购买
下载掌阅APP,畅读海量书库
立即打开
畅读海量书库
扫码下载掌阅APP

1.2 不确定线性问题及其鲁棒对等

定义1.2.1 不确定线性优化问题是集合

在给定的不确定性集 U ⊂ℝ m +1)×( n +1) 中,数据变化时的共同结构(即具有共同数量的 m 个约束和 n 个变量)的LO问题(实例)为

我们总假设不确定性集是通过扰动向量 ζ 在给定的扰动集 Z 中以仿射形式参数化的:

例如,1.1.2节的例子中使(Drug)成为一个不确定的LO问题,如下:

●决策向量: x =[RawⅠ;RawⅡ;DrugⅠ;DrugⅡ];

●标准数据:

●两种基本转化:

●扰动集:

Z ={ ζ ∈ℝ 2 :-1≤ ζ 1 ζ 2 ≤1}

该描述特别指出,(Drug)中唯一不确定的数据是平衡不等式中变量RawⅠ和RawⅡ的系数anⅠ和anⅡ(这是(Drug)中的第一个约束),并且这些系数在各自的段[0.01·(1-0.005),0.01·(1+0.005)]和[0.02·(1-0.02),0.02·(1+0.02)]中变化,系数的标准值是0.01和0.02,这正是1.1.2节所述的。

评注1.2.2 如果式(1.2.1)中的扰动集 Z 本身表示另一个集合 在仿射映射 下的像,那么我们可以将扰动 ζ 传递到扰动 ξ

由此可见,当讨论具有简单几何(超平行体、椭球等)的扰动集时,我们可以将这些集规范化为“标准”。例如,根据定义,平行体是单位盒{ ξ ∈ℝ k :-1≤ ξj ≤1, j =1,…, k }的仿射像,这使我们有可能使用单位盒,而不是一般的平行体。类似地,根据定义,椭球是单位欧几里得球 在仿射映射下的像,因此,我们可以使用标准球,而不是椭球等。我们将尽可能使用这种规范化。

注意,与单个优化问题相比,像(LO U )这样的优化问题本身并不与可行/最优解和最优值的概念相关联。如何定义这些概念当然取决于潜在的“决策环境”。这里我们关注的环境具有以下特点:

A.1.(LO U )中的所有决策变量都代表“此时此地”的决策;在实际数据显示之前,所有的决策都应作为解决问题的结果而获得特定的数值。

A.2.当且仅当实际数据在式(1.2.1)给出的预先指定的不确定性集 U 的范围内时,决策者对所做出决策的后果完全负责。

A.3.(LO U )中的约束是“严格的”——当数据在 U 内时,我们不能容忍约束违背,即使是小的约束。

上述假设以或多或少独特的方式确定了不确定问题(LO U )有意义的可行解。根据A.1,这些应该是固定的向量;根据A.2和A.3,它们应该是鲁棒可行的,也就是说,无论不确定性集的数据实现如何,它们应该满足所有的约束情况。因此我们可得出以下定义。

定义1.2.3 向量 x ∈ℝ n 是(LO U )的鲁棒可行解,如果它满足不确定性集的所有约束,即

对于与有意义的(即鲁棒可行)解相关联的目标函数值,假设A.1~A.3不以独特的方式来规定它。然而,这些可能导致最坏情况的假设“本质上”自然会导致以下定义。

定义1.2.4 给定一个候选解 x ,在 x 处(LO U )中目标函数的鲁棒值 是“真实”目标函数 c T x + d 在以下不确定性集所有数据中的最大值:

在就不确定问题(LO U )的有意义的候选解以及如何评估它们的质量达成共识之后,我们可以在问题的所有鲁棒可行解中寻找目标函数的最优鲁棒值。这就是本书的中心概念,即不确定优化问题的鲁棒对等,其定义如下。

定义1.2.5 不确定LO问题(LO U )的鲁棒对等是在不确定问题的所有鲁棒可行解中,最小化目标函数的鲁棒值的优化问题:

鲁棒对等的最优解称为(LO U )的鲁棒最优解,而鲁棒对等的最优值称为(LO U )的鲁棒最优值。

简而言之,鲁棒最优解是我们可以与不确定问题关联起来的“最优不确定性免疫”解。

例1.1.1续 让我们找到解决不确定问题(Drug)的鲁棒最优解。数据中正好有一个受不确定性影响的“块”,即平衡约束中的RawⅠ系数、RawⅡ系数。因此,如果候选解满足(Drug)除了平衡约束的所有约束和平衡约束的“最差”实现,那么候选解是鲁棒可行的。由于RawⅠ、RawⅡ是非负的,平衡约束的最差实现条件是不确定系数anⅠ、anⅡ设置为不确定性集中的最小值(这些值分别为0.00995和0.0196)。由于目标函数不受不确定性的影响,鲁棒目标函数值与原始目标函数值相同。因此,我们的不确定问题的RC(鲁棒对等)是LO问题:

解决此问题,我们得到:

RobOpt=-8294.567;RawⅠ=877.732,RawⅡ=0,DrugⅠ=17.467,DrugⅡ=0

鲁棒性的“代价”是将期望利润从标准最优值8819.658减少到鲁棒最优值8294.567,即减少了5.954%。这远低于实际利润减少21%(值为6929),当“真实”数据“反对”它时,我们在坚持标准最优解时可能会遭受这种损失。还要注意的是,鲁棒最优解的结构与标准最优解有很大的不同:对于鲁棒解,我们将只购买原材料RawⅠ,而对于标准最优解,我们将只购买原材料RawⅡ。以下解释很清楚:根据标准数据,RawⅡ比RawⅠ的活性剂的单位价格略低(9995$/g与10000$/g)。这就是为什么对标准数据使用RawⅠ没有意义。鲁棒最优解考虑到anⅠ的不确定性(即RawⅠ中活性剂含量的可变性)为anⅡ的1/4(0.5%与2%),最终使用RawⅠ。

1.2.1 鲁棒对等的更多信息

我们从几个有用的观察开始。

A .LO U 的鲁棒对等(1.2.4)同样可以改写为问题:

请注意,我们可以以另一种方式得出此问题:首先引入额外的变量 t ,并将不确定问题(LO U )的重写实例等价为

因此,在变量 x t 中得出等价于(LO U )的不确定问题,目标函数 t 完全不受不确定性的影响。重新表述的问题的RC正好是式(1.2.5)。我们看到了:一个不确定的LO问题总是可以重新表述为具有特定目标函数的不确定LO问题。重构问题的鲁棒对等与此问题具有相同的目标函数,等价于原始不确定问题的RC。

因此,当我们用不确定的LO程序和特定的目标函数作为约束时,是没有任何损失的,我们以后将经常使用此选择。

我们现在明白为什么不应忽视目标函数(1.1.1)的常数项 d ,或者更确切地说,如果不确定它的值,则不应忽视。若 d 是确定的,我们可以通过在松弛变量 t 中的变化 来解释它,它只影响最优值,而不影响鲁棒对等(1.2.5)的最优解。当 d 不确定时,没有一种“通用”的方法在不影响鲁棒对等最优解(其中 d 在原始约束的右侧发挥相同的作用)的情况下消除 d

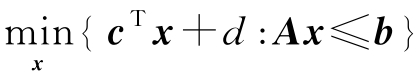
B .假设(LO U )具有特定的目标函数,则问题的鲁棒对等是

(请注意,不确定性集现在是约束数据[ A b ]空间中的一组集合)。

我们看到具有特定目标函数的不确定LO问题的鲁棒对等具有纯粹的“约束性”结构:为了获得RC,我们采取以下步骤:

●保留原有的特定目标函数

●替换所有原始约束条件

A 的第 i 行),其鲁棒对等为

其中, U i U 在第 i 个约束的数据空间下的投影:

特别地,当不确定性集 U 扩展为直积

即其在各自约束的数据空间下的投影的直积时,具有确定目标函数的不确定LO问题的RC保持不变。

例1.2.6 在变量 x 1 x 2 处,不确定约束组

的RC是无限约束组

后者显然等同于以下这组约束

两个不确定约束(1.2.7)的数据空间的 U 的投影是分段 U 1 ={ ζ 1 :0≤ ζ 1≤1}, U 2 ={ ζ 2 :0≤ ζ 2≤1},式(1.2.7)关于不确定性集 的RC显然是式(1.2.8)。

我们得出的结论似乎是反常理的:不同约束条件下的数据扰动是否相互关联无关紧要,而按照常理,这种关联应该是重要的。我们将在后面(第14章)看到,当考虑更高级的可调鲁棒对等的概念时,这种直觉是有效的。

C .如果 x 是( C i )的鲁棒可行解,那么我们将不确定性集 U i 扩展到其凸包Conv( U i )时 x 仍是鲁棒可行解。的确,如果 ,则

其中适当的选择 ,比如 。我们现在有

其中不等式由以下事实给出:对于RC( C i )和 来说, x 是可行的。我们看到,对于所有 ,证明完毕。

基于类似的原因,我们扩展 U i 到其闭包时,( C i )的鲁棒可行解保持不变。将这些观察和观察B相结合时,我们得出以下结论:当我们将相关约束的不确定数据集 U i 扩展到其封闭凸包,并扩展 U 到结果集的直积时,具有特定目标函数的不确定LO问题的鲁棒对等保持不变。换句话说,我们从一开始就假设约束不确定数据集 U i 是封闭和凸的,而 U 是这些集的直积,因此我们不会损失任何东西。

就不确定性集的参数化(1.2.1)而言,后一个结论意味着:当谈到具有特定目标函数的不确定LO问题的鲁棒对等时,假设第 i 个约束的不确定数据集 U i

其中有封闭的和凸扰动集 Z i

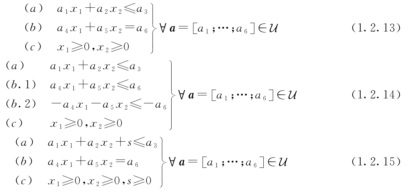
D . 一个重要的建模问题 。在通常(具有特定数据)的线性优化中,约束可以用各种等价形式建模。例如,我们可以写出:

或者,等价地

或者,等价地,通过添加一个松弛变量 s

但是,当(部分)数据 a 1 ,…, a 6 变得不确定时,并非所有这些等价都有效:目前受不确定性影响的约束组的RC并不是等价的。实际上,用 U 表示不确定性集,RC分别为:

可以立刻看到,虽然第一个和第二个RC彼此等价 ,但是它们与第三个RC不等价。后一个RC比前两个RC更加保守,这意味着无论何时( x 1 x 2 )可以通过适当选择 s 扩展到式(1.2.15)的可行解,( x 1 x 2 )对于式(1.2.13)≡式(1.2.14)是可行的(这是明显的),但是反过来不一定。实际上,式(1.2.15)和式(1.2.13)≡式(1.2.14)之间的差距相当大。为了说明后一种说法,考虑不确定性集的情况:

U ={ a = a ζ =[1+ ζ 2+ ζ 4 4+ ζ 5 9]: ζ ρ }

其中 ζ 是数据扰动。在这种情况下, x 1 =1, x 2 =1是式(1.2.13)≡式(1.2.14)的一个可行解,条件是不确定性 ρ ≤1/3:

(4+ ζ )· 1+(5 )· 1=9,∀ ζ

同时,当 ρ >0时,我们的解( x 1 =1, x 2 =1)不能推广到式(1.2.15)的一个可行解,因为后一个约束系统是不可行的,即使消除等式(1.2.15. b )后仍然是不可行的。

