购买
下载掌阅APP,畅读海量书库
立即打开
畅读海量书库
扫码下载掌阅APP

1.3 鲁棒对等的易处理性

在本节中,我们研究了不确定LO问题的RC的“计算状态”。这样的情况是尽可能好的:我们将看到,本质上,只要凸不确定性集 U 本身是计算易处理的,具有不确定性集的不确定LO问题的RC是计算易处理的。前者意味着我们预先知道 U 的仿射包,一个点来自 U 的内部,我们可以访问一个有效成员oracle,给定输入点 u ,记录是否 u U 。这可以重新表述为一个精确的数学表述;然而,我们将证明这个表述的一个稍受限制的版本,它不需要对复杂性理论进行长时间探索。

1.3.1 策略

我们的策略如下。首先,我们将自己约束在具有特定目标函数的不确定LO问题——回忆1.2.1节中的A部分,通过这个约束我们没有任何损失。其次,我们所需要的是一个不确定线性约束的RC的“计算易处理”表示,也就是说,通过一个有效可验证的凸不等式的显式(和“短”)组对RC的等价表示。给定不确定问题的每个约束条件的RC的表示,并将它们放在一起(参见1.2.1节中的B部分),我们将问题的RC重新表述为在显式凸约束的有限(和短)约束组下最小化原始线性目标函数的问题,以此作为一个计算易处理问题。

接下来,我们首先解释一下用凸不等式组表示约束意味着什么。每个人都明白2个变量的4个约束:

表示非线性不等式

从这个意义上说,式(1.3.2)和式(1.3.1)定义了相同的可行集。那么,以下关于5个不等式的线性不等式组

是否表示与式(1.3.2)相同的集合?在这里,每个人都同意表示成相同集合这一观点,尽管我们不能以前一种方式证明这个观点,因为式(1.3.2)和式(1.3.3)的可行集处在不同空间,因此不能彼此等同。

当谈到优化中的“问题/约束的等价表示”时,其实际含义可以形式化如下。

定义1.3.1 集合 代表集合 ,如果 X + 投影到 x 变量的空间正好是 X ,即 x X ,当且仅当存在 时, x u X +

X ={ x :∃ u x u X + }

一个约束组 S + (其变量 表示另一个约束组 S (其变量 ),如果前一个组的可行集代表后一个组的可行集。

有了这个定义,很明显组(1.3.3)确实代表约束(1.3.2),更一般地说,是2 n +1个线性不等式的组:

变量 x u 表示约束

要理解这种表示有多强大,请注意,要以式(1.3.1)的方式表示相同的约束,也就是说,在没有额外变量的情况下,它将需要多达2 n 个线性不等式。

回到一般情况,假设我们给定一个优化问题

其中 S i 是变量 x 的约束组,在我们的处理过程中,约束组 的变量为 x v i ,这表示组 S i 。显然,问题

等价于式(P):对于目标函数值相同的(P),每个(P + )可行解的 x 分量都是可行的,并且问题中的最优值彼此相等,因此(P + )的 最优(根据目标函数)可行解的 x 分量是(P)的 最优可行解。我们应该说,(P + )同样代表原始问题(P)。重要的是,表示可以得到原始问题中不存在的期望属性。例如,适当的表示可以将形如 (具有 n 个变量、 m 个线性约束和 k 维向量 p 的问题转换为具有 n + k 个变量和 m +2 k +1个线性不等式约束的LO问题等。我们现在的目标是建立一个能够将半无限线性约束(特别是不确定线性不等式的鲁棒对等项)等价表示为显式凸约束有限组的表示,最终目标函数使用这些表示,以便将不确定LO问题的RC转换为显式(计算上易处理的)凸规划。

概述的策略使得我们能够专注于单个受不确定性影响的线性不等式——数据在不确定性集中变化的线性不等式族

其中不确定性集为

以及这种不确定不等式的RC的“易处理表示”

