购买
下载掌阅APP,畅读海量书库
立即打开
畅读海量书库
扫码下载掌阅APP

4.2 机会约束的Bernstein近似

这个近似方案与我们在2.4节中使用的近似方案密切相关,回顾这个方案对我们开始熟悉Bernstein近似具有指导意义。

我们的目标是建立一个机会约束(4.0.1)的保守近似。为了实现这一目标,我们有以下方法。

1)我们假设 ζ =1,…, L 与分布 P 是独立的,使得

因此

2)我们已经从式(4.2.1)中推断出关系

的有效性是式(4.0.1)有效性的充分条件(2.4节中的陈述(*))

3)最后,我们从(2)中得到了充分条件,等价于关于以下不确定线性不等式

的[ z 0 ;…; z L ]的鲁棒可行性,其中使用适当选择的扰动集 Z (2.4节中的陈述(**))。

我们将要证明,概述的近似方案是一个更一般的特殊情况,即Bernstein近似。

4.2.1 Bernstein近似:基本观察

我们有以下假设。

问题1 式(4.0.1)中随机扰动 ζ =[ ζ 1 ;…; ζ L ]的分布 P

已知凸函数 Φ 在ℝ L 上处处有限且满足 Φ (0) =0。

例4.2.1 可以立即看到,在2.4节P.1~P.2的假设下(或者在上面第1项的同样假设下),关系(4.2.3)满足

给定 ∈(0,1),我们可以设置

Bernstein近似方案由以下表述给出。

命题4.2.2 在式(4.2.3)的假设下, 是以下凸不等式的解集

并且这个凸不等式是机会约束(4.0.1)的标准保守近似。

对于此命题的证明,请看附录B.1.1。

我们目前的目标是制定一个方案,在有利的情况下,允许我们有效地描述集合

4.2.2 Bernstein近似:对偶化

除了问题1,我们还有以下假设。

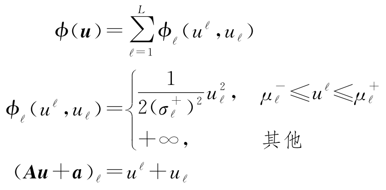
问题2 我们可以将式(4.2.3)中的凸函数 Φ 表示为以下形式:

其中,

ϕ u 是关于ℝ M 的凸的下半连续函数,其值取实数并且趋于+∞。

是从ℝ M 到ℝ L 的一个仿射函数。

●每个水平集 U c ={ u ϕ u c }, c ∈ℝ,其中 ϕ 是有界的。

注意在ℝ L 处处凸且有限的函数 Φ (·)都有一个必要的表示,例如,可以表示为

事实上,已知由后一种关系给出的函数 ϕ 是一个凸的下半连续函数,函数是关于 Φ 的勒让德变换(或Fenchel对偶,或共轭),

关于 ϕ 具有有界水平集的要求,在式(4.2.8)的情况下,这个要求很容易由 Φ 处处有限这一事实给出。以下众所周知的事实暗示了这一点。

命题4.2.3 由式(4.2.7)可知 Φ (·)和 ϕ (·)相连接, Φ 处处被定义,并且 ϕ 是下半连续的。假设 A 具有平凡核,则 ϕ 的水平集合有界。

此命题的证明见附录B.1.2。

例4.2.4 例4.2.1续 】函数(4.2.4)对式(4.2.7)有明确的表示,表示如下:

4.2.3 Bernstein近似:主要结果

概述的假设导致以下结果。

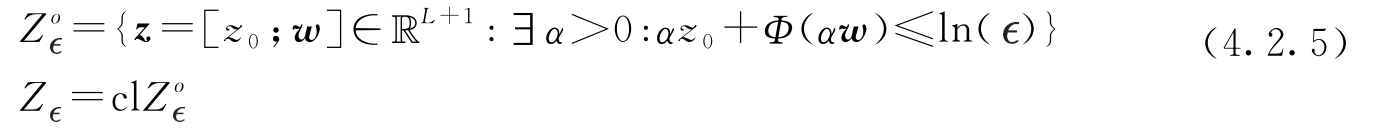
定理4.2.5 考虑机会约束不等式(4.0.1),并假设随机向量 ζ 的分布 P 满足假设问题1~2。集合