的确,对于所有的 a U ,为了使 x 1 x 2 满足式(1.2.15. a ),应该有

ρ >0时,应该得到 x 1 + x 2 =-1,与式(1.2.15. c )矛盾。

上述现象的根源是很清楚的。显然,不等式 a 1 x 1 + a 2 x 2 a 3 ,其中所有 a i x i 是固定实数,当且仅当我们可以通指出一个实数 s ≥0来“证明”不等式,使 a 1 x 1 + a 2 x 2 + s = a 3 。当数据 a 1 a 2 a 3 变得不确定时,对于所有 a U 的不确定等式 a 1 x 1 + a 2 x 2 a 3 ,( x 1 x 2 )的约束变得鲁棒可行,“在证明方面”,依照

a U ,∃ s >0: a 1 x 1 + a 2 x 2 + s = a 3

也就是说,应该证明 s 依赖于真实数据。与此相反,在式(1.2.15)中,我们要求决策变量 x 和松弛变量(“证明”) s 都独立于真实数据,这是非常保守的。

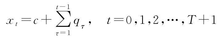
从上面的例子中可以学到的是,当建模一个不确定的LO问题时,应该尽可能避免将不等式约束转换为等式,除非问题约束中的所有数据都是确定的。除了避免松弛变量 ,这意味着像“总支出不能超过预算”或者“供给应该至少是需求”这样的约束,在具有特定数据的LO问题中,可以利用等式来建模,在数据不确定的情况下,则应该用不等式来建模。这完全符合常识,例如,若需求是不确定的,则满足需求是必然的,禁止供应过剩是不明智的。有时候,RO方法建模需要通过相应的“状态方程”消除“状态变量”——这些变量很容易由代表实际决策的变量给出。例如,在最简单的情况下,用状态方程给出了库存的时间动态:

x 0 = c

x t +1 = x t + q t -d t t =0,1,…, T

其中, x t 是在时间 t 的库存水平, d t 为[ t t +1)时期的(不确定)需求,变量 q t 表示实际决策——在 t =0,1,…, T 时按照指令补充。对于此类库存问题进行RO处理的明智方法是通过设置

来消除状态变量 x t 以及消除状态方程。因此,典型的约束状态变量(例如“ x t 应该保持在给定的范围内”或“总持有成本不超过一个给定的值”)将成为实际决策 q t 的不确定影响的不等式约束,通过其RC,我们可以处理由此产生的不等式约束的不确定LO问题

1.2.2 未来

在引入不确定LO问题的鲁棒对等概念之后,我们面临两个主要问题:

●RC的“计算状态”是什么?什么时候才能有效地处理RC?

●如何产生有意义的不确定性集?

第一个问题是一个“结构”问题,将在1.3节中深入讨论:为了使RC在计算上易于处理,不确定性集的结构应该是什么?注意到,由式(1.2.5)和式(1.2.6)给出的是半无限LO规划,即一个优化规划具有简单的线性目标函数和无限多线性约束。原则上,这样的问题可能是“计算上难以处理的”——NP难问题。

例1.2.7 考虑一个不确定“本质是线性”的约束

其中, ,并假设矩阵 P 是确定的,而向量 p 是不确定的,并由单位盒的扰动参数化:

其中, B 是一个给定的半正定矩阵。检验 x = 0 是否鲁棒可行与当 时验证 与否相同,或者,由于明显关系 ,与检验 与否相同。当 η = ζ 时(也许利用极化恒等式 来检查),双线性型 η T 的最大值总是在原点的凸对称邻域中取得,该双线性形式具有在 η ζ 上的半正定矩阵 B 。因此,对于式(1.2.16)检查 x = 0 是否鲁棒可行与检查给定的非负二次型 ζ T 在单位盒上的最大值是否≤1相同。后一个问题是熟知的NP难问题 [1] ,因此,式(1.2.16)的鲁棒可行性检验问题也是如此。

上述第二个问题是一个建模问题,因而超出了纯理论考虑的范围。然而,正如我们将在2.1节中看到的,理论对这个建模问题有重要贡献。


[1] 事实上,计算单位盒上的非负二次型的最大值是NP难问题,误差小于4% [61] WhPOKKNVXd4MdUqXXjg8/o+WyrLk3AwAocW2CLojqHaxXXK8iMgcUOlj3gOkXX9A

点击中间区域
呼出菜单
上一章
目录
下一章
×