根据1.2.1节中的C部分所述,从现在起,我们假设相关扰动集 Z 是凸的。

1.3.2 式(1.3.6)的易处理表示:简单情况

本节从一些案例开始,在这些案例中我们可以“徒手”找到所需表示,具体地说,我们将讨论区间和简单椭球不确定性的案例。

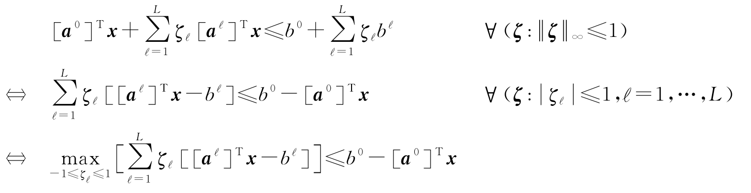
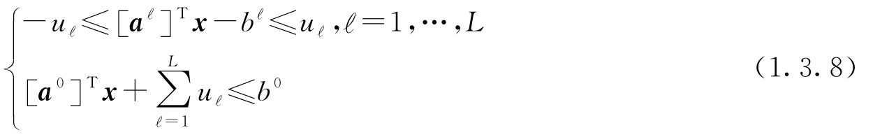
例1.3.2 考虑区间不确定性的情况,其中 Z 在式(1.3.6)中是一个盒。不失一般性,我们可以通过以下假设使情况规范化:

在这种情况下,式(1.3.6)写为

一连串最终最大值显然是 ,通过显式凸约束,我们得到了式(1.3.6)的表示:

这反过来又可以得到一个线性不等式组的表示:

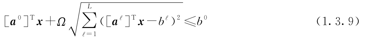
例1.3.3 考虑椭球不确定性的情况下, Z 在式(1.3.6)中是一个椭球。我们可以通过假设 Z 近似为以原点为中心、半径为 Ω 的球,来规范化这种情况:

在这种情况下,式(1.3.6)为

我们通过显式凸约束(“锥二次不等式”)得到了式(1.3.6)的表示:

1.3.3 式(1.3.6)的易处理表示:一般情况

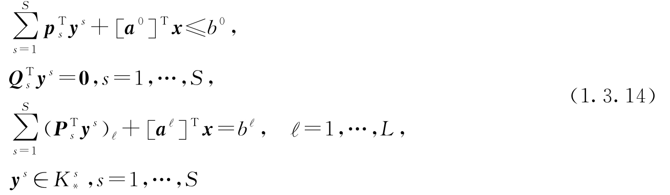
现在考虑一个相当一般的情况,若在式(1.3.6)中的扰动集 Z 由一个锥表示(参考附录A.2.4):

其中 K 是ℝ N 中的封闭凸尖锥体,ℝ N 内部非空, P Q 是给定矩阵, p 是给定向量。在这种情况下,如果 K 不是一个多面体锥,假设这种表示是严格可行的:

定理1.3.4 扰动集 Z 由式(1.3.10)给出,在非多面体 K 的情况下,令式(1.3.11)也成立。则半无限约束(1.3.6)可以表示为变量 x ∈ℝ n y =ℝ N 的下列锥不等式组:

其中 K * ={ y : y T z ≥0,∀ z K }是 K 的对偶锥。

证明 我们有

x 对式(1.3.6)是可行的

最后一个式子表明当且仅当锥规划

的最优值≤ -d [ x ]时, x 对式(1.3.6)来说是可行的。首先,假设式(1.3.11)成立。然后式(CP)是严格可行的,因此,应用锥对偶定理(定理A.2.1),当且仅当(CP)问题

的锥对偶的最优值≤ -d [ x ]时,式(CP)中的最优值≤ -d [ x ]。现在假设 K 是多面体锥。在这种情况下,通常的LO对偶定理(不需要式(1.3.11)的有效性)得出了完全相同的结论:当且仅当式(CD)达到了最优值,并且≤ -d [ x ],式(CP)的最优值≤ -d [ x ]。换句话说,在定理的前提下,当且仅当式(CD)有 p T y -d [ x ]的可行解 y 时, x 对式(1.3.6)来说是可行的。

观察到非负象限、洛伦兹以及半定锥是自对偶的,我们从定理1.3.4得到如下推论。

推论1.3.5 设式(1.3.6)中的非空扰动集为:

(i)多面体,由式(1.3.10)给出,在 K 的作用下有一个非负象限

(ii)可表示的锥二次,比如,由式(1.3.10)给出,在 K 的作用下有洛伦兹锥 L k = 的一个直积

(iii)可表示的半正定,由式(1.3.10)给出,在 K 的作用下有半正定锥

在(ii)和(iii)的情况下还假定式(1.3.11)成立。然后将具有扰动集 Z 的不确定线性不等式(1.3.4)~(1.3.5)的鲁棒对等(1.3.6)进行等价重新表述,表示为以下显式组:

●线性不等式,在情况(i)下;

●锥二次不等式,在情况(ii)下;

