边际替代率

c.位似函数是指齐次函数经过任意的单调映射所得到的函数。

对于效用函数U(x,y)=(x-x 0 α (y-y 0 β 来说,任意的t>0,有U(tx,ty)=(tx-x 0 α (ty-y 0 β ,所以该效用函数不是齐次函数,从而不是位似函数。事实上,该函数关于(x-x 0 )和(y-y 0 )是位似的,而关于x和y不是位似的。

11 独立边际效用

如果效用函数满足:

则称这两种商品具有独立的边际效用。试证明当我们假设每种商品的边际效用递减时,具有独立边际效用的效用函数都会有递减的MRS。举例证明其逆命题是错的。

证明: 由本章课后习题第2题可知,U xy =0意味着只要U xx ,U yy <0,则MRS递减。原命题得证。

原命题的逆命题是:如果具有独立边际效用的任一效用函数有递减的边际替代率,则其每种商品的边际效用是递减的。下面来证明此命题不一定成立。

在两种消费商品的效用函数下,递减的边际替代率意味着下式成立:

当U xy =0时,上式变为:

显然,这无法推出U xx ,U yy <0的结论。

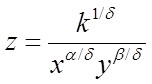
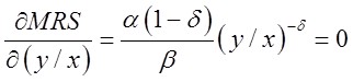
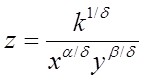
12 CES效用函数

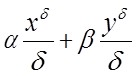
a.证明: CES函数

是位似函数。MRS是如何取决于y/x的?

b.证明从问题a中得出的结果与δ=1(完全替代函数)和δ=0(柯布-道格拉斯函数)情况相符。

c.证明对所有δ<1的值来说,MRS都是严格递减的。

d.证明如果x=y,这个函数的MRS仅取决于α与β的相对大小。

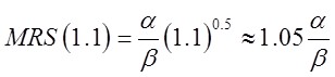
e.当δ=0.5和δ=-1时,分别有y/x=0.9和y/x=1.1,试计算该函数的MRS。当MRS在x=y附近变动时,它变动的程度如何?你如何从几何图形上给予解释?

解: a.边际替代率为:

因而该函数是位似的。

又因为:

所以,当δ>1时,

即随着y/x的递增,MRS递减;

当δ<1时,

即随着y/x的递增,MRS递增;

当δ=1时,

即随着y/x的递增,MRS不变。

b.如果δ=1,MRS=α/β为一常数,此时效用函数为完全替代形式;如果δ=0,MRS=αy/(βx),此时效用函数为柯布-道格拉斯函数。

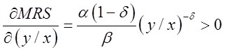
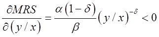
c.对所有δ<1的值来说,有1-δ>0,所以MRS严格递减。

d.当x=y时,MRS=α/β,所以MRS仅取决于α与β的相对大小。

e.当δ=0.5时,

当δ=-1时,

因此,MRS在δ=-1时比在δ=0.5时变化得更快。δ越小,无差异曲线越陡峭。特别地,当δ=-∞时,无差异曲线为表示固定比例偏好的L形。

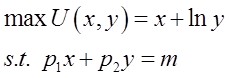
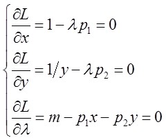
13 拟线性函数

考虑经济模型中的常用函数U(x,y)=x+lny,它具有一些有用的性质。

a.求出该函数的MRS,并解读这一结果。

b.证明函数是拟凹的。

c.试写出满足这一函数的无差异曲线方程。

d.比较x和y的边际效用并试着解读这一结果。消费者如何在x与y中进行选择以提升效用?例如,当他们的收入增加时,他们会消费更多。(关于“收入效应”的具体问题将在第5章课后习题中出现。)

e.当x和y的数量增加时,效用如何改变?试举出满足这一效用函数的一些实例。

解: a.对于效用函数U(x,y)=x+lny,其边际替代率为:

即拟线性偏好的边际替代率(或无差异曲线的斜率)不受x的影响。

b.由U x =1,U y =1/y,U xx =0,U yy =-1/y 2 ,U xy =0,可得:

所以该效用函数是拟凹的。

c.满足这一函数的无差异曲线方程为:y=e C x

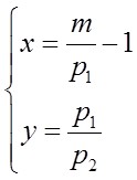
d.设消费者收入为m,则消费者效用最大化问题为:

构造拉格朗日函数:L=x+lny+λ(m-p 1 x-p 2 y)。

一阶条件为:

解得:

当收入m增加时,消费者会增加x的消费;而y的消费不受m的影响。

e.由于

所以,x增加1单位,U也会增加1单位;

