购买
下载掌阅APP,畅读海量书库
立即打开
畅读海量书库
扫码下载掌阅APP

4.3 在风险与收益方面从Bernstein近似值到条件值

Bernstein近似是一种限定随机变量的概率为正的特殊情况,它是概念上的简单方法。方法如下。

4.3.1 基于生成函数的近似方案

考虑随机变量

z 是参数的确定性向量, ζ 是具有明确定义期望的随机扰动。根据以上对

p z =Prob{ ξ z >0}

进行限制,我们将一个生成函数 γ s )固定在轴上,其中 γ (·)是凸的且不减的函数,

既然 γ 在原点处是不减的且≥1,对于所有的 s ≥0有 γ s )≥1;除此之外, γ 是非负的, Ψ * z E { γ ξ z }在 p z 上是一个上界:

p z Ψ * z

注意 Ψ * z z 的一个凸函数;从现在起,我们假定它处处都是有限的。在这个假设下,我们有

假设我们能找到一个在ℝ中取值的凸函数 Ψ z ,使

以至于对所有的 z 都有 p z Ψ z 。既然对于所有的 α >0都有 p z = p α z ,我们有

我们基本上得出了以下简单的结论。

命题4.3.1 给定 ∈(0,1)且满足式(4.3.1)的生成函数 γ (·),让 Ψ z 是一个满足式(4.3.2)的有限凸函数。我们设置

是以下凸不等式(如式(4.2.6))的解集:

这个不等式是机会约束(4.0.1)的保守标准近似。

该命题的有关证明,请参见附录B.1.4。

注意Bernstein近似,本质上是与命题4.3.1相关联的近似方案的一种特殊情况,对应于选择 γ s )=exp{ s }。通过这种生成函数的选择,ln( Ψ * z )是一个凸函数,它允许我们在“对数尺度”中操作,即,以在ln Ψ * z 上的凸强函数 Φ z 开始,并使用边界(4.3.3)的等效版本

∀( α >0, z :ln p z Φ α z

4.3.2 的鲁棒对等表示

除了命题4.3.1的前提,假设

其中 ψ (·)是一个具有有界水平集的适当选择的下半连续凸函数。应用定理B.1.2,我们得出对于每一个 ∈(0,1),集合

是一个非空凸紧集,并且

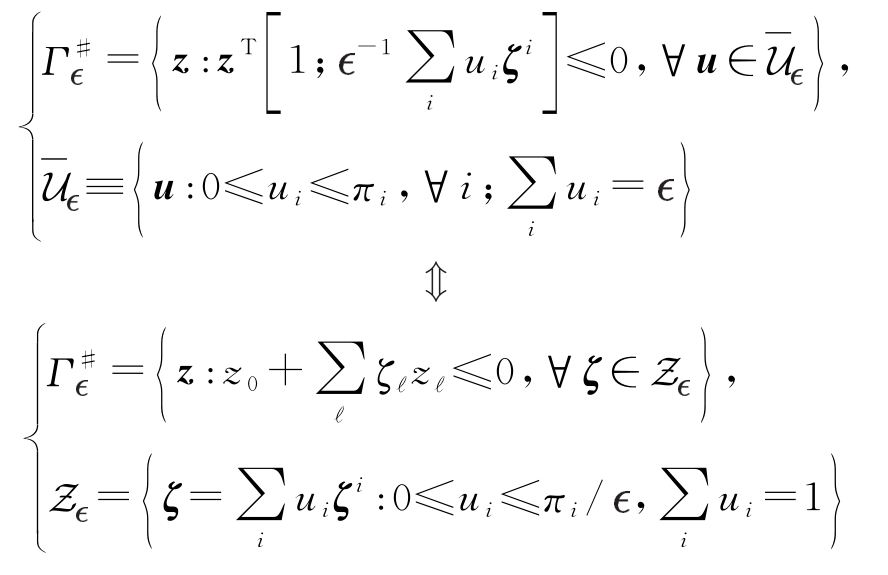
换句话说, 只是不确定线性不等式

的鲁棒可行集,且 与凸紧不确定性集 有关。

从美学的角度来看,有关 鲁棒对等表示的一个缺点是,在式(4.3.5)中 z 0 的系数变得不确定,而不是和我们之前所有的结果一样等于1。不过这很容易矫正。事实上,让