●线性矩阵不等式,在情况(iii)下。

在所有情况下,重新表述的大小是式(1.3.6)中变量的个数和 Z 的锥二次描述的大小,而重新表述的数据很容易通过式(1.3.10)扰动集 Z 的描述数据得到。

评注1.3.6 A .通常,式(1.3.10)中的锥 K 是更简单的 K 1 ,…, K S 的直积,因此采用以下形式表示式(1.3.10):

在这种情况下,式(1.3.12)成为变量为 x y 1 ,…, y S 的锥约束组:

其中 K s 的对偶锥。

B .线性矩阵不等式给出的不确定性集似乎是“奇异的”,然而,它们可以在相当实际的情况下出现,见1.4节。

1.3.3.1 例子

在两种特殊情况下,我们应用定理1.3.4来建立半无限不等式(1.3.6)易于处理的新公式。虽然乍一看,并不自然的“不确定模型”会导致我们去考虑“奇怪的”的扰动集,但稍后就会明白,这些集合是非常重要的——它们支持为随机不确定建模。

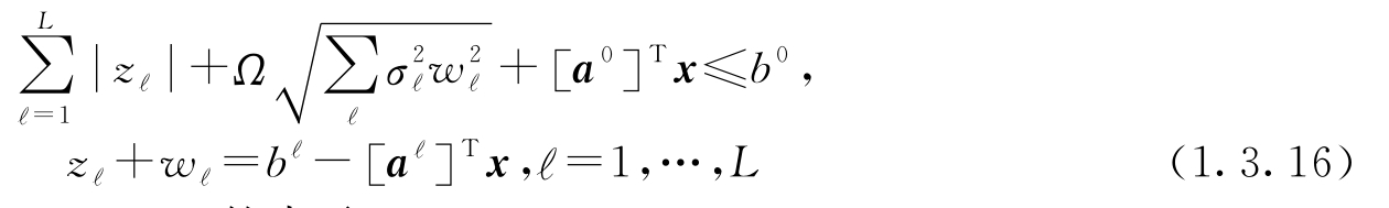
例1.3.7 Z 是同心共轴盒和椭球的交点,

其中给定参数 σ >0以及 Ω >0。

这里式(1.3.13)变为

其中

P 1 ζ ≡[ ζ ;0], p 1 =[ 0 L ×1 ;1], ,由此,

P 2 ζ =[ Σ -1 ζ ;0],其中 Σ =Diag{ σ 1 ,…, σ L }, p 2 =[ 0 L ×1 Ω ], K 2 是维度为 L +1的洛伦兹锥(由此 )。

y 1 =[ η 1 τ 1 ], y 2 =[ η 2 τ 2 ],其中 τ 1 τ 2 为1维, η 1 η 2 L 维,式(1.3.14)成为变量 τ η x 的约束组:

我们可以从这个组中消除变量 τ 1 τ 2 ——对于组的每个可行解,我们有 ,而用 来代替 τ 1 τ 2 仍是可行的。用变量 x z = η 1 w = Σ -1 η 2 简化组

这也是式(1.3.6)和式(1.3.15)的表示。

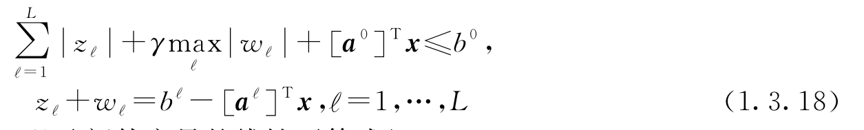
例1.3.8 不确定性预算 】考虑这种情况, Z 球和 球的交叉点,具体地说,

其中, γ ,1≤ γ L 是给定的“不确定性预算”。

这里式(1.3.13)变为

Z ={ ζ ∈ℝ L P 1 ζ + p 1 K 1 P 2 ζ + p 2 K 2 }

其中

y 1 =[ z τ 1 ], y 2 =[ w τ 2 ],其中 τ 为1维, z w L 维,组(1.3.14)成为变量 τ 1 τ 2 z w x 的约束组:

同例1.3.7一样。我们可以消除变量 τ ,得到式(1.3.6)和式(1.3.17)的表示,由变量为 x z w 的约束组表示:

它可以进一步转化为 z w 以及额外变量的线性不等式组。 MZ+Tb/hGOX6701VPYEkkcOCIBpdswIB2dBjYtvyDozzSxSrnYSXsW5PeUiD4/2cq

点击中间区域
呼出菜单
上一章
目录
下一章
×