所以,U随着y的增加而增加,但U的增量会呈现递减的趋势。

参考教材中例3.4,该效用函数通常用来描述一种商品相对于其他商品的消费情况。所以,y可以代表特定商品,而x代表其他所有商品。

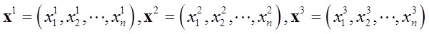
14 偏好关系

偏好的规范研究是用向量来表示的。我们将一组包含n种商品的消费束记为向量x=(x 1 ,x 2 ,…,x n ),偏好关系用“≻”表示,x 1 ≻x 2 表示在消费束x 1 和x 2 中,消费者更偏好x 1 。若消费者认为两个消费束无差异,则记为x 1 ≈x 2

对于任意两个消费束,若都有x 1 ≻x 2 ,或x 2 ≻x 1 ,或x 1 ≈x 2 ,则偏好关系是“完备的”;若x 1 ≻x 2 和x 2 ≻x 3 可推出x 1 ≻x 3 ,则偏好是“可传递的”;若对于任意消费束y,y≻x,任何充分逼近y的消费束都比x更好,则偏好是“连续的”。

a.加总式偏好:这种偏好关系假设人们确实能将苹果和橘子相加。具体地说,当且仅当 时,x 1 ≻x 2 。当 时,x 1 ≈x 2

b.字典式偏好:字典式偏好的偏好关系就像字典一样。若 ,则x 1 ≻x 2 (不管其他n-1种商品的数量);若 并且 ,那么x 1 ≻x 2 (不管其他n-2种商品的数量);以此类推。

c.餍足偏好:这个偏好关系假设消费束(x * )提供了一个“餍足点”。其他消费束的偏好关系根据它们离“餍足点”的远近而定。当且仅当 时,x 1 ≻x 2 ,其中

解: a.对于两个消费束

由于

必有其一成立,因此x 1 ≻x 2 ,x 2 ≻x 1 ,x 1 ≈x 2 必有其一成立,因此加总式偏好是完备的。

由于当 时,存在数α使得

因此存在消费束

使得x 1 ≻x * ≻x 2 ,因此加总式偏好是连续的。

对于

假设

因此,若x 1 ≻x 2 ,x 2 ≻x 3 ,则x 1 ≻x 3 ,所以加总式偏好是可传递的。

b.对于两个消费束

假设其前i-1种商品是无差异的,i=2,3,…,n,对于第i种商品,下述关系必有一个成立:

因此下述关系也必有一个成立:x 1 ≻x 2 ,x 2 ≻x 1 ,x 1 ≈x 2 ,所以字典式偏好是完备的。

对于两个消费束

假设其前i-1种商品是无差异的,i=1,2,3,…,n,且对于第i种商品,假设 ,则存在消费束

满足

从而x 1 ≻x * ≻x 2 ,因此字典式偏好是连续的。

对于

假设其前i-1种商品是无差异的,i=2,3,…,n,对于第i种商品,假设

,因此,若x 1 ≻x 2 ,x 2 ≻x 3 ,则x 1 ≻x 3 ,所以字典式偏好是可传递的。

c.对于两个消费束

由于

必有其一成立,因此x 1 ≻x 2 ,x 2 ≻x 1 ,x 1 ≈x 2 必有其一成立,所以餍足式偏好是完备的。

由于当 时,存在数α使得

因此存在消费束

使得x 2 ≻x 0 ≻x 1 ,所以餍足式偏好是连续的。

对于

假设

因此,若x 2 ≻x 1 ,x 3 ≻x 2 ,则x 3 ≻x 1 ,所以餍足式偏好是可传递的。

15 收益函数

戴维·卢恩伯格(David G. Luenberger)在其1992年发表的论文中介绍了收益函数(benefit function),他将此定义为一种将某种程度的基数测量纳入效用理论的方法。作者要求我们指定一个基础的消费束,然后测量该消费束需要重复多少次才能将一个人的效用水平提高到目标值。假设只有两种商品,目标效用由U * (x,y)给定,再假设基础的消费束为(x 0 ,y 0 ),则收益函数的价值b(U * )就是使得等式U(αx 0 ,αy 0 )=U * 成立的α值。

a.假设效用函数由U(x,y)=x β y 1 β 给出,计算x 0 =y 0 =1时的收益函数。

b.利用问题a中给出的效用函数,计算x 0 =1,y 0 =0时的收益函数。解释该结果为何与问题a中的结果不一样。

c.收益函数也可以在个人拥有两种商品的初始禀赋时定义。如果这些初始禀赋为 x ( _ ) y ( _ ) ,则b(U * x ( _ ) y ( _ ) )由满足U( x ( _ ) +αx 0 y ( _ ) +αy 0 )=U * 的α值给定。在这种情形下,“收益”可正[当U( x ( _ ) y ( _ ) )<U * 时]、可负[当U( x ( _ ) y ( _ ) )>U * 时]。画图表示这两种可能性,并解释初始禀赋会如何影响收益计算。