我们称 ,其中 是凸紧集,且

其中 是不确定线性不等式

的鲁棒可行集,同时 是不确定性集。为了证明我们的说法,首先,请注意式(4.3.2)中的第二个关系式同 Ψ 的凸性结合起来,表示对于每一个有界集合 U ⊂ℝ L ,只要 t 足够大,对于 z U 的所有向量[ -t z ]∈ℝ L +1 都包含在 中。既然 是一个锥,则 e =[-1;0;…; 。如果存在一个向量 ,则向量 ζ = 0 。事实上,我们知道

假设某一 时, ζ 0 ≤0,我们由式(4.3.7)可得 ,事实并非如此。事实上,同样观察到 的情况,与式(4.3.7)不同,此时 =ℝ L +1 ,这与我们所知道的 不同。底线是这样一种情况,即 是一个封闭凸集,且被包含在 ζ 0 ≥0的半空间中,且与该半空间的边界超平面 ζ 0 =0相交,如果有的话,在唯一一点 ζ = 0 存在,但是不能化简到该点;因此,向量 是密集的,其中 ζ 0 >0,这结合了式(4.3.7)和 的定义,并表明

此外,集合 ,根据其构造,是凸的(因为 也是这样),且是非空和封闭的。唯一没有被证明的部分是 是有界的;但这是式(4.3.8)的直接结果且事实是

4.3.3 风险条件下生成函数和条件值的最优选择

一个很自然的问题是,如何选择函数 γ (·)。如果唯一的标准是边界(4.3.3)的质量,答案将是

或者在我们的上下文中是一样的,即 γ s )=max[1+ αs ,0],其中 α >0(注意生成函数 γ s )和 γ α s )= γ αs ), α >0产生同样的近似 )。事实上,设 γ (·)是一个生成函数(即满足式(4.3.1)的函数), Ψ z 是一个凸函数,使得

并使

我们称 Ψ # z 是ℝ L 上的一个有限凸函数且

所以与 Ψ # 相关的边界(4.3.3)至少和 Ψ 相关的边界一样好,因此式(4.0.1)的可行集的保守近似 不再像 的近似一样保守。

事实上, ζ 有明确定义的期望,所以 Ψ # 可以良好定义。由于 γ 满足式(4.3.1),显然得到 γ ′(+0)>0。将 γ s )替换为 γ βs ), β >0(从而将 Ψ z 替换为 Ψ β z ),我们不改变式(4.3.3)的右边;以这种方式“缩放” γ ,我们可以强制 γ ′(+0)=1。在后一种情况下,对于所有的 s (回忆一下 γ 是凸的且 γ (0)≥1),我们有 γ s )≥ γ (0)+ γ ′(+0) s ≥1+ s 。此外,由于 γ (·)≥0,我们得出结论,对于所有的 s γ s )≥ γ # s ),也因此对于所有的 z Ψ # z Ψ z ,这表明了式(4.3.10)中所述的所有事实。

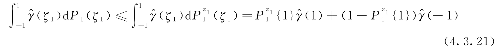
对于扰动向量 ζ 的给定分布 P Ψ 的“最优”选择

与条件风险价值 紧密相关,其与参数随机变量 相关。对于一个期望被良好定义的随机变量 ξ ∈(0,1),则相关的条件风险价值定义为

众所周知,得到了这个关系式右边的下确界,并且 。除此之外,如果 ξ 是参数形式 和所有 ζ 有良好定义期望,则 z 上的凸函数,因此关系

是一个关于 z 的凸不等式,并且它的有效性是Prob{ ξ z >0}≤ 的充分条件。这个条件和结构之间的联系在下面的观察中解释。

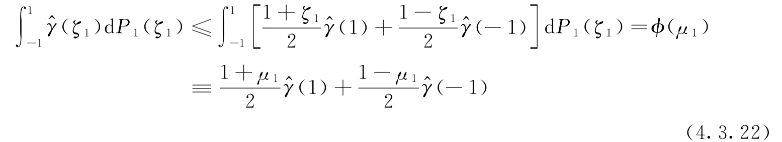
命题4.3.2 ζ 是具有期望的分布 P 的一个随机扰动,设 ∈(0,1)并且 是式(4.3.10)中的相关集合。于是有

证明 我们有

从后一种关系可以立即得出 。正如我们所提到的, z 的一个有限凸函数,所以这个函数是连续的,因此 C 是一个闭集。因此,上述结论表明 。为了证明相反的结论,设 z C ,并证明 。为此,很清楚地观察到函数

