购买
下载掌阅APP,畅读海量书库
立即打开
畅读海量书库
扫码下载掌阅APP

第3章
偏好与效用

3.1 复习笔记

1 理性选择公理

偏好是指消费者按照自己的意愿对可供选择的商品组合进行的排序。偏好既是主观的,也是相对的概念。

为了便于经济分析,经济学中通常假定人们的偏好关系满足以下三个基本假设:

(1)完备性:偏好是完备的,即消费者可以在所有可能的消费组合中进行比较和排序。例如,对于任何两个消费组合A和B,消费者要么偏好其中的A,要么偏好其中的B,要么觉得两者无差异。其中,无差异是指消费者从两个消费选择中获得相同的满足程度。

(2)传递性:偏好是可以传递的,这意味着,如果消费者在消费组合A和B中更偏好A,在B和C中更偏好B,那么消费者在A和C中更偏好A。这一假定保证了消费者的种种偏好是一致的,因而也是理性的。

(3)连续性:如果消费者认为消费组合A优于B,那么充分接近A的消费组合也一定优于接近B的消费组合。

2 效用及其表示方法

(1)效用的含义

效用是指消费者消费或拥有一定数量的某种商品时所获得的满足程度。一种商品给消费者所带来的效用不同于该商品的使用价值,它是消费者对所消费商品给予的主观评价,不同的消费者在相同的时间、地点消费相同数量的商品组合可以分别获得不同的效用,即使同一消费者在不同的时期、不同的地点消费同样数量的商品组合也可获得不同的满足程度。效用有总效用和边际效用之分。边际效用量的大小在消费者的消费决策中具有重要作用。

(2)度量效用方式的不唯一性

在准确符合原本偏好排序的基础上,可以任意给定一组数值来表示同样的选择次序。例如U(A)=6,U(B)=2和U(A)=1000,U(B)=0.001没有区别。由于赋予效用的数值并不唯一,因此不能在不同人之间比较效用。

(3)其他条件不变的假定

影响效用度量的因素有:①商品的实质影响;②消费者同阶层带来的压力;③消费者的个人喜好;④消费者所处的社会文化环境;⑤消费者的即时心理等等。

所以,对效用最大化选择的经济分析中,为了使选择分析形式简单、易于处理,一般都假定其他条件不变。

(4)效用函数

①消费商品的效用

在单一时点上,在n种消费品x 1 ,x 2 ,…,x n 中,考虑个人的选择问题。假定可以用下列效用函数来表示个人对这些消费品的偏好序:效用=U(x 1 ,x 2 ,…,x n ;其他事物)。

其中,x表示可能选择商品的数量,其他事物表示影响消费者效用的其他因素。

②效用函数的参数

当讨论个人从真实财富(W)中获得的效用时,有:效用=U(W)。通过将财富用于购买效用最大的消费品来获得效用。

当讨论个人的劳动-闲暇选择时,有:效用=U(c,h),其中c表示消费,h表示在一段给定时间内的非工作时间(即闲暇)。

当讨论在不同时段内个人的消费决策问题时,有:效用=U(c 1 ,c 2 ),其中c 1 表示在现时段的消费,c 2 表示在另一时段的消费。

③效用函数

效用函数表示为U(x 1 ,x 2 ,…,x n ),其中x 1 ,x 2 ,…,x n 分别代表了个人在某一个时期消费的n种商品的数量,如果个人的偏好序维持不变,那么这个效用函数就是唯一的。

3 交易与替代

(1)无差异曲线

①无差异曲线的含义

无差异曲线是用来表示一组对于个人来说无差异的消费集合。或者说,它是表示能给消费者带来同等效用水平或满足程度的两种商品的不同数量的所有组合的。无差异曲线可以表示为图3-1。

图3-1 无差异曲线

②无差异曲线的特点

第一,由于假定效用函数的连续性,所以,在同一坐标平面上的任何两条无差异曲线之间,存在着无数条无差异曲线。离原点越近的无差异曲线所代表的效用水平越低,离原点越远的无差异曲线所代表的效用水平越高。

第二,在同一坐标平面上的任意两条无差异曲线不会相交。

图3-2 相交的无差异曲线意味着偏好不一致

第三,在正常情况下,无差异曲线总是凸向原点的。这一特点是由商品的边际替代率递减规律所决定的。

(2)边际替代率

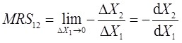
边际替代率(MRS)是指在维持效用水平不变的前提下,消费者增加一单位某种商品的消费数量时所需放弃的另一种商品的消费数量。以MRS代表商品的边际替代率,∆X 1 和∆X 2 分别是商品1和商品2的消费变化量,则商品1对商品2的边际替代率的公式为:MRS 12 =-ΔX 2 /ΔX 1

当商品数量的变化趋于无穷小时,则商品的边际替代率公式为:

显然,无差异曲线上某一点的边际替代率就是无差异曲线在该点的斜率的绝对值。

4 特定偏好的效用函数(见表3-1)

表3-1 特定偏好的效用函数

图3-3 柯布-道格拉斯效用函数

图3-4 线性效用函数

图3-5 里昂惕夫效用函数

图3-6 CES效用函数 HZBd+iv/UZiibBblmMLofAMyraJA2kIo5DXhszcHZXAVZSw5OpXMTTviEZegrol6

点击中间区域
呼出菜单
上一章
目录
下一章
×