是一个非空凸紧集,并且对于式(4.2.5)给出的集合 Z ϵ

特殊地,根据命题4.2.2,

z 满足机会约束(4.0.1)的充分条件,即 z 是以下不确定线性约束的鲁棒可行解的条件。

其中 z 0 w 是变量,集合 是式(4.2.11)给出的扰动集。

该命题的证明见附录B.1.3。

在式(4.2.11)中不确定性集 在两个方面被定义:函数 Φ (·)、它的表示(4.2.7)以及表示的数据不是由 Φ 唯一定义的。然而,集合 仅仅依赖于 Φ (·)。事实上,集合 仅仅由 Φ 定义,因此凸紧集 的支持函数 可以仅基于 Φ 被表示。由式(4.2.11),

需要注意的是,闭合非空凸集的支持函数完全决定了这个集合(见文献[100],第13章)。

底线如下。

每一个凸上界 Φ w :ℝ L →ℝ, Φ (0) =0,对于随机扰动向量 ζ 的分布的对数矩生成函数

暗示了机会约束不等式的保守标准近似(4.0.1)。在问题2的假设下,这种近似形式为 ,其中 被适当地定义为非空凸紧集。这种近似是不确定不等式 z 0 + 在扰动集 作用下的RC。

后一个结果扩展了2.4节中的结果,其中我们限制 Φ 为特定形式(4.2.1)。

例4.2.6 例4.2.4续 】观察在假设P.1~P.2下,定理4.2.5恢复了定理2.4.3。

4.2.4 Bernstein近似:示例

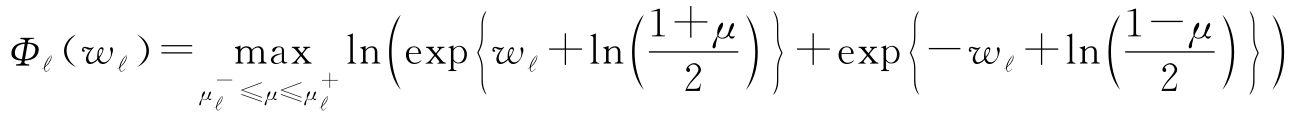
例4.2.7 高斯案例 】假设我们所知道的关于随机向量 ζ 的分量 ζ 是独立的高斯随机变量,其均值 μ 属于给定的区间 并且变量属于区间 =1,…, L 。在这种情况下,可以得到以下结论。

(i)满足问题1并且涉及与上述信息相容的 ζ 所有分布的最佳(即最小)函数 Φ w

(ii)设置

对于(i)中给出的函数 Φ ,我们保证了问题2的有效性。

(iii)与概述的数据相关联的机会约束(4.0.1)的Bernstein近似,正是定理2.4.3给出的近似,参见例2.4.5。

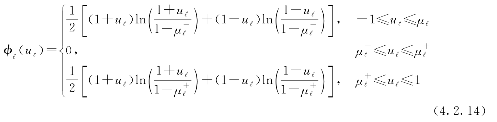
例4.2.8 假设我们所知道的随机扰动 ζ 是独立的,在区间[-1,1]上取值,它们的均值属于[-1,1]的给定子区间 (参见例2.4.9)。在例2.4.9的陈述中,满足问题1并且涉及与上述信息相容的 ζ 所有分布的最佳(即最小)函数 Φ (·)为