是一个有限的凸函数,随着 ,因此,该函数在特定的 a = a * 时达到最小值。由于 z C ,我们有

从后一个不等式中,得到 a * ≤0。在 a * <0的情况下,关系式(4.3.14)表示 。如果 a * =0,那么式(4.3.15)表明,在 ξ z ≤0时的概率为1,据此,设置 z =[ z 0 z 1 ;…; z L ], δ >0,我们得到在 时概率为1。在后一种情况下,对于所有小的正数 α ,我们有 。根据关系式(4.3.14),表明 。随着 δ →+0, z ′→ z ,我们得到

4.3.4 易处理的问题

我们已经看到,在所有基于生成函数的近似方案产生的近似中,机会约束(4.0.1)中的“CVaR近似” ,是最好的,即最不保守的。鉴于这个事实,为什么我们会对其他更保守的近似,例如Bernstein近似感兴趣呢?

答案是,保守程度并不是唯一的考虑因素:我们感兴趣的是计算易处理的近似,为此,潜在的函数 Ψ 应该是可有效计算的。对于Bernstein近似,确实是这样,只要随机扰动 ζ 独立,且不属于太复杂的分布族(参见4.2节中的示例)。相反,函数 Ψ # 在CVaR近似下是不能有效计算的,即使 ζ 是独立的并且具有简单的分布(例如,在[-1,1]中是均匀分布的)。似乎我们在计算 Ψ # 时没有困难的唯一的一般情况是,当 ζ 被支持在一个有限的中等基数的集合上,在这种情况下,CVaR近似由以下给出。

命题4.3.3 ζ ∈ℝ L 是一个取值 ζ 1 ,…, ζ N 时概率为 π 1 ,…, π N 的离散随机向量。于是

并且CVaR近似的鲁棒对等表示是

证明 我们有

相应地,由4.3.2节可得

这与命题中所陈述的内容是等价的。

4.3.5 向量不等式的扩展

概述的方法可以应用于随机扰动向量不等式的机会约束版本

其中

其中, z 0 z 1 ,…, z L ∈ℝ d 是确定性参数, ζℓ 是随机扰动且 K 是ℝ d 内部非空给定的闭凸锥。为此,选择一个凸函数 γ 以满足条件,当ℝ d →ℝ时, K 是单调的。

γ y + h γ y ,∀ h K y ∈ℝ d

并且满足关系

γ y ≥0,∀ y γ y ≥1,∀ y -K

e :∀ y : γ y + t e →0, t →∞

例如,我们可以选择一个在ℝ d 上的范数 ,设

并且利用 e 使用来自-int K 的一个方向。

如上所述,给定一个 γ (·),假设在处理中,我们有一个处处有限的函数 Ψ z ,它在 z =[ z 0 z 1 ;…; z L ]上是凸的,并且在 E { γ ξ z }上是一个上界, ψ u 是凸的下半连续函数,且 ψ u 具有有界的水平集,使得

在概述的情况下可以很容易证明以下内容。

(i)

(ii)集合 }满足在 时,

(iii)集合 只是不确定线性约束

的鲁棒可行集,且集合 与非空凸紧扰动集 相关。

4.3.6 在Bernstein近似和CVaR近似之间架起桥梁

我们已经看到机会约束(4.0.1)的Bernstein近似是构建约束的保守凸近似的一般生成函数方案的特殊情况,而且这种特殊的近似在保守性方面不是最好的。什么使它有吸引力,是在某些结构假设下(即 ζ 1 ,…, ζ L 的独立性加上函数ln( E {exp{ sζℓ }})的有效可计算的凸上界的可用性),这种近似在计算上是易于处理的。我们现在要解决的问题是,如何在不牺牲计算易处理性的前提下,在一定程度上降低Bernstein近似的保守性。其思路如下,我们有以下假设。

A.随机扰动 ζ 1 ,…, ζ L 是独立的,我们可以有效地计算相关的矩生成函数

Ψ s )= E {exp{ sζℓ }}:C→C

在此假设下,当 是一个指数多项式,可以有效地计算函数

换句话说,

(!)当生成函数 γ (·):ℝ→ℝ为指数多项式时,且满足式(4.3.1),则与 相关的上界

是有效可计算的。

我们现在可以在以下结构中使用(!)。

给定设计参数 T >0(“窗宽”)和 d (“近似度”),我们建立了三角多项式

通过求解以下最优一致近似问题:

使用(!)中的指数多项式

可以立即证实以下结论。

(i)概述的结构定义良好,生成函数 γ d T s )的结果是一个指数多项式,满足式(4.3.1)的要求,从而在 p z 上产生一个有效可计算的凸上界。

(ii)根据(!),得到的 p z 的上界小于或等于与 γ s )=exp{ s }相关的Bernstein上界。

生成函数 γ 11,8 (·)如图4-2所示。

图4-2 生成函数 γ 11,8 s )(中间的曲线),exp{ s }(最上面的曲线)和max[1+ s ,0](最下面的曲线)。 a :-24≤ s ≤24,沿 y 轴的对数尺度; b :-8≤ s ≤8,沿 y 轴的自然尺度

模糊机会约束的情况 。与普通近似相比,改进的Bernstein近似的一个缺点是,改进的近似需要独立随机变量 ζ 的矩生成函数 E {exp{ sζℓ }}, s ∈C的精确知识,而那些已知部分 ζ 的分布情况的原始近似需要知道这些函数的上界,因此适用于模糊机会约束。这样的部分信息等价于这样一个事实,即 ζ 的分布 P 属于在ℝ L 上乘积概率分布空间中的一个给定族 P 。在这种情况下,我们所需要的是有效计算凸函数

凸函数与 P 与满足式(4.3.1)的给定生成函数 γ (·)相关。当 ΨP (·)可用时,模糊机会约束

的一个计算上易于处理的保守近似是

目前,在我们已经考虑过的“普通的”Bernstein近似的所有应用中,族 P 包含了关于 P 的所有乘积分布 P = P 1 ×…× P L ,这些“简单”的 P 通过给定族 P 在轴上的概率分布,允许我们直接计算函数

在我们的处理中且在 γ s )=exp{ s }的情况下,函数

是容易获得的,它仅仅是 。然而,请注意,当 γ (·)是一个指数多项式而不是指数时,与之相关的函数 ΨP z 不能通过函数 Ψ (·)简单的表示。因此,在机会约束模糊的情况下,如何实现改进的Bernstein近似确实是不清楚的。

我们当前的目标是在一个特定的模糊机会约束(4.3.19)的情况下实现改进的Bernstein近似,即当 P 由所有的乘积分布 P = P 1 ×…× P L 组成时,且 P 在已知 (如例4.2.8)时满足约束

结果如下。

命题4.3.4 对于刚刚定义的族 P ,当 γ (·)满足式(4.3.1)时,有

其中 ,且 是由

给定且在区间[-1,1]端点处成立的分布。

特别地,当 γ (·)≡ γ d T (·)时,函数 ΨP z 是有效可计算的。

证明 只要证明以下几点就足够了。

要求:如果 P = P 1 ×…× P L ,其中 P 满足式(4.3.20)且 * ∈{1,…, L },然后从分布 P 到分布 (显然也属于 P ),我们不减少相关的量

在证明时,我们可以假设 * =1。

让我们设置

由于 γ (·)满足式(4.3.1),函数 是一个有限凸函数,且当 z 1 ≥0时不减小,当 z 1 <0时不增加。在 方面,我们称

后一个关系式的证明是直接的。令 ,且 是凸的,我们有

既然当 z 1 ≥0时 不是递减的,且 z 1 <0时 不是递增的,则当 z 1 ≥0,区间 时,函数 ϕ r )不是递减的,当 z 1 <0,在同样的区间内则不是递增的。既然 μ 1 属于式(4.3.20)的这个区间,当 z 1 ≥0时我们有 ,且当 z 1 <0时 ,这意味着在这两种情况下有 (参见式(4.3.21)中的等式),因此式(4.3.22)表明了式(4.3.21)中的不等式。

4.3.6.1 说明Ⅰ

为了阐述我们的发现,假设在式(4.0.1)中,所有关于随机扰动 ζℓ 的先验信息是它们是独立的,且在[-1,1]上成立,均值为零。让我们阐述相应的模糊机会约束的保守近似

其中 P 在[-1,1]上成立,且均值为零,是所有 L 概率分布集合的族。请注意,在最近的检查中,当我们所讨论的不是模糊的机会约束,而是通常的约束,下面列出的所有近似方案得到的结果保持不变, ζ 均匀地分布在单位盒 的顶点上。

我们将阐述这些近似,它们的保守性在上升且它们的复杂性在下降。在可能的情况下,我们给出了近似的“不等式形式”(通过一种显式凸约束组)和“鲁棒对等形式”

CVaR近似 [命题4.3.2]