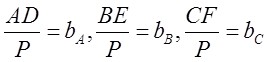
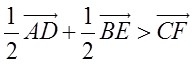
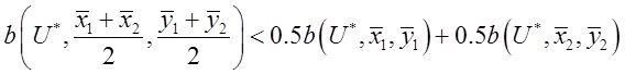
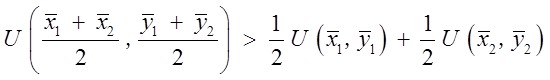
d.考虑两种可能的初始禀赋—— x ( _ ) 1 y ( _ ) 1 x ( _ ) 2 y ( _ ) 2 。用画图和文字表述(直观上)两种方法解释为什么

(注意:这个不等式说明收益函数是初始禀赋的凹函数。)

解: a.对于柯布-道格拉斯效用函数,当x 0 =y 0 =1时,有:U(αx 0 ,αy 0 )=U(α,α)=α β α 1 β =α。

因为收益函数的价值b(U * ),就是使得等式U(αx 0 ,αy 0 )=U * 成立的α值,所以α满足α=U * 。从而收益函数为b(U * )=U *

b.x 0 =1,y 0 =0时,有U(αx 0 ,αy 0 )=U(α,0)=0。

不能使U(αx 0 ,αy 0 )=U * 成立。事实上,由于y 0 =0,这使得重复消费束的方法不可能达到任何指定的效用水平。

c.当“收益”为正,即U( x ( _ ) y ( _ ) )<U * 时,如图3-16所示,A( x ( _ ) y ( _ ) )未能达到目标效用,此时需通过正向的基础消费束,即不断沿基础消费束P向量的方向增加使其达到目标效用水平,AD向量相对于P的长度即为正的收益大小。

图3-16 “收益”为正的情况

当“收益”为负,即( x ( _ ) y ( _ ) )>U * 时,如图3-17所示,B( x ( _ ) y ( _ ) )已超过目标效用,此时需通过负向的基础消费束,即不断减少基础消费使其达到目标效用水平,BD向量相对于P的长度即为负的收益大小。

图3-17 “收益”为负的情况

该基础消费束重复α次将效用水平提高到目标值,因此当基础消费束越小时,收益函数的价值越大,反之亦然。此外,基础消费束的组合,即x、y的相对大小决定了P向量的方向,这会影响初始禀赋点到目标效用曲线的距离,从而也会影响收益函数的情况。

d.作目标效用无差异曲线,令A( x ( _ ) 1 y ( _ ) 1 ),B( x ( _ ) 2 y ( _ ) 2 )为两个初始禀赋点, 为A、B中点,向量P=(a,b)表示基础消费束,则分以下三种情况讨论。

①A、B“收益”为正

图3-18 A、B“收益”为正的收益函数关系

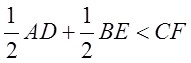
如图3-18所示,此时从A、B、C三点出发,作平行于P向量的直线,与目标效用无差异曲线相交于D、E、F三点,得向量AD、BE、CF,则

易知三个向量的长度可用于比较A、B、C三点收益函数的大小。显然,由于消费者偏好具有凸性

②A、B“收益”为负

图3-19 A、B“收益”为负的收益函数关系

如图3-19所示,易知此时

又由于此时A、B、C“收益”均为负,向量方向为负,与长度呈负相关,则

因而仍有

③A、B两点“收益”一正一负

图3-20 A、B“收益”一正一负的收益函数关系

如图3-20所示,此时连接AE,交CF于G点,由于CE与BE平行,C为AB中点,因此G为AE中点。对于A和E两点初始禀赋点,由①可知

而对三角形ABE,C、G为AB和AE中点,因此有

两式相加可得

从文字上解释:由于消费者偏好凸性,喜欢平均胜过极端,因此

则在初始禀赋的“收益”均为正时,相较于另外两点的加权平均效用更容易达到目标效用,则其“收益”更小;在初始禀赋“收益”均为负时,相较于另外两点的加权平均效用需要减少更多的基础组合才能退回目标效用,同样其“收益”会更小。 nlEM8yrq2MoPGd/TSNFHid71lZAzZBWEuQ1ABJu2biATBcsPZsVoZdmTIp6i95Mq

点击中间区域
呼出菜单
上一章
目录
下一章
×