很容易看出

由于一个直接的等式

这种关系表明

其中

它遵循设置

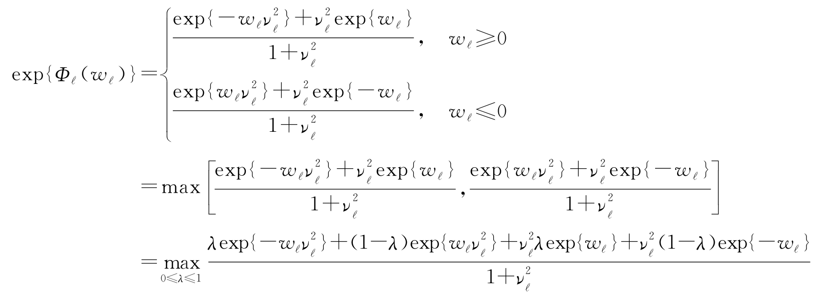
其中 ϕ (·)是由式(4.2.14)给出的,我们得到了式(4.2.12)给出的函数 Φ w 的表达式,这是问题2中所要求的。由Bernstein近似给出的扰动集 与概述的数据相联系,其中扰动集为

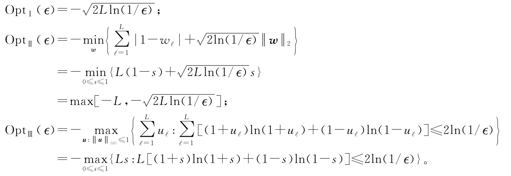
例4.2.9 考虑到例4.2.8描述的情况,假设对于所有的 ,都有 (也就是说, ζℓ 是独立随机变量,均值为0,取值范围为[-1,1])。让我们通过下面的实验来比较例2.4.9中机会约束(4.0.1)的保守近似和该约束的Bernstein近似。

(i)我们设置 z 1 =…= z L =1,假设 ζ 的“真实”分布(建立近似时未知)是单位盒顶点上的均匀分布,并考虑机会约束优化问题

(ii)将( P )中的机会约束替换为它的保守近似,我们将( P )替换为一个易于处理的近似问题,该问题具有易于计算的最优值,即Opt( )的下界。让我们绘制并互相比较( P )的真正最优值(这意味着当 z 1 =…= z L 时易于计算),并比较对于以下近似得到的下界关于 的函数Opt( )的依赖性:

●例2.4.9和定理2.4.3给出的近似(近似Ⅰ);

●由定理2.4.4而不是定理2.4.3给出的后一个近似的改进(近似Ⅱ);

●由例4.2.8所给出的Bernstein近似(近似Ⅲ)。

注意近似Ⅰ只不过是机会约束的球RC近似,而近似Ⅱ同时是它的球-盒近似和预算RC近似。如2.3节中定义的预算是

在实验中,我们使用 L =16和 L =64两种情况,并且扫描范围为

实验的结果如下。

A .下式给出了最优近似值

B .Opt (·)~Opt (·)和Opt + (·)的图如图4-1所示。可以看出,在这个例子中,近似Ⅲ是最优的。

图4-1 Opt )~Opt )和Opt + )的图。从上到下:Opt + ),Opt ),Opt ),Opt )(在 L =64时,后两种曲线是难以辨别的)

例4.2.10 考虑到我们所知道的 ζ 是独立的随机变量,其均值为零,取值在区间[-1,1], ζ 的方差不超过 ,0< ν ≤1。引用例2.4.11(其中应设 μ =0),满足问题1的最佳(最小)函数 Φ

其中

让我们证明

其中

并且

事实上,不失一般性地假设 L =1,且允许省略指标 。我们有

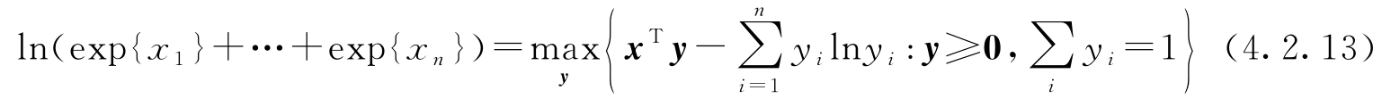
引用式(4.2.13),我们进行如下操作:

证明完毕。

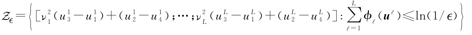
因此,在例4.2.10中与Bernstein近似相关的不确定性集 MZ+Tb/hGOX6701VPYEkkcOCIBpdswIB2dBjYtvyDozzSxSrnYSXsW5PeUiD4/2cq

点击中间区域
呼出菜单
上一章
目录
下一章
×