尽管CVaR近似是在基于所有生成函数的近似中最不保守的,但它通常是难以处理的。当从模糊的机会约束情况到 ζ 在[-1,1]上均匀分布时(这相当于用 替换式(4.3.24)中的 ,它仍然是难以处理的。

我们“提出”了CVaR近似的不等式形式。通过命题4.1.3和命题4.3.1,这种近似承认鲁棒对等形式;后者“存在于自然界”,但在计算上难以处理,因此用处不大。

桥接的Bernstein-CVaR近似 [命题4.3.4]

其中 d T 是结构参数以及 γ d T 是式(4.3.18)中的指数多项式。注意,我们使用命题4.3.4来处理感兴趣的机会约束的模糊性。

尽管式(4.3.25)的表示极其复杂,但函数 Ψ d T 是有效计算的(通过命题4.3.4中的公式,而不是式(4.3.25))。因此,我们的近似在计算上是易于处理的。回想一下,这个易于处理的保守近似没有一般的Bernstein近似保守。

由于命题4.1.3和命题4.3.1,式(4.3.24)中的近似展示出鲁棒对等形式,现在涉及一个计算上易处理的不确定性集 Z BCV ;然而,这个集合似乎没有显式表示。

Bernstein近似 [例4.2.8]

具有球-盒不确定性的鲁棒对等近似 [命题2.3.3,或等价地,例2.4.9以及定理2.4.4]

可以立即看出式(4.3.27)是式(4.3.26)的简化保守版本,即,从式(4.3.26)看出,式(4.3.27)可由熵 ϕ u )的二次下界求得,其中

(为了得到这个边界,注意当 ϕ (0)= ϕ ′(0)=0且 ,因此

具有预算不确定性的鲁棒对等近似 [命题2.3.4]

注意(4.3.28)显然是由不等式

给出的式(4.3.27)的简化保守版本,这意味着 Z BIBx Z Bdg

我们列出的计算上易处理的不确定性集形成一个链:

Z BCV Z Brn Z BIBx Z Bdg

在图4-3中,我们绘制了嵌套不确定性集的随机二维横截面,这给人的印象是这个链中的“缝隙”。

图4-3 说明Ⅰ中各种近似方案下的不确定性集与随机二维平面的交集。从内到外:桥接的Bernstein-CVaR近似, d =11, T =8;Bernstein近似;球-盒近似;预算近似;“最坏情况”近似,其中关于 ζ 的支持 在不确定性集的作用下

4.3.6.2 说明Ⅱ

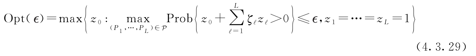
这个说明是例4.2.9的延续,我们使用上述近似方案来建立以下模糊机会约束问题的保守近似:

其中,像之前一样, P 在[-1,1]上成立,且其是概率分布的 L 元组集合并且均值为零。由于我们的机会约束的简单性,在这里可以有效地建立问题的CVaR近似。此外,我们还可以精确地求解机会约束问题

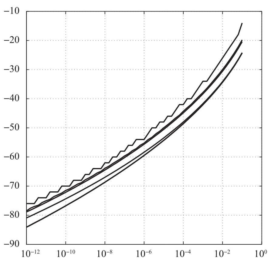
其中, U 均匀地分布在单位盒 的顶点上。这实际上是例4.2.9中的问题( P )。显然,Opt + )是式(4.3.29)中模糊机会约束问题的真正的最优值Opt( )的上界,而我们的近似的最优值是Opt( )的下界。在实验中,我们使用 L =128。结果如图4-4和表4-1所示。

图4-4 L =128与 时式(4.3.29)的各种近似的最优值。从下到上:预算和球-盒近似;Bernstein近似;桥接的Bernstein-CVaR近似, d =11, T =8;CVaR近似;Opt +

表4-1 比较模糊机会约束问题(4.3.29)的各种保守近似

注:Opt )到Opt )分别是球、球-盒(式(4.3.29)的情况是相同的,即预算)、Bernstein、桥接的Bernstein-CVaR和CVaR近似的最优值。“Opt )”列中括号内的数字指的是相对于Opt + (·),CVaR近似的保守性,其余列中括号内的数字是相对于CVaR近似,此列对应近似的保守性。 MZ+Tb/hGOX6701VPYEkkcOCIBpdswIB2dBjYtvyDozzSxSrnYSXsW5PeUiD4/2cq

点击中间区域
呼出菜单
上一章
目录
